- •Введение
- •1. Математический аппарат гидродинамики. Краткие сведения из тензорного исчисления
- •1.2. Векторы и тензоры. Базисные элементы декартовой прямоугольной системы координат
- •1.3. Примеры тензоров второго ранга. Тензор напряжений
- •1.4. Элементы тензорной алгебры. Простейшие операции над тензорами.
- •1.5 Инварианты тензоров и тензорные поверхности.
- •1.6 Поля физических величин. Элементы тензорного анализа.
- •2. Уравнения неразрывности, движения, энергии
- •2.1. Градиент скорости и связанные с ним кинематические тензоры
- •2.2. Операции с тензорами градиента скорости, скоростей деформации и тензора вращения, и их инварианты
- •2.2 Дифференциальные операторы для поля скоростей
- •2.3. Уравнение неразрывности
- •2.4 Уравнения движения жидкости с постоянными и переменными физическими свойствами.
- •2.5. Уравнение баланса механической энергии потока.
- •2.6. Уравнение энергии движущейся жидкости и его различные формы записи.
- •2.7. Запись уравнения энергии как скалярной величины теплоты (возможная альтернатива закону Фурье).
- •2.8. Материальные производные в уравнениях переноса и их дивергентный вид.
- •2.9. Формула и.С. Громеки и другие связанные с ней соотношения.
- •2.10. Вихрь скорости и его ассоциированный тензор
- •2.11. О вязкостях и
1.6 Поля физических величин. Элементы тензорного анализа.
В гидродинамике в основном используется Эйлерова система отсчета, в ней оперируют не с постоянными векторами и тензорами, а с полями скалярных, векторных и тензорных величин. Компоненты векторов и тензоров являются функциями координат и времени. При описании движения жидкости возникает необходимость дифференцирования скалярных векторных и тензорных полей – полей плотности, давления, скоростей, напряжений и других физических величин.
– полей плотности, давления, скоростей, напряжений и других физических величин.
Полем физической
величины
(она может быть скалярной
,
векторной
,
тензорной
)
называется совокупность значений этой
величины для любой точки пространства
и для любого момента времени. На рисунке
1.12 показано положение точки, определяемое
радиус-вектором
для произвольного момента времени
.
Рисунок 1.12 – Радиус–вектор точки в декартовой прямоугольной системе координат.
Положение точки
в пространстве определяется радиус-вектором
,
который можно записать в следующем
виде, используя индексную форму записи:
или просто:
если учитывать соглашение осуммировании по повторяющемуся индексу.
Задать поле физической величины – это значит задать зависимость
(1.6.1)
Если зависимости от времени нет, то поле называется стационарным, если уже нет зависимости от координат, то поле называется однородным. Для стационарного поля:
(1.6.2)
для однородного нестационарного поля:
(1.6.3)
для однородного стационарного:
(1.6.4)
В качестве примеров физических полей приведем следующие, заданные для простоты, в виде некоторых степенных функций координат и времени:
– поле давлений, заданное скалярной функцией:
(1.6.5)
– поле скоростей, заданное вектор-функцией:
(1.6.6)
– поле напряжений , заданное тензорной функцией с компонентами:
(1.6.7)
Для каждой точки
пространства и для любого момента
времени этим полям соответствуют свои
числовые значения. Так, для точки
при
имеем:
Неоднородность
полей характеризуется линейными
дифференциальными операторами-градиентом
,
дивергенцией
,
ротором
,
которые являются операторами первого
порядка (содержат частные производные
первого порядка), а также дифференциальным
скалярным оператором второго порядка
– лапласианом
.
Эти операторы
можно определить через векторный
дифференциальный оператор – оператор
Гамильтона (набла)
.
В декартовой прямоугольной системе
координат он имеет вид:
(1.6.8)
или, используя индексную форму записи:
(1.6.9)
Все дифференциальные
операции над скалярными, векторными и
тензорными величинами, выражаются
инвариантным образом через оператор
.
Запишем эти операции
и
подробно выразив их через
и применим в дальнейшем в качестве
упражнения, к полям, заданным выражениями
(1.6.5), (1.6.6) и (1.6.7).
Градиент скалярной
функции
является вектором, он характеризует
направление наибольшего возрастания
функции и быстроту этого возрастания.
Через оператор Гамильтона (набла) он
записывается так:
(1.6.10)
В компонентном виде:
(1.6.11)
или, в развернутом виде, переходя к обычным обозначениям для декартовой прямоугольной системы координат:
Таким образом,
градиент скалярной функции есть вектор
с компонентами
,
т.е.:
Упражнение 1.
Вычислим
для поля давлений, заданного выражением
(1.6.5):
В точке при это вектор
Градиент
вектор-функции является тензором второго
ранга. Так, для вектора
:
(1.6.12)
Если
– вектор скорости, то этот тензор
градиентов скоростей в гидродинамике
разбивают на симметричную
и антисимметричную части:
(1.6.13)
где симметричная часть
(1.6.14)
называется тензором скоростей деформаций, а антисимметричная
(1.6.15)
– тензором вращения (спином).
