Лазер – устройство, генерирующее когерентные электромагнитные волны за счет вынужденного испускания или вынужденного рассеяния света активной средой, находящейся в резонаторе.
До создания лазеров когерентные электромагнитные волны существовали практически лишь в радиодиапазоне, где они возбуждались генераторами радиоволн. В оптическом диапазоне имелись лишь некогерентные источники, излучение которых представляет суперпозицию волн, испускаемых множеством независимых микроскопических излучателей. В этом случае фаза результирующей волны изменяется хаотически, излучение характеризуется значительным диапазоном длин волн и обычно не имеет определенного направления в пространстве.
Замечательной особенностью лазеров, тесно связанной с когерентностью их излучения, является исключительная способность к концентрации световой энергии:
1) в спектре – очень узкая спектральная линия излучения; 2) во времени – возможность получения сверхкоротких импульсов света; 3) в пространстве и по направлению распространения – возможность получения направленного пучка с предельно малой (дифракционной) расходимостью и фокусирования всего излучения в малой области с размерами порядка длины волны.
Исключительные свойства лазерного излучения открывают широкие перспективы для использования лазеров в различных областях науки и техники: монохроматичность и когерентность – в голографии, при обработке информации, в измерительной технике; высокая мощность – в лазерной технологии и энергетике, в нелинейной оптике; малая расходимость излучения – в лазерной связи, локации, геодезии, строительстве и т.д.
Принцип работы оптического квантового генератора (ОКГ), или лазера (Light Amplification by Stimulated Emission of Radiation – усиление света индуцированным испусканием излучения) основан на трех фундаментальных идеях, родившихся в разное время в различных областях физики.
Первая идея связана с использованием открытого А. Эйнштейном в 1916 г. при теоретическом изучении теплового излучения вынужденного испускание света атомными системами (подробно в гл. Тепловое излучение). П. Дирак показал, что испускаемые при этом фотоны неотличимы от тех, которые вызвали испускание.
Вторая идея, высказанная В.А. Фабрикантом в 1940 г., заключается в применении термодинамически неравновесных систем, в которых возможно усиление, а не поглощение света.
Третья идея, заимствованная из радиофизики, состоит в использовании положительной обратной связи, для превращения усиливающей системы в генератор когерентного излучения.
В 1954 г. были созданы первые квантовые генераторы – мазеры, работающие в микроволновом диапазоне (“м” – microwave) в СССР (Н.Г. Басов и А.М. Прохоров) и США (Гордон, Цайгер и Ч.Таунс).
В мазерах активной средой служил пучок молекул аммиака. Инверсия населенностей на рабочем переходе достигалась пространственным разделением молекул в различных квантовых состояниях при прохождении пучка через неоднородное электрическое поле.
В 1964 г. за разработку нового принципа усиления и генерации электромагнитных волн и создание первых молекулярных генераторов когерентного микроволнового излучения Н.Г. Басову, А.М. Прохорову и Ч. Таунсу была присуждена Нобелевская премия по физике.
Первый оптический квантовый генератор, созданный в 1960 г. Мейманом, работал в импульсном режиме. Активной средой в нем служил стержень из кристалла рубина.
Годом позже Джаван, Беннет и Эрриот построили первый лазер непрерывного действия, используя газообразную активную среду (смесь неона и гелия).
Существуют разные способы получения необходимой для работы лазера усиливающей излучение активной среды.
Преобладание
процессов вынужденного излучения над
поглощением осуществляется при инверсии
населенностей (
рабочих уровней энергии
и
.
В твердотельных импульсных лазерах используется оптическая накачка светом мощной газоразрядной лампы-вспышки.
В
полупроводниковых лазерах непрерывного
действия неравновесное состояние среды
достигается при пропускании электрического
тока через
-
переход.
В газовых лазерах атомы или ионы рабочего вещества возбуждаются посредством электрического разряда.
Во всех случаях затраченная на это энергия внешнего источника в результате частично преобразуется в энергию когерентного излучения.
Для осуществления положительной обратной связи часть генерируемого излучения должна оставаться в рабочем веществе и вызывать вынужденное испускание находящихся в возбужденном состоянии атомов.
С этой целью активную среду помещают в оптический резонатор, образованный двумя параллельными плоскими или сферическими зеркалами, одно из которых полупрозрачно.
Отметим, что в системах с инверсной населенностью уровней реализуются два вида излучения – спонтанное (самопроизвольное) и индуцированное (вынужденное).
