Глава №10. Кривые дохода, дисконтированные средние сроки, matching и иммунизация.
Обсуждаются темы, связанные с бумагами с фиксированной процентом и оцениванием активов и пассивов.
§ 1. Кривые дохода.
Если δ(t)
известна, то υ(t)
известна тоже. Предположим сначала, что
рынок оперирует на постоянной базе (i)
и что существует бесконечное множество
акций с фиксированным процентом, со
всеми возможными сроками погашения и
с процентом, выплачиваемым непрерывно.
Также, пусть отсутствуют налоги. Обозначим
через
текущую стоимость (т.е. цену в момент 0)
акции, которая выкупается за 1 в момент
t и приносит процент,
выплачиваемый непрерывно по ставке g
за единицу времени до выкупа. Будем
называть её “акция (g , t)
”. Ясно, что:
(1)
Мы можем также определить
доход, полученный инвестором, который
купил акцию (g , t)
в момент 0 по цене
и держит акцию до погашения. Таким
образом,
определяется следующим уравнением:
по
ставке
(2)
Окончательно, определим g(t) – купонная ставка за единицу времени акции со сроком t, которая имеет цену 1. Таким образом g(t) определяется уравнением:
(3)
На практике, однако, не существует акции
с непрерывно выплачиваемым процентом.
В реальности, мы можем знать величины
и
для конечного множества акций
.
Рассматривая только приемлемое
подмножество доступных акций, мы можем
предположить, что купонные ставки
все равны или имеют подобные величины.
Для данной купонной ставки (или множества купонных ставок) мы можем подобрать приемлемую кривую для множества наблюдаемых доходов погашения, рассматривая срок погашения как функцию от t.
Результирующая кривая известна как кривая дохода погашения. На практике может быть использован любой метод подбора кривой. Для Financial Times (FT) Yield Indices, введённых в 1977г., подобранная кривая даётся математической формулой. Коэффициенты в этой формуле вычисляются ежедневно минимум взвешенной суммы квадратов разности между величиной дохода по модели и наблюдаемым доходом.
FT кривые дохода находятся обычно для низко, средне и высоко купонных акций.
§ 2. Дисконтированный средний срок проекта.
Рассмотрим инвестиционный или базисный проект, который будет давать ряд потоков наличности. Чистая текущая стоимость проекта по интенсивности δ за год:
(1)
Если NVP(δ)
0,
то дисконтный средний срок проекта ,
T(δ),
определяется:
(2)
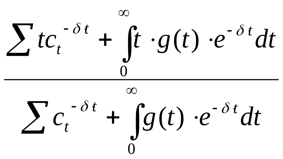
Это взвешенное среднее. В более общей ситуации с непрерывными потоками наличности:
(3)
и дисконтированный средний срок:
(4)
при условии, что NVP(δ) 0.
Пример10.2.1
Собственник угля оценивает потоки наличности, связанные с операциями с углём следующим образом:
Время (в годах) |
Чистый поток (в $) |
1 2 3 4 5 |
500.000 400.000 300.000 200.000 100.000 |
Вычислить дисконтированный средний срок проекта по ставке 6% .
Решение.
По (2):
§ 3. Volatility.
Пусть интенсивность
,
но может изменяться на небольшую величину
и станет
.
Если это случиться, пропорциональное
изменение в NVP будет:
(1)
Определим volatility проекта от интенсивности :
(2)
(3)
Комбинируя с уравнением (2.3) получим, что volatility:
(4)
т.е. дисконтированный средний срок = volatility (5)
Т.о. пропорциональная выгода или убыток от малых изменений в процентных ставках зависит от:
a) размера изменения δ
b) volatility инвестиций.
Т.о. если процентная ставка растёт, то будет убыток и наоборот для инвестора.
