- •§ 1. Дійсні числа.
- •1.1.Множини.
- •1.2. Множина дійсних чисел.
- •1.3. Числові проміжки.
- •1.4. Модуль дійсного числа
- •§ 2.Функція.
- •2.1. Функція. Найпростіші властивості функції.
- •2.2. Способи завдання функцій
- •§ 3. Границі послідовностей і функцій.
- •3.1. Числова послідовність
- •3.2. Поняття нескінченно малої величини.
- •3.3. Обмежена і нескінченно велика величина.
- •3.4. Основні властивості нескінченно малих.
- •§4. Границя змінної
- •4.1 Границя послідовності
- •4.2.Властивості границі.
- •4.3. Границя суми, добутку і частки.
- •4.4. Границя функції
- •4.5 Односторонні границі.
- •§ 5 Обчислення границь
- •5.1. Невизначені вирази
- •5.2 Перша важлива границя.
- •5.3 Друга важлива границя
- •§6. Порівняння нескінченно малих функцій.
- •6.1 Класифікація.
- •6.2 Властивості еквівалентних нескінченно малих.
- •§7 Неперервність функції.
- •7.1 Приріст функції
- •7.2 Неперервність функції у точці.
- •7.3 Неперервність функції в точці.
- •7.4 Неперервність функції на відрізку.
- •Диференціальне числення функції однієї змінної.
- •8.1. Миттєва швидкість.
- •8.2. Означення похідної. Механічний та фізичний зміст похідної.
- •8.3. Схема знаходження похідної.
- •8.4. Геометричний зміст похідної. Дотична та нормаль.
- •8.5. Неперервність та диференційованість.
- •§ 9. Основні правила диференціювання.
- •§10 Похідні вищих порядків .
- •10.1 Похідні вищих порядків явно заданої функції.
- •10.2 Похідні вищих порядків неявно заданої функції.
- •10.3 Диференціювання функцій, заданих у параметричній формі.
- •§11 Диференціал функції.
- •11.1 Поняття диференціала.
- •11.2 Геометричний та механічний зміст диференціала.
- •11.3 Властивості диференціала.
- •11.4 Інваріантність форми диференціала.
- •§12. Деякі теореми диференціального числення.
- •12.2 Теорема Коші
- •12.3 Теорема Лагранжа.
- •12.4 Правило Лопіталя
- •§13. Застосування диференціального числення для дослідження функцій.
- •13.1. Зростання та спадання функції.
- •13.2. Поняття екстремуму.
- •13.3. Необхідна умова екстремуму.
- •13.4. Достатні умови екстремуму.
- •13.5 Знаходження екстремуму за допомогою другої похідної.
- •13.6 Найбільше і найменше значення функції на відрізку.
- •13.7 Опуклість і вгнутість кривих.
- •13.8.Асимптоти кривої.
7.3 Неперервність функції в точці.
Визначення 2.
Функція y=f(x) буде неперервною в точці тоді і тільки тоді, коли виконуються такі умови:
1)функція визначена в точці і в деякому околі цієї точки;
2) існують кінцеві односторонні границі f( - 0) і f ( + 0)
3)виконуються рівняння f( - 0) = f ( + 0) = f( )
Якщо хоча б одна з цих умов не виконується , то функція називається розривною в точці , а сама точка називається точкою розриву функції.
Розрізняють
такі види розривів. Якщо для функції
f(x)
існують скінчені границі
, причому не всі числа f
(
),
f(
-
0), f
(
+
0) рівні між собою, то розрив в точці
називають розривом першого роду , точку
-точкою
розриву першого роду.
Зокрема,
якщо
,
то
розрив в точці
називають
усувним, а тому
–
точкою усувного розриву. У цьому випадку
досить визначити функцію лише в одній
точці
,
поклавши
,
щоб дістати функцію , неперервну в точці
.
Величину
називають
стрибком функції.
Якщо хоча б одна з односторонніх границь не існує або дорівнює нескінченності , то розрив в точці – називається розривом другого роду, а сама точка - точкою розриву другого роду .
Приклади
1.Функція
невизначена
в точці х=0, але односторонні границі в
цій точці існують, кінцеві і рівні між
собою.
f
(0-0)=1 , f(0+0)=1
Досить
покласти
, щоб функція була неперервною.
Отже,
функція
э неперервною в точці х=0.
2.
Дослідити на неперервність функцію
Знайдемо
Стрибок
в точці х=2 дорівнює
-
y
4
0 2
-1
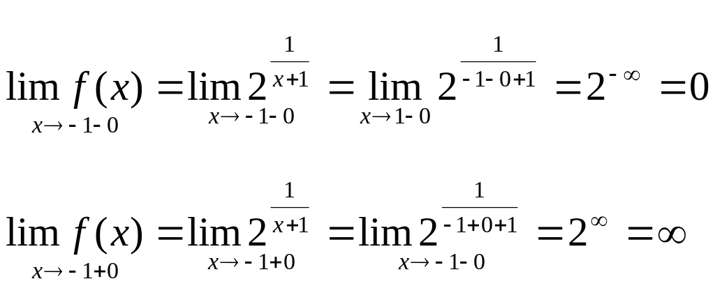
3.Дослідити
на неперервність функцію
в точці х= -1.
Функція не визначена в точці х= -1, тому функція в цій точці розривна. Знайдемо односторонні границі.
Розрив 2-го роду.
y
1
-1 0 x
7.4 Неперервність функції на відрізку.
Якщо функція неперервна в кожній точці інтервали (а; b),то вона називається неперервною на цьому інтервалі.
Функція називається неперервною на відрізку [a;b] якщо вона неперервна на інтервалі (а; b) і, крім того, неперервна справа в точці а і зліва в точці b .
Сформулюємо властивості неперервних на відрізку функцій.
Т.1(перша теорема Больцано-Коші).
Якщо функція f(x) неперервна відрізку[a;b] і на його кінцях набирає значень різних знаків, то всередині відрізка [a;b] знайдеться хоча б одна точка х=с , в якій функція дорівнює нулю: f(c )=0 (a<c<b)
-
y
f(a)>0
a
с
b
x
f(b)<0
T.2 (друга теорема Больцано-Коші).
Нехай функція y=f(x) неперервна на відрізку [a;b] і набуває на його кінця різних значень: f(a)=A f(b)=B, A≠B
Тоді для довільного числа знайдеться таке число µє [a;b], що f(c )=µ
-
B
A
a c b
T.3 (Вейєрштрасса)
Якщо функція y=f(x) неперервна на відрізку [a;b], то серед її значень на цьому відрізку існує найменше і найбільше.
-
y
M
m
a
b x