В активной среде лазера возникшая в результате спонтанного излучения атома световая волна может усиливаться за счет вынужденного излучения при прохождении света через активную среду. Эффективно усиливаются только те волны, направление распространения которых совпадает с осью резонатора, так как распространяющиеся в других направлениях волны быстро покидают активную среду.
Попадая
на полупрозрачное зеркало, волна частично
выходит наружу и частично отражается
назад. Проходя расстояние
между зеркалами резонатора, волна
усиливается так, что плотность переносимого
ею потока энергии увеличивается в
раз, где
- коэффициент усиления.
Пусть
на двойной длине резонатора (от
полупрозрачного до полупрозрачного
зеркала) укладывается целое число длин
волн:
.
Выполнение этого условия обеспечивает
положительную обратную связь: при
последующих прохождениях через резонатор
волна согласована по фазе с исходной
(неотличима от нее). Все волны, возникающие
в различные моменты времени в результате
индуцированных излучательных переходов
когерентны.
Т.о., оптический резонатор эффективно увеличивает расстояние, которое распространяющаяся вдоль его оси волна проходит в активной среде, и позволяет сформировать когерентное монохроматическое излучение, выходящее через полупрозрачное зеркало.
С
волновой точки зрения на свет оптический
резонатор можно рассматривать как
колебательную систему, в которой
собственные нормальные колебания (моды)
имеют вид стоячих электромагнитных
волн с узлами на зеркалах. Частоты
таких мод определяются условием
,
где
целое
число, т.е. они образуют эквидистантный
спектр:
,
где
показатель
преломления активной среды.
Т.о., лазер представляет собой автоколебательную систему, в которой возможны незатухающие колебания на одной из собственных частот резонатора.
С корпускулярных позиций картина возникновения когерентного излучения лазера интерпретируется следующим образом.
Одна из мод резонатора может возбудиться в результате спонтанного испускания фотона каким-либо возбужденным атомом. В дальнейшем каждый акт вынужденного излучения, стимулированного испущенным фотоном, приводит к увеличению на единицу числа фотонов в этой моде. Фотоны одной моды тождественны, несмотря на то, что они были испущены находившимися в разных местах атомами активной среды в разные моменты времени. Этим обусловлена когерентность лазерного излучения.
Падающая на полупрозрачное зеркало волна частично выходит из резонатора – это и есть генерируемый лазером пучок.
Кроме того, существуют потери энергии излучения, обусловленные рассеянием света на неоднородностях заполняющей резонатор среды, дифракцией на краях зеркал и т.п.
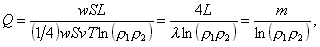
Очевидно, что генерация возможна, когда усиление света в активной среде превышает некоторое значение, называемое пороговым. Если усиление волны в резонаторе за время между двумя последовательными попаданиями на полупрозрачное зеркало превышает суммарные потери (на излучение и, собственно, потери), то её интенсивность растет. Однако это возрастание не может быть беспредельным. При фиксированной мощности источника накачки инверсия населенностей рабочих уровней будет убывать с увеличением плотности энергии излучения в резонаторе (стр.443), что приведет к уменьшению коэффициента усиления. В результате нелинейного эффекта насыщения в лазерах непрерывного действия устанавливается стационарный режим генерации, когда суммарные потери энергии в точности компенсируются усилением в активной среде.
Лазеры
Принципиальная
схема лазера включает в себя активную
среду
(1), усиливающую (генерирующую) излучение,
резонатор
(2,2'), состоящий из двух зеркал, одно из
которых полупрозрачное (2') и устройство
накачки
(3) энергии в активную среду.
Активная среда может быть газообразной, жидкой, твердотельной либо представлять собой плазму, релятивистский электронный поток. Главное, чтобы активная среда обладала инверсной населенностью излучателей, т.е. большинство излучателей должно находиться в возбужденном состоянии. Согласно распределению Больцмана число излучателей, находящихся в возбужденном состоянии N2 в инвертированной среде, равно:
а в основном (невозбужденном) состоянии
где N=N1+N2 - общее число излучателей, E1 < E2 - энергия излучателей. При N2 > N1
если эффективная температура среды T* < 0. Инверсная населенность активной среды (т.е. ее отрицательная эффективная температура) создается в результате накачки энергии в среду от внешнего источника. Например, накачку осуществляют при пропускании электрического тока через активную среду, с помощью вспышки мощной лампы, в результате химических реакций, с помощью ускорения электронного потока и т.п.
