- •Курсовой проект по дисциплине «Автомобильные двигатели» Расчет автомобильного газового двигателя
- •1 Задание на курсовое проектирование
- •Содержание
- •1 Задание на курсовое проектирование 2
- •Введение
- •2 Тепловой расчет рабочего цикла
- •2.1 Рабочее тело и его свойства
- •2.1.1 Топливо
- •2.1.2 Горючая смесь
- •2.1.3 Продукты сгорания
- •2.2 Процесс впуска
- •2.2.1 Давление и температура окружающей среды
- •2.2.2 Давление и температура остаточных газов
- •2.2.3 Степень подогрева заряда
- •2.2.4 Давление в конце впуска
- •2.2.5 Коэффициент и количество остаточных газов
- •2.2.6 Температура в конце впуска
- •2.2.7 Коэффициент наполнения
- •2.3 Процесс сжатия
- •2.3.1 Показатель политропы сжатия
- •2.3.2 Давление и температура конца процесса сжатия
- •2.3.3 Средняя мольная теплоемкость рабочей смеси в конце сжатия
- •2.4 Процесс сгорания
- •2.4.1 Коэффициент молекулярного изменения рабочей смеси
- •2.4.2 Температура конца видимого сгорания
- •2.4.3 Степень повышения давления цикла
- •2.4.4 Степень предварительного расширения
- •2.4.5 Максимальное давление сгорания
- •2.5 Процесс расширения
- •2.5.1 Показатель политропы расширения
- •2.5.2 Давление и температура конца процесса расширения
- •2.6 Проверка точности выбора температуры остаточных газов
- •2.7 Индикаторные показатели рабочего цикла
- •2.7.1 Среднее индикаторное давление
- •2.7.2 Индикаторный кпд
- •2.7.3 Индикаторный удельный расход топлива
- •2.8 Эффективные показатели двигателя
- •2.8.1 Давление механических потерь
- •2.9 Основные параметры и показатели двигателя
- •2.10 Тепловой баланс
- •2.10.1 Уравнение теплового баланса
- •2.11 Построение индикаторной диаграммы
- •3 Расчет внешней скоростной характеристики двигателя
- •4 Динамический расчет кривошипно-шатунного механизма двигателя
- •4.1 Расчет силовых факторов, действующих в кривошипно-шатунном механизме
- •4.2 Построение графиков сил и моментов
- •5 Расчет деталей на прочность
- •5.1 Поршень
- •5.1.1 Днище поршня
- •5.1.2 Головка поршня
- •5.1.3 Юбка поршня
- •5.2 Поршневой палец
- •5.2 Шатун
- •5.3.1 Поршневая головка
- •5.3.2 Кривошипная головка
- •5.3.3 Стержень шатуна
- •6 Расчет смазочной системы
- •6.1 Емкость смазочной системы
- •6.2 Масляный насос
- •6.3 Центрифуга
- •6.4 Масляный радиатор
- •6.5 Шатунный подшипник
- •Заключение
- •Список использованных источников
6 Расчет смазочной системы
6.1 Емкость смазочной системы
Емкость смазочной системы VМ в дм3:
6.2 Масляный насос
Общее количество теплоты, введённой в двигатель с топливом Q0 н кДж/с принимаем из теплового расчета (из примера теплового и динамическом расчетов автомобильного дизельного двигателя с наддувом): Qо = 191,44 кДж/с
Количество отводимого маслом от двигателя теплоты Qм кДж/с:
Принимаем:
средняя теплоёмкость масла см в кДж/(кг ∙К) - см = 2,094;
плотность масла рм в кг/м3 - рм = 900;
температура нагрева масла в двигателе ΔТ мв К - ΔТМ = 10.
Циркуляционный расход масла Vц в м3/с:
Циркуляционный расход масла с учетом стабилизации давления масла и системе двигателя V’ в м3/с:
Объемный коэффициент подачи ηн = 0,7
В
связи с утечками масла через торцовые
и радиальные зазоры насоса
расчётную
производительность его Vр
в
м3/с
определяем с учётом ηн:
Принимаем:
модуль зацепления зуба m
=
0,004 м; число зубьев шестерни z
= 9 Высота зуба h
в
м:
Диаметр начальной окружности шестерни D0 в м:
Диаметр внешней окружности шестерни D в м:
Окружная скорость вращения шестерни на внешнем диаметре uН= 6,28 м/с.
Частота вращения шестерни пн в мин-1:
Длина зуба b в м:
Задаем рабочее давление масла в системе: р = 0,4 МПа.
Принимаем механический к.п.д. масляного насоса: ηм.н = 0,90.
Мощность NH в кВт, затрачиваемая на привод масляного насоса:
6.3 Центрифуга
Циркуляционный расход масла принимаем из расчета масляного насоса: Vц = 1,624∙10-4 м3/с
Задаем коэффициент неполнопоточности центрифуги: кнп = 1.
Производительность центрифуги или количество масла, проходящего через сопла центрифуги в м3/с:
Задаем:
Плотность масла ρм в кг/м3 : ρм =900;
Коэффициент сжатия струи масла, вытекающего из сопла ε = 0,9;
Диаметр сопла центрифуги dc в м: dc = 0,002 м.
Площадь отверстия сопла Fc в м2:
Принимаем:
Расстояние от оси сопла до оси вращения ротора R = 0,03 м;
Момент сопротивления в начале вращения ротора а = 10∙10-4 Н∙м;
Скорость нарастания момента сопротивления b = 0,05∙10-4 (Н ∙м)/мин-1.
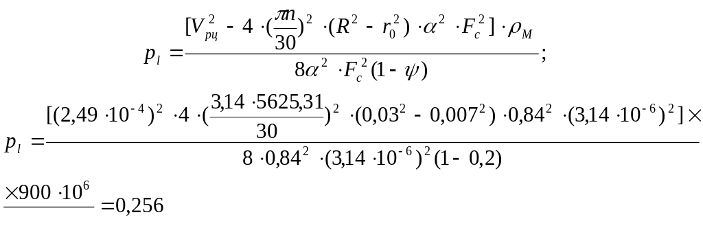
Частота вращения ротора nр в мин-1 :
Поскольку качественная очистка масла обеспечивается вращением ротоpa с частотой 5000...8000 мин-1, то полученное значение 5625,31 мин-1 приемлемо.
Принимаются:
Радиус оси ротора r0 в м; r0 = 0,007;
Коэффициент расхода масла через сопло α = 0,84;
Коэффициент гидравлических потерь ψ = 0,2;
Давление масла на входе в центрифугу рl , МПа:
Мощность Nц в кВт, затрачиваемая на привод центрифуги:
6.4 Масляный радиатор
Количество теплоты, отводимого водой от радиатора, равно количеству теплоты, отводимой маслом от двигателя, и принимается по данным расчета масляного насоса: QM =4700 Дж/с,
Принимаем:
Толщина стенки радиатора: δ = 0,0003 м;
Коэффициент теплоотдачи от масла к стенкам радиатора для прямых гладких трубок: α1 = 300 Вт/(м2 ∙ К);
Коэффициент теплопроводности стенки радиатора для латуни: λтеп =120Вт/(м2∙К);
Коэффициент теплоотдачи от стенок радиатора к воде: α2 = 3800Вт/(м2∙К).
Коэффициент теплопередачи от масла к воде Км в Вт/(м2 ∙ К):
Средняя температура масла в радиаторе Т м.ср. = 355 К.
Средняя температура воды в радиаторе принимается Tвод.ср. = 345 К.
Поверхность охлаждения масляного радиатора, омываемая водой, Fм в
м2:
