- •Міністерство освіти і науки україни донецький національний технічний університет
- •Integral calculus (інтеґральне числення)
- •Донецьк 2005
- •Integral calculus lecture no. 19. Primitive and indefinite integral
- •Point 1. Primitive
- •Properties of primitives
- •Point 2. Indefinite integral and its properties
- •Point 3. Integration by substitution (change of variable)
- •Point 4. Integration by parts
- •Lecture no.20. Classes of integrable functions
- •Point 1. Rational functions (rational fractions)
- •Point 2. Trigonometric functions
- •Universal trigonometrical substitution
- •Other substitutions
- •Point 3. Irrational functions
- •Quadratic irrationalities. Trigonometric substitutions
- •Quadratic irrationalities (general case)
- •Indefinite integral: Basic Terminology
- •Lecture no. 21. Definite integral
- •Point 1. Problems leading to the concept ofa definite integral
- •Point 2. Definite integral
- •Point 3. Properties of a definite integral
- •I ntegration of inequalities
- •Point 4. Definite integral as a function of its upper variable limit
- •Point 5. Newton-leibniz formula
- •Point 6. Main methods of evaluation a definite integral Change of a variable (substitution method)
- •Integration by parts
- •Lecture no.22. Applications of definite integral
- •Point 1. Problem – solving schemes. Areas
- •Additional remarks about the areas of plane figures
- •Point 3. Volumes
- •Volume of a body with known areas of its parallel cross-sections
- •Volume of a body of rotation
- •Point 4. Economic applications
- •Lecture no. 23. Definite integral: additional questions
- •Point 1. Approximate integration
- •Rectangular Formulas
- •Trapezium Formula
- •Simpson’s formula (parabolic formula)
- •Point 2. Improper integrals
- •Improper integrals of the first kind
- •Improper integrals of the second kind
- •Convergence tests
- •Point 3. Euler г- function
- •Definite integral: Basic Terminology
- •Lecture no. 24. Double integral
- •Point 1. Double integral
- •Point 2. Evaluation of a double integral in cartesian coordinates
- •Point 3. Improper double integrals. Poisson formula
- •Point 4. Double integral in polar coordinates
- •Double integral: Basic Terminology
- •Contents
- •Integral calculus 3
- •Integral calculus (Інтеґральне числення): Методичний посібник по вивченню розділу курсу ”Математичний аналіз” для студентів ДонНту (англійською мовою)
Point 2. Improper integrals
Improper integrals of the first kind
Def. 1. Let a
function
is continuous on an interval
.
If there exists a finite limit
( 6 )
then we say that the next integral (an improper integral of the first kind, an integral with infinite upper limit)
(
7 )
converges (exists, is convergent).
Thus by the definition 1
.
( 8 )
Def. 2. If the limit (6) is infinite one or doesn’t exist we say that the improper integral (7) diverges (doesn’t exist, is divergent).
By the same way we can define the next two improper integrals of the first kind
Def. 3.
(
9 )
if
a function
is
continuous on an interval
.
Def. 4.
.
( 10 ) if a function
is
continuous on the set of all reals.
Integral (9) is called convergent if the limit in (9) exists and divergent otherwise. The same is concerned to the integral (10).
Def. 5. Principle value of the improper integral (10) is called the next limit
.
( 11 )
If an integral (10) converges then its principal value also converges. But there are cases when the integral (10) diverges but its principal value converges.
Ex. 2. Improper integrals
( 12 )
are
convergent for
and divergent for
.
■Let’s consider the first integral.
a) If
we can suppose
where
,
and so
,
that is the integral converges for .
b) Let
In this case
.
The integral diverges.
c) If
we put
where
,
and
.
The integral diverges.■
Ex. 3. Prove that the integral
diverges but its principal value converges.
■On the base of the formula (10)
Both limits doesn’t exist and therefore the integral diverges. On the other hand the principal value of the integral converges to zero (or equals zero), because of by the formula (11)
.■
Ex.
4. Find the area of an infinite figure bounded by Agnesi witch
and its asymptote (fig. 6).
The straight line
(the Ox-axis)
is a horizontal
Fig. 6 asymptote
of Agnesi witch because of
.
The figure is symmetric with respect to the -axis, and therefore its area equals
.
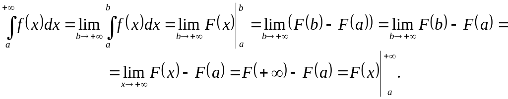
Note 1 (Newton-Leibniz formula for improper integrals).
Let a function be a primitive of a function . Denoting
we can represent evaluation of the improper integral (8) in the form of Newton-Leibniz formula, namely
(
13 )
The same Newton-Leibniz formula can be written for the other improper integrals of the first kind.
Ex. 5.
.
Ex. 6. Calculate the next improper integral
.
.