В компонентном виде:
(1.6.16)
(1.6.17)
Матрицы их компонент:
Упражнение 2. Для
поля скоростей, заданного выражением
(1.6.6) вычислим тензоры
и
:
В точке в момент этот тензор второго ранга и его транспонированный имеют компоненты:
Следовательно компонентами тензоров скоростей деформаций и тензора вращения будут:
Видно что матрица компонент тензора симметрична относительно главной диагонали, матрица компонент – антисимметрична, на ее диагонали всегда находятся нули.
Дивергенция вектор-функции характеризует разность потоков вектора, входящего и выходящего в рассматриваемый объем пространства. Через оператор она записывается как результат скалярного произведения вектора и соответствующего вектора, например :
(1.6.18)
В терминах компонент эта скалярная величина записывается в виде:
(1.6.19)
Здесь учтено, что
производные базисных векторов по
координатам равны нулю
,
поскольку базисные векторы декартовой
прямоугольной системы координат не
меняются от точки к точке ни по величине,
ни по направлению. В развернутом виде
для декартовой прямоугольной системы
координат имеем:
(1.6.20)
Упражнение 3. Вычислим дивергенцию поля скоростей, заданного выражением (1.6.6):
В точке
при
эта скалярная величина есть число
.
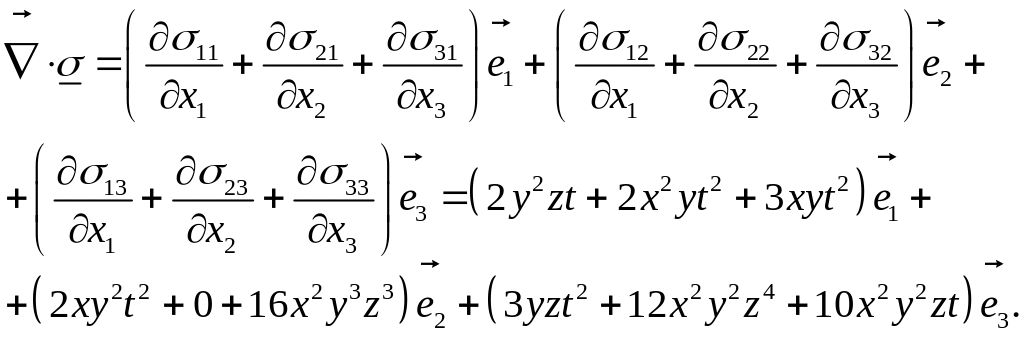
Дивергенция тензора второго ранга дает векторную величину:
(1.6.21)
или в развернутом виде:
(1.6.22)
Упражнение. Для тензора , заданного согласно выражения (1.6.7), найдем его дивергенцию:
В точке при это будет вектор
Ротор вектор-функции есть вихрь, через оператор ротор вектора скорости записывается как результат векторного произведения:
(1.6.23)
Используя альтернируюий тензор Леви-Чивита эту величину можно записать в компонентном виде следующим образом:
(1.6.24)
Распишем компоненты этого вектора по осям декартовой прямоугольной системы координат:
Для первого
слагаемого – компоненты ротора
относительно оси
компонента
тензора Леви-Чивита принимает значение,
равное 1 при
и значение -1 при
,
т.е.
.
Тем самым
Для второго
слагаемого
имеет ненулевые значенияли
,
и если
– в первом случае
,
во втором
.
Тогда компонента при базисном векторе
имеет значения
И, наконец, для
третьего слагаемого имеем
,
когда
и
,
если
.
В результате это слагаемое принимает
вид:
В итоге имеем выражение для ротора вектора в компонентном виде, в обычной форме записи для декартовой прямоугольной системы координат:
(1.6.25)
Замечание. Менее громоздкие выкладки получаются, если этот вектор вычислять через определитель:
Упражнение 4. Вычислим вихрь скорости для , заданного выражением (1.6.6):
В точке
при
это вектор
.
Ротор тензорной функции второго ранга будет тензорной величиной также второго ранга:
(1.6.26)
Упражнение 5.
Вычислим компоненту при базисной диаде
ротора тензора напряжений
,
заданного выражением (1.6.7):
При базисной диаде
,
когда
,
находится компонента
Если взять базисную
диаду
(здесь индексы
)
то ее компонента:
В точке при рассмотренные компоненты равны, соответственно 12 и -6.
Лапласиан есть скалярный дифференциальный оператор второго порядка, это результат скалярного произведения вектора Гамильтона (набла) самого на себя:
(1.6.27)
или, в компонентном виде:
(1.6.28)
Примечание.
Записывать этот оператор в виде
недопустимо, т.к. в этом случае пропадает
правило суммирования по повторяющемуся
индексу.
Более подробно, для декартовой прямоугольной системы координат оператор Лапласа записывается в виде:
(1.6.29)
Этот скалярный оператор второго порядка можно применять к любым тензорным величинам – он не изменяет ранг тензора.
Для скалярной
функции
ее лапласиан записывается следующим
образом:
(1.6.30)
или, более подробно:
(1.6.31)
Упражнение 6. Вычислим лапласиан поля давлений, данного выражением (1.6.5)
В точке
при
это число
.
Лапласиан вектора является векторной величиной:
(1.6.32)
здесь к каждой компоненте вектор–функции применяется оператор Лапласа.
