- •Финансовая академия при Правительстве рф Академия менеджмента и рынка Институт финансового менеджмента
- •Содержание
- •Часть III. Стратегический и оперативно-такти- ческий финансовый менеджмент 241
- •Глава 1. Стратегия финансового менедж- мента 243!
- •Глава 2. Тактика финансового менеджмента..264
- •Введение
- •Глава 1
- •1.1. Финансовая отчетность в системе финансового менеджмента
- •1.2. Основные показатели учета и отчетности, используемые в финансовом менеджменте. Анализ денежных потоков
- •По себестоимости первых по времени закупок — фифо;
- •По себестоимости последних по времени закупок —лифо. Метод оценки запасов по фактической себестоимости
- •1.3. Основные финансовые коэффициенты отчетности
- •4. Показатели структуры капитала (или коэффициенты плате- жеспособности)
- •5. Коэффициенты рыночной активности предприятия
- •V. Важным инструментом финансового менеджмента являет- ся не только анализ уровня и динамики данных коэффициентов в сравнении с определенной базой, но и определение оптимальных
- •Глава 2
- •2.1. Простые ставки ссудных процентов
- •2.2. Простые учетные ставки
- •2.3. Сложные ставки ссудных процентов
- •2.4. Сложные учетные ставки
- •(Верхняя кривая) способы начисления сложных процентов
- •(Верхняя кривая) способы начисления сложных процентов
- •2.5. Эквивалентность процентных ставок различного типа
- •2.6. Учет инфляционного обесценения денег в принятии финансовых решений
- •2.7. Аннуитеты
- •2.8. Дивиденды и проценты по ценным бумагам. Доходность операций с ценными бумагами
- •Глава 3
- •Логика функционирования финансового
- •1.1. Эффект финансового рычага (первая концепция). Рациональная заемная политика
- •2 Риск кредитора выражен величиной дифференциала: чем больше дифференциал, тем меньше риск; чем меньше дифференциал, тем больше риск.
- •1.2. Эффект финансового рычага (вторая концепция). Финансовый риск
- •Возрастает риск невозмещения кредита с процентами для банкира.
- •Возрастает риск падения дивиденда и курса акций для ин-
- •1 Вестора. |
- •1.3. Рациональная структура источников средств предприятия
- •Привлечение заемных средств в форме кредита, займов, эмис- сии облигаций.
- •Открытая подписка на акции.
- •Комбинация первых трех способов.
- •2. Условия долгового финансирования изменяются во времени. Соответственно изменяются и предпочтения предприятий в вы- боре тех или иных источников внешнего финансирования. По- этому не стоит:
- •Глава 2
- •2.1. Классификация затрат предприятия
- •12 3 4 Объем производства, тыс. Ед.
- •При изменениях объема производства (сбыта) в релевантном диапазоне
- •1. Дифференциация издержек методом максимальной и минималь- ной точки.
- •2 3 4 5 6 7 8 9 10 11 12 13 Количество единиц продукции, тыс. Шт.
- •2.2. Операционный рычаг. Принципы операционного анализа. Расчет порога рентабельности и «запаса финансовой прочности» предприятия
- •(Пороговый объем реализации)
- •Порядок работы
- •1. Прямая выручки от реализации строится с помощью точки а:
- •2. Прямая постоянных затрат представляет собой горизонталь на уровне 860 тыс. Руб.
- •Операционного анализа
- •И интерпретация результатов (при росте выручки от реализации и неизменных постоянных затратах)
- •Затрат и интерпретация результатов (при данной выручке от реализации и переменных затратах)
- •2.3. Предпринимательский риск. Взаимодействие финансового и операционного рычагов и оценка совокупного риска, связанного с предприятием
- •2.4. Углубленный операционный анализ
- •2. Если реализация в течение года была равномерной, то можно предположить, что данный товар начал участвовать в покрытии постоянных затрат предприятия где-то в начале августа:
- •Практикум
- •3. Чтобы сохранить 75% прибыли при сокращении выручки на 25%, нужно в расчетах исходить из формулы силы воздействия операционного рычага, решенной относительно постоянных из- держек:
- •3. Рассмотрим изменение постоянных издержек. Предполо- жим, предприятию «Анна» благодаря новой организации своей
- •Увеличение объема реализации.
- •Одновременное увеличение реализации и сокращение из- держек.
- •Изменение ориентации реализации (выбор более рента- бельных изделий, более выгодных заказчиков, более прибыльных объемов заказа и путей реализации).
- •1. Цель расчета: достижение фирмой «Радуга» 5% рентабельно- сти оборота, т.Е. Получение 2,45 млн. Руб. Прибыли. Рассчитаем с помощью таблицы основные элементы операционного рычага:
- •Глава 3
- •Распределение прибыли.
- •Дивидендная политика и политика
- •Развития производства
- •Темнеменее
- •Стратегический и оперативно- тактический финансовый менеджмент
- •Глава 1
- •1.2. Инвестиционный анализ
- •4 . Метод внутрен- ней ставки рента- бельности (маржи- нальной эффектив- ности капитала) (in- ternal rate of return method).
- •5 . Модифицирован- ный метод внутрен- ней ставки рента- бельности (modified internal rate of return me tod).
- •Задать гораздо большую ставку дисконтирования (тогда npv резко уменьшится), вычислить npv и отметить соответствующую точку на графике.
- •Соединить данные две точки и, если необходимо, продлить кривую npv до пересечения с осью irr. В точке пересечения
- •1. Срок жизни проекта — это период (количество
- •Глава 2
- •2.1. Финансы маркетинга. Основы принятия ценовых решений
- •1. Велосипед, по мнению вашего малыша, обла- дает гораздо большей субъективной полезно- стью, чем высокодоходная акция.
- •2. Вы готовы заплатить втридорога за партию сырья, ес- ли ваше производство на грани остановки из-за «бескор-
- •3. Автору этих строк сырье не нужно совсем, оно обла- дает в его глазах нулевой полезностью. Но он высочайшим образом оценивает отличные авторучки фирмы «Parker».
- •Повысить цены. При очень аккуратном обращении и хоро- шем анализе это может дать наибольшее увеличение выручки, поскольку цена увеличивается при одновременном снижении на-
- •2.2. Комплексное оперативное управление оборотными активами и краткосрочными обязательствами предприятия
- •2.2.1. Чистый оборотный капитал и текущие финансовые потребности предприятия
- •Благоприятно:
- •Неблагоприятно:
- •Важное правило
- •1Мес.Хмесячньш оборот
- •1 Мес х месячный объем ' закупок сырья
- •2.2.2. Ускорение оборачиваемости оборотных средств — важнейший способ снижения текущих финансовых потребностей
- •15 Ноября
- •30 Декабря
- •Комиссии (платы за обслуживание в процентах от суммы счета-фактуры) и
- •Процентов, взимаемых при досрочной оплате представлен- ных документов.
- •2.2.3. Выбор политики комплексного оперативного управления текущими активами и текущими пассивами
- •2.3. Критерии принятия финансовых решений по управлению оборотным капиталом
- •2.3.1. Углубленный анализ собственных оборотных средств и текущих финансовых потребностей
- •Важное правило №4
- •2.3.2. Деловые ситуации и финансовые решения
- •2.4. Управление основными элементами оборотных активов
- •2.4.1. Формирование запасов
- •Запасы сезонного хранения (формирование таких запасов обусловлено сезонными особенностями производства и закупки сырья, а также сезонными особенностями потребления готовой продукции);
- •2.4.2. Управление дебиторской задолженностью
- •2.4.3. Управление денежными активам
- •Предприятия в предстоящем периоде (в соответствии с планом поступления и расходования денежных средств)
- •2.5. Совмещение операционного анализа с расчетом денежных потоков в управлении оборотным капиталом
- •Прямые переменные затраты на оплату труда
- •143 750 Руб. (по товару а) 100 000 руб. (по товару б)
- •Практикум
- •Чистый оборотный капитал
- •Задержка в поступлении наличных
- •Средний кассовый остаток
- •Дата получения денег
- •Политика скидок
- •Кредитная политика
- •Стоимость материалов
- •Оптимальный размер заказа
- •Управление запасами
- •Краткосрочный кредит
- •Краткосрочное финансирование
- •Глава 3
- •3.1. Основная дилемма финансового менеджмента: либо рентабельность, либо ликвидность
- •1. Наращивание оборота за счет самофинансирования
- •3.2. Интерференция долго- и краткосрочных аспектов политики предприятия
- •Нельзя перечеркнуть слово «проект».
