- •§ 1. Дійсні числа.
- •1.1.Множини.
- •1.2. Множина дійсних чисел.
- •1.3. Числові проміжки.
- •1.4. Модуль дійсного числа
- •§ 2.Функція.
- •2.1. Функція. Найпростіші властивості функції.
- •2.2. Способи завдання функцій
- •§ 3. Границі послідовностей і функцій.
- •3.1. Числова послідовність
- •3.2. Поняття нескінченно малої величини.
- •3.3. Обмежена і нескінченно велика величина.
- •3.4. Основні властивості нескінченно малих.
- •§4. Границя змінної
- •4.1 Границя послідовності
- •4.2.Властивості границі.
- •4.3. Границя суми, добутку і частки.
- •4.4. Границя функції
- •4.5 Односторонні границі.
- •§ 5 Обчислення границь
- •5.1. Невизначені вирази
- •5.2 Перша важлива границя.
- •5.3 Друга важлива границя
- •§6. Порівняння нескінченно малих функцій.
- •6.1 Класифікація.
- •6.2 Властивості еквівалентних нескінченно малих.
- •§7 Неперервність функції.
- •7.1 Приріст функції
- •7.2 Неперервність функції у точці.
- •7.3 Неперервність функції в точці.
- •7.4 Неперервність функції на відрізку.
- •Диференціальне числення функції однієї змінної.
- •8.1. Миттєва швидкість.
- •8.2. Означення похідної. Механічний та фізичний зміст похідної.
- •8.3. Схема знаходження похідної.
- •8.4. Геометричний зміст похідної. Дотична та нормаль.
- •8.5. Неперервність та диференційованість.
- •§ 9. Основні правила диференціювання.
- •§10 Похідні вищих порядків .
- •10.1 Похідні вищих порядків явно заданої функції.
- •10.2 Похідні вищих порядків неявно заданої функції.
- •10.3 Диференціювання функцій, заданих у параметричній формі.
- •§11 Диференціал функції.
- •11.1 Поняття диференціала.
- •11.2 Геометричний та механічний зміст диференціала.
- •11.3 Властивості диференціала.
- •11.4 Інваріантність форми диференціала.
- •§12. Деякі теореми диференціального числення.
- •12.2 Теорема Коші
- •12.3 Теорема Лагранжа.
- •12.4 Правило Лопіталя
- •§13. Застосування диференціального числення для дослідження функцій.
- •13.1. Зростання та спадання функції.
- •13.2. Поняття екстремуму.
- •13.3. Необхідна умова екстремуму.
- •13.4. Достатні умови екстремуму.
- •13.5 Знаходження екстремуму за допомогою другої похідної.
- •13.6 Найбільше і найменше значення функції на відрізку.
- •13.7 Опуклість і вгнутість кривих.
- •13.8.Асимптоти кривої.
3.4. Основні властивості нескінченно малих.
1. Сума скінченного числа нескінченно малих величин є величина нескінченно мала.
Нехай
,
де всі доданки справа – нескінченно
малі. Тоді для мого числа ε>0
можна підібрати номер N,
після
якого одночасно будуть виконуватися
нерівності
.
При цьому
.
.
А це і означає, що s
–
нескінченно мала.
2. Добуток обмеженої величини на нескінченно малу є величина нескінченно мала.
Нехай
-
нескінченно мала, а
- обмежена величина. Завжди можна
підібрати номер N,
після якого одночасно будуть виконуватися
нерівності |
|<M;
,
де М – деяке, а ε – скіль завгодні малі
додатні числа. При цьому
.
Тобто
,
- нескінченно мала величина.
За обмежену величину може виступати стале число або деяка нескінченно мала величина. Таким чином:
1) добуток нескінченно малої на сталу є величина нескінченно стала мала.
2) добуток двох і більше нескінченно малих є величина нескінченно мала.
§4. Границя змінної
4.1 Границя послідовності
Число
називають границею послідовності
якщо
для довільного числа
існує
номер N=N(ε),
що при всіх
n>N
виконується
нерівність
(1)
Якщо число є границею послідовності то пишуть
Розглянемо геометричний зміст границі послідовності. Нерівність (1) можна представить як
,
або
Ці нерівності показують, що елемент xn знаходиться в ε- околі точки .
Зауваження.
Згідно наведеному вище, якщо існує
,
то змінну xn
завжди можна записати у формі
,
де αn
– деяка нескінченно мала величина.
Змінні по-різному наближуються до своєї границі. Значення змінної можуть зростати, спадати, коливатися:
x x
0 ½ 2/3 1 1 4/3 3/2 2
x
0 2/3 1 3/2 2
Якщо всі значення величини xn співпадають з числом a, тобто xn= a, то xn – стала і в цьому випадку
,
Границя сталої є сама стала.
4.2.Властивості границі.
1.
Змінна xn
не може мати дві різних границі. Дійсно,
якби виявилось, що xn→a
і xn→b
для будь-якого ε>0, то починаючи з
деякого номера N
повинні виконуватися нерівності
і
,
тобто значення xn
належать ε-околам точок a
і
b
одночасно,
а це неможливо.
Якщо змінна має границю, то ця границя одна.
2. Границя нескінченно малої величини є нуль і навпаки: якщо
,
то
xn
– нескінченно мала величина.
3. Якщо змінна xn монотонна зростає і обмежена зверху, тобто для всякою номеру n xn< xn+1 <A = const, то існує скінченні границя
lim xn=a ≤ A
4.
У нерівності можна переходити до границі:
якщо змінні xn
та yn,тo
5.
Якщо виконується нерівність
(починаючи з деякого номера n)
і змінні xn
та
yn
мають одну й ту саму границю: xn→a
і yn→a,
то змінна zn
має ту й саму границю: zn→a.
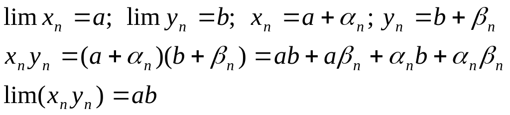
4.3. Границя суми, добутку і частки.
Якщо
змінні xn
та
yn
мають скінченні границі:
,
то їх сума, добуток і частка (при yn≠0
і b≠0)
також мають скінченні границі і
справедливі формули
Доведемо це.
Дійсно, так як
,
то
,
де αn,
βn
– деякі
нескінченно малі. Маємо
2)
3)
-
обмежена величина. Тобто добуток
обмеженої на нескінчену малу – н.м. і
Наслідок.