Первичный
световой (или микроволновой, рентгеновский)
поток генерируется излучателями в
активной среде в результате спонтанного
излучения. Фотоны, распространяющиеся
вдоль оси резонатора, отражаются от
зеркал многократно проходят через
активную среду. При этом они стимулируют
излучение возбужденных излучателей.
Излученные в результате индуцированных
процессов фотоны имеют точно такую же
частоту (энергию), а волновой вектор
(импульс) и поляризацию, как и первичные
фотоны. Световой поток частично выводится
через полупрозрачное зеркало. Лазерное
излучение обладает высокой степенью
когерентности, т.к. частота излучателей
одинакова, а разность фаз остается
постоянной во времени. Последнее
объясняется тем, что в резонаторе
формируется стоячая волна, возникающая
при интерференции прямой и обратной
волн. Таким образом, резонатор осуществляет
обратную связь излучателей. Фотоны,
излучаемые под большими углами к оси
резонатора, покидают активную среду.
Эта часть излучения активной среды
некогерентна. При отражении от зеркал
излучение частично ослабляется, кроме
этого имеются потери в результате
рассеяния в среде и дифракции. Для работы
лазера в режиме когерентной генерации
необходимо, чтобы усиление излучения
за один проход превосходило потери,
включая лазерное излучение. Цикл работы
лазера включает два последовательных
отражения от зеркал с эффективными
коэффициентами отражения
,
учитывающими все потери. Ослабление
потока пропорционально
на
пути 2L
за один цикл. Согласно закону Бугера-Ламберта
интенсивность светового потока,
прошедшего слой L
в среде, равна:
Для
среды, находящейся в термодинамическом
равновесии, коэффициент
,
а для неравновесной активной среды
.
Усиление светового потока за один цикл
равно
Генерация
лазерного излучения возникает при
,
т.е. порог генерации
Найдем добротность лазера
где
-
запасенная в резонаторе энергия,
-
потери энергии за одно колебание. Учтем,
что
-
потери энергии за цикл, где w
- плотность энергии прямого и обратного
потоков. Время цикла равно
,
период лазерного излучения
,
тогда за одно колебание потери энергии
составляют:
т.к.
.
Отсюда находим добротность:
где
-
число полуволн (стоячей волны) в
резонаторе,
Выразим порог генерации через добротность лазера:
или
т.е.
для генерации лазера необходимо, чтобы
усиление на пути, равном
,
было больше величины обратной добротности.
Добротность лазера тем выше, чем меньше
потери. Порог генерации обратно
пропорционален добротности. Поэтому
для параксиальных лучей порог генерации
достигается раньше, чем для не параксиальных
и мощность излучения лазера приходится,
в основном, на паралленльные параксиальные
лучи. Угол расходимости лазерного
излучения минимальный, он обусловлен
дифракцией, главным образом, на зеркалах,
а так же в активной среде.
При отражении от поверхности предмета узкого лазерного пучка и наблюдении отраженного пучка чрез микрообъектив (проектирование на экран) видны характерные пятна - лазерные спеклы. Их возникновение обусловлено интерференцией волн, отраженных от различных точек поверхности, т.к. лазерное излучение имеет очень высокую степень когерентности, а разность фаз волн, отраженных от случайных неоднородностей на поверхности, остается постоянной во времени. Если поверхность отполирована с оптической точностью до долей длины волны лазерного излучения, то происходит зеркальное отражение пучка и спеклы не возникают. Не наблюдаются спеклы и при диффузном отражении от поверхности жидкости, когда ее неровности с течением времени сменяются.
Спеклы возникают не только при диффузном отражении, но и при прохождении лазерного излучения через среду.
В настоящее время разработано огромное число типов лазеров, отличающихся между собой активной средой, типом накачки, мощностью, режимом работы и т.д.
Кратко рассмотрим особенности конструкции и работы основных типов лазеров.
Примером твердотельного лазера может служить лазер на кристалле рубина.
Рубин
– кристалл оксида алюминия (
корунд),
в котором около
ионов алюминия в процессе роста замещена
ионами
Корунд в видимой части спектра прозрачен,
а основную роль в работе лазера играют
ионы хрома. Упрощенная схема энергетических
уровней иона хрома приведена на рисунке.
Инверсия
населенностей создается между основным
состоянием
и уровнем
.
Переходу между этими уровнями соответствует
длина волны
,
относящаяся к красной области спектра.
Выше уровня
лежат широкие полосы энергетических
уровней
и
.
Переходам из основного состояния в
состояния, характеризуемые энергиями
и
соответствуют две широкие полосы
поглощения в зеленой и синей областях
спектра. Это поглощение определяет
розовую окраску рубина.
Активная
среда лазера представляет собой
цилиндрический стержень рубина диаметром
около
и длиной несколько сантиметров.
Лампа-вспышка, выполненная в виде
спирали, обвивает рубиновый стержень,
освещая его мощным импульсом белого
света длительностью около
.
При достаточной энергии вспышки большая
(значительная) часть (количество) ионов
хрома, поглощая свет, переходит в
состояния с энергиями
и
.
Затем за время порядка
ионы хрома безызлучательно
переходят в состояние с энергией
,
передавая избыток энергии колебаниям
кристаллической решетки (в фононный
спектр кристалла). Время жизни иона
хрома в возбужденном состоянии
составляет несколько миллисекунд, что
на несколько порядков превышает
характерные времена жизни возбужденных
состояний (
).
Возбужденные состояния со столь большими
временами жизни называют метастабильными.
Если
энергия вспышки (мала) такова, что в
состоянии с энергией
окажется менее половины всех атомов
хрома, то переход в основное состояние
происходит спонтанно за время порядка
и сопровождается люминесценцией на
длине волны
.
Если
же световая вспышка обеспечивает
накопление более половины всех ионов
в состоянии с энергией
,
то возникает инверсная заселенность
уровней
и
(
).
Такой механизм образования инверсной заселенности называется оптической накачкой.
В результате оптической накачки в рубиновом стержне, имеющем посеребренные плоско-параллельные торцы или помещенном во внешний оптический резонатор, возникает короткий импульс лазерной генерации на длине волны .
Лазерный
импульс имеет сложную временную структуру
и состоит из нерегулярной последовательности
около
.
Из-за малой длительности (
)
мощность рубинового лазера в импульсе
достигает нескольких киловатт при
сравнительно небольшой энергии импульса
(несколько джоулей).
Различными
техническими изменениями, вносимыми в
конструкцию резонатора, получают
наносекундные гигантские
импульсы
света мощностью, превышающей
.
Широкое распространение, наряду с работающим по трехуровневой схеме рубиновым лазером, получили четырехуровневые лазеры на ионах редкоземельных элементов (неодим, самарий), внедренных в кристаллическую (флюорит кальция) или стеклянную матрицу. Эти ионы обладают чрезвычайно удачной для лазеров структурой энергетических уровней (см. рис.).
На рисунке: а — трёхуровневая и б — четырёхуровневая схемы накачки активной среды лазера.
мощностью, режимом работы и т.д.
Рубиновый лазер
Рубиновый лазер был первым оптическим квантовым генератором света (1960г.). Рабочим веществом является рубин - кристалл оксида алюминия Al2O3 (корунд), в который при выращивании введена примесь - оксид хрома Cr2O3. Красный цвет кристалла рубина обусловлен излучением иона хрома Cr3+, который в кристаллической решетке замещает ион Al3+. Густота красного цвета рубина зависит от концентрации ионов Cr3+, в темно-красном рубине концентрация Cr3+ достигает 1%.
Кристалл
рубина имеет две полосы поглощения: в
зеленой и в голубой части спектра. Помимо
этих полос имеются два узких энергетических
уровня E1
и E'1,
при переходе с которых на основной
уровень атом излучает свет с длинами
волн
Ширина
этих линий
,
вероятность вынужденных переходов для
линии
больше,
чем
(т.к.
эта вероятность обратно пропорциональна
частоте в кубе v-3).
При
комнатной температуре разность энергий
основного и возбужденного состояний
в несколько раз превосходит
,
поэтому уровень
практически пуст. С помощью лампы накачки
ионы неодима возбуждаются, переходя в
состояние, характеризуемое широкой
энергетической полосой
,
образованной близко лежащими
энергетическими уровнями.
Время жизни иона в состоянии очень мало, так как существует большая вероятность безызлучательного перехода иона в метастабильное состояние . Инверсная населенность уровней и достигается легко, поскольку нижний уровень , по причинам указанным выше, практически не заселен.
Лазер
на неодимовом стекле генерирует излучение
на длине волны
в виде импульсов с очень большими (
)
энергиями.
По
четырехуровневой схеме работает лазер
непрерывного действия на кристалле
иттрий-алюминиевого граната (
)
с примесью неодима с выходной мощностью
до
.
Газовые лазеры по многим характеристикам превосходят лазеры других типов. Они перекрывают широкий (от субмиллиметрового до ультрафиолетового) спектральный диапазон. Именно газовые лазеры могут обладать такими качествами как высокая степень монохроматичности излучения, малая расходимость пучка (вплоть до дифракционного предела), предельные значения мощности в непрерывном режиме, высокий КПД.
Устройство наиболее распространенного гелий-неонового лазера иллюстрирует рис.
Гелий-неоновый лазер
В гелий-неоновом He-Ne лазере активной средой является газообразная смесь гелия и неона. Генерация осуществляется при переходах между энергетическими уровнями Ne, а He играет роль посредника, через который энергия накачки передается атомам Ne.
Атом Ne
может генерировать в результате более
130 различных энергетических переходов.
Однако наиболее интенсивными являются
линии излучения
.
При пропускании тока через смесь He-Ne
атомы гелия в результате электронных
ударов возбуждаются до состояний
,
которые являются метастабильными, т.к.
переход с них в основное состояние
запрещен квантово-механическими
правилами отбора. Когда возбужденный
атом гелия сталкивается с невозбужденным
атомом неона, то энергия переходит от
He
к Ne.
Этот переход происходит весьма эффективно,
т.к. уровни 3S
и 2S
атома Ne
совпадают с соответствующими
энергетическими уровнями атома He.
В следствие этого на уровнях 3S
и 2S
неона образуется инверсная населенность
относительно уровней 3P
и 2P.
He-Ne лазер работает в непрерывном режиме. На торцы лазерной трубки наклеены многослойные зеркала под углами Брюстера к оси. Это и беспечивает линейную поляризацию излучения. Давление He-332Па, Ne-66Па в трубке, постоянное напряжение на электродах в
трубке 4кВ, коэффициенты отражения зеркал 0,999 и 0,990.
Газоразрядная
трубка с внутренним диаметром
и длиной от нескольких десятков
сантиметров до
имеет торцевые плоскопараллельные
стеклянные или кварцевые окна,
установленные под углом Брюстера к её
оси. Для линейно поляризованного
излучения с вектором напряженности
электрического поля волны, лежащим в
плоскости падения, коэффициент отражения
от таких окон равен нулю. Поэтому
брюстеровские окна обеспечивают линейную
поляризацию излучения лазера и исключают
потери энергии при распространении
света из активной среды к зеркалам и
обратно. Трубка помещена в резонатор,
образованный зеркалами с многослойным
диэлектрическим покрытием. Такие зеркала
обладают очень высоким коэффициентом
отражения в используемом спектральном
интервале и практически не поглощают
свет. Пропускание зеркала, через которое
выводится пучок, составляет
,
другого – менее
.
Особенно удобно использовать резонатор,
близкий к конфокальному, поскольку он
вносит малые дифракционные потери и
легко поддается юстировке.
Разрядная
трубка заполнена смесью гелия и неона
в молярном соотношении
при давлении
.
На электроды подается напряжение
несколько киловольт. Сила тока в разряде
составляет десятки миллиампер.
Упрощенная схема энергетических уровней атомов неона и гелия приведена на рис.
Тлеющий
разряд создает условия для возникновения
инверсии населенностей в атоме неона.
Гелий используется лишь для резонансного
возбуждения атомов неона. При столкновениях
с электронами плазмы атомы гелия
возбуждаются в метастабильные состояния
и
.
Из-за большого времени жизни концентрация
возбужденных атомов гелия в разряде
очень велика. Энергии состояний
и
атома гелия близки к энергиям возбужденных
состояний
и
атома неона, что при столкновении
способствует передаче энергии возбуждения
от атома гелия атому неона. В результате
населенность уровней
и
неона возрастает и возникает инверсия
населенностей на переходах
,
и
.
Т.о., на этих переходах возможна генерация
лазерного излучения.
Для получения генерации на одной из указанных длин волн используют зеркала с высоким коэффициентом отражения в соответствующей спектральной области. Высокая оптическая однородность газовой активной среды позволяет получать излучение с высокой степенью временной и пространственной когерентности.