- •Потребностей и уровня экономической рентабельности предприятия при различных видах инвестиций
- •Произвол - обычные
- •Три позиции равновесия:
- •Три позиции дефицита:
- •Три позиции успеха:
- •3.3. Финансовое прогнозирование
- •Нераспределенная прибыль
- •1. Составим прогностический баланс на основе отчетного по «методу процента от продаж»
- •3.4. Общий бюджет предприятия: структура и принципы составления
- •3.5. Анализ и планирование движения денежных средств
- •Важное правило
- •Финансово-экономическое положение фирмы «Элекс»
- •Запасы на конец отчетного периода
- •Расчет прибыли, млн. Руб.
- •Расчет рентабельности
- •Практикум
- •Балансовый отчет (в тыс. Руб.)
- •Глава 4 риск-менеджмент
- •4.1. Финансовый риск как объект управления
- •Риски, связанные с покупательной способностью денег;
- •Риски, связанные с вложением капитала (инвестиционные риски).
- •Риск упущенной выгоды;
- •Риск снижения доходности;
- •Риск прямых финансовых потерь.
- •Денежные потоки,
- •0 12 3 Период времени
- •4.2 Основные методы оценки риска
- •4.3. Сущность и содержание риск-менеджмента
- •Функции объекта управления;
- •Функции субъекта управления.
- •4.4. Организация риск-менеджмента
- •4.5. Стратегия риск-менеджмента
- •4.6. Приемы риск-менеджмента
- •Отказ хозяйствующего субъекта от хеджирования валютных рисков
- •Хеджирование с помощью опционов
- •Практикум
- •2. Общий расчет финансовых результатов по всем трем изде- лиям и определение запаса финансовой прочности всего пред- приятия и каждого изделия в отдельности представлены в ниже- следующей таблице.
- •3 . Определим порог рентабельности производства для каждого изделия.
- •Посто- янные издержки 77 млн.Руб.
- •1. Этот вывод подтверждается с помощью инкре- ментального анализа: прирост выручки по сравне- нию с приростом издержек выше для случая продажи об- работанных деталей.
- •Глава 1
- •Особенности
- •Финансового менеджмента
- •В коммерческом банке
- •1.1. Предмет финансового менеджмента в коммерческом банке
- •Банковского менеджмента Примечание: пунктиром показана организационно-административная связь по выполнению функций.
- •1.2. Управление финансовой устойчивостью коммерческого банка
- •Эффективность управления налогами х Эффективность контроля за расходами х Эффективность управления активами х х Эффективность управления ресурсами.
- •Мультипликатор капитала
- •Показателей, используемых для определения финансового состояния банка
- •Показателей, используемых для определения финансового состояния банка
- •Показателей, используемых для определения финансового состояния банка.
- •Показателей, используемых для определения финансового состояния банка
- •Раздел 1. Показатели финансовой устойчивости
- •2. Расчет прибыли и расходов центров прибыли и центров за- трат кб по совершаемым операциям и услугам.
- •И пассивам банка
- •Правила управления гэпом
- •Классификация ситуаций по гэпу
- •Примеры оценки ситуаций по гэпу
- •Модель гэпа
- •Расчет модели гэпа
- •Внутрибанковское ценовое регулирование операций и услуг коммерческого банка: финансовая прочность банка и модель спреда
- •Модель спреда
- •Глава 2
- •2.1. Основные финансовые параметры предприятия малого бизнеса на различных этапах его жизненного цикла
- •2.2. Особенности финансового менеджмента малого бизнеса
- •2.3. Особенности инвестиционного анализа для малого предприятия
- •2.4. Рыночная оценка взносов в уставный капитал малого предприятия. Оценка стоимости малого бизнеса
- •2.5. Выпуск акций и их размещение. Дивидендная политика
- •Практикум
- •3,5 Ам.Долл.Х количество - 2,1 ам.Долл. Х количество товара товара
- •6. Определение сумм прибыли, соответствующих различным уровням выручки, очень удобно производить графическим спо- собом (рис. 1 и 2).
- •Проводим линию постоянных издержек от точки с (уро- вень 700 ам. Долл.) параллельно горизонтальной оси.
- •8. Неблагоприятная ассортиментная структура может оказать пагубное влияние на результаты бизнеса и увеличить связанный с ним риск. Одним из главных, но, как будет показано в дальней-
- •Приложение 1
- •1. Математика финансового менеджмента Основные формулы*
- •2. Базовые показатели и основные формулы финансового менеджмента
- •Средневзвешенная стоимