- •Програма курсу “теоретичні основи електротехніки” (частина і)
- •1. Електричні кола постійного струму
- •1.1. Елементарні електричні заряди й електромагнітне поле як особливий вид матерії
- •1.2. Електростатичне поле. Напруженість поля
- •1.3. Зв'язок зарядів тіл з їх електричним полем. Теорема Гаусса. Постулат Максвелла
- •Значення ε для деяких діелектриків
- •1.4. Електрична напруга. Потенціал, різниця потенціалів. Електрорушійна сила
- •1.5. Електричний струм і принцип його неперервності
- •1.6. Опір провідника. Питомий опір. Провідність. Питома провідність
- •Значення ρ, γ і α деяких провідникових матеріалів
- •1.7. Енергія та потужність в електричному колі.
- •1.8. Провідники, напівпровідники та діелектрики.
- •Електрична міцність деяких ізоляційних матеріалів
- •1.9. Елементи електричних кіл
- •1.25. Двополюсники, чотириполюсники та багатополюсники електричних кіл
- •1.10. Основні закони електричних кіл
- •1.11. Еквівалентне перетворення опорів
- •1.11.1. Послідовне сполучення резисторів
- •1.11.2. Паралельне сполучення резисторів
- •1.11.3. Змішане сполучення резисторів
- •1 .11.4. Взаємне еквівалентне перетворення резисторів, сполучених трикутником та зіркою
- •1.12. Методи розрахунку електричних кіл постійного струму
- •1.12.1. Метод перетворення
- •1.12.2. Метод рівнянь Кірхгофа
- •1.12.3. Метод контурних струмів
- •1.12.4. Метод вузлових напруг
- •1.12.4.1. Заміна декількох паралельних віток з джерелами ерс, одною еквівалентною віткою
- •1.12.5. Метод накладання
- •1.12.6. Метод еквівалентного генератора
- •1.13. Пересилання електроенергії постійного струму по двопровідній лінії
- •1.14. Нелінійні кола постійного струму
- •1.14.1. Загальні визначення. Статичний та динамічний опори нелінійних елементів
- •1.14.2. Графоаналітичний метод розрахунку нелінійних кіл
- •1.14.3. Аналітичний метод розрахунку нелінійних кіл
- •2. Електрична ємність
- •2.1. Електрична ємність тіл
- •2.2. Конденсатори. Струм конденсатора. Енергія електричного поля
- •2.3. Послідовне і паралельне з'єднання конденсаторів
- •3. Магнітні кола
- •3.1. Основні фізичні величини магнітного поля
- •3.1.2. Магнітний потік (ф)
- •3.1.3. Намагніченість речовин (j). Напруженість магнітного поля (h). Магнітна проникність (μ)
- •3.2. Закон повного струму
- •3.3. Феромагнітні матеріали
- •3.3.1. Деякі властивості феромагнітних матеріалів
- •3.3.2. Класифікація феромагнітних матеріалів.
- •3.4. Основні закони магнітних кіл. Розрахунок магнітного кола
- •3.5. Закон електромагнітної індукції. Правило Ленца
- •3.6. Котушка індуктивності. Потокозчеплення. Ерс самоіндукції. Енергія магнітного поля.
- •3.7. Індуктивно зв'язані котушки
- •4. Електричні кола змінного синусоїдного струму
- •Генерування синусоїдної ерс. Миттєві, амплітудні, діючі та середні значення ерс, напруг та струмів
- •4.2. Векторне відображення синусоїдних величин. Векторні діаграми
- •4.3. Резистивний, індуктивний та ємнісний опори в колі синусоїдного струму
- •4.4. Послідовне з'єднання резистивного, індуктивного та ємнісного опорів у колі синусоїдного струму. Закон Ома в класичній формі. Трикутник опорів. Коефіцієнт потужності cos φ
- •4.5. Потужність в колі послідовного з'єднання резистивного r і реактивного X опорів
- •4.6. Паралельне з'єднання приймачів у колі змінного струму
- •4.7. Мішане сполучення приймачів
- •4 Рис. 4.18. До визначення резонансу в електричному колі .8. Резонанс в електричних колах
- •4.8.1. Резонанс у колі з послідовним сполученням елементів r, l, с (резонанс напруг)
- •4.8.2. Резонанс у колі з паралельним сполученням елементів r, l, с (резонанс струмів)
- •4.9. Символічний метод розрахунку електричних кіл синусоїдного струму
- •Деякі положення комплексного числення
- •4) Ділення комплексних чисел
- •5) Піднесення комплексного числа до степеня
- •4.9.2. Символічне (комплексне) відображення синусоїдних величин
- •4.9.3. Закони Ома та Кірхгофа в комплексній формі. Комплексні опори та провідності
- •4.9.4. Комплексна потужність
- •4.9.5. Методи розрахунку електричних кіл змінного струму
- •4.9.6. Кола з взаємоіндуктивно зв'язаними котушками
- •Основна література:
- •Додаткова література:
- •Контрольні завдання Завдання 1. Розрахунок складного лінійного кола постійного струму
- •1.2.Зміст роботи:
- •1.4. Методичні вказівки:
- •Завдання 2. Розгалужене коло синусоїдального струму
- •2.2. Зміст роботи:
- •2.4. Приклад виконання завдання 2:
- •Питання до екзамену
2.4. Приклад виконання завдання 2:
Вихідні дані: Строчка даних N=4, схема n=10: R1 = 40 Ом; R2 = 30 Ом; R3 = 15 Ом; R4 = 20 Ом; L1 = 0,12 Гн; L2 = 0,25 Гн; L3 = 0,15 Гн; L4 = 0,10 Гн; C1 = 200 мкФ; C2 = 250 мкФ; M12 = 0,10 Гн; M13 = 0,10 Гн; M24 = 20 В; ƒ = 10 В;
Інші вихідні дані обчислюємо відповідно до наступних виразів:
1. Розрахунок розгалуженого кола при наявності взаємної індуктивності можна вести, складаючи рівняння по першому й другому законах Кірхгофа. При цьому необхідно враховувати, що струм у будь-якій гілці залежить не тільки від ЕРС джерела, яке знаходиться в ній і від потенціалів тих вузлів, до яких вона приєднана, але також і від струмів інших гілок, які наводять ЕРС взаємної індукції.
Перший закон Кірхгофа
При складанні рівнянь за
другим законом Кірхгофа ЕРС взаємної
індукції звичайно враховуються як
відповідні напруги. Знак комплексної
напруги
Отже, другий закон Кірхгофа
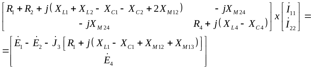
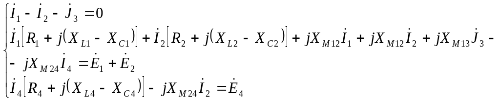
Визначаємо кількість рівнянь за законами Кірхгофа. Число гілок з невідомими струмами Г = 3, отже, число рівнянь n = Г = 3. Кількість вузлів у схемі Вз = 2. Тоді: кількість рівнянь за І законом Кірхгофа n = Вз – 1 = 2 – 1 = 1; кількість рівнянь за ІІ законом Кірхгофа nІІ = n – nІ = 3 – 1 = 2. Складемо систему рівнянь за законами Кірхгофа.
Представимо цю систему рівнянь у матричній формі:
2. Для
розрахунку режиму складного електричного
кола можна обмежитись спільним
розв’язанням лише
При цьому перший закон Кірхгофа, звичайно, завжди задовольняється. Складемо систему рівнянь за методом контурних струмів. Кількість рівнянь у системі рівняється числу незалежних контурів і дорівнює 2.
Представимо цю систему рівнянь у матричній формі:
3. Визначаємо необхідні числові значення реактивних опорів.
Підставимо вихідні дані. Отримуємо:
Підставляючи числові значення, отримуємо матрицю для розрахунку значень комплексних струмів за допомогою ПК. Виконаємо розрахунок як системи рівнянь, складеної за законами Кірхгофа, так і системи рівнянь, складеної за методом контурних струмів. Розрахунок виконаний на ПК за допомогою програми MathCAD 2001 Professional. Розрахунок системи рівнянь, складеної за законами Кірхгофа: Представимо систему рівнянь у такому вигляді:
Підставляючи числові значення, отримуємо:
Розв’язок будемо шукати у
вигляді
Розрахунок виконуємо за допомогою засобів САПР MathCAD 2001 Professional
Отримуємо значення струмів: – у комплексній формі:
– у показовій формі:
Розрахунок системи рівнянь, складеної за допомогою методу контурних струмів: Представимо систему рівнянь у такому вигляді:
Підставляючи числові значення, отримуємо:
Розв’язок
будемо шукати у вигляді
Розрахунок виконуємо за допомогою засобів САПР MathCAD 2001 Professional
Струми у гілках знаходимо через контурні струми:
4. Таким чином, ми отримали наступні значення комплексних струмів у гілках.
Запишемо миттєві значення:
5.
Приймемо
Виконуємо розрахунок за допомогою MathCAD 2001 Professional
Перевіримо правильність розрахунку:
За результатами розрахунку в масштабі побудуємо векторну діаграму (наведено в кінці)
6. Запишемо миттєві значення ЕРС е2 і струму і2:
Графіки e2(t) і і2(t) наведені нижче. t:=0,0.0001…0.030
7. Знаходимо показання ватметру
8. Складемо баланс потужностей Знаходимо напругу на джерелі струму:
Тепер знаходимо потужність джерела і споживача енергії: Потужність джерела:
Потужність споживача:
Як
бачимо,
9. Напруга між верхнім та нижнім вузлами схеми дорівнює:
Виконуємо розрахунок за допомогою MathCAD 2001 Professional
Токи в гілках визначимо згідно закону Ома:
Отримуємо значення струмів: – у комплексній формі:
– у показовій формі:
10. Вважаючи,
що індуктивний зв’язок між котушками
відсутній, знаходимо струм
Представимо частину схеми, зовнішню стосовно навантаження у вигляді двополюсника. Струм
знаходимо відповідно закону Ома:
Знаходимо напругу холостого ходу:
Тоді знаходимо струм :
= – 0,118 – j0,306 A
11. Замінимо послідовну сполуку елементів навантаження на паралельну.
Щоб
Визначимо
Тоді визначаємо:
|

– матриця невідомих контурних
струмів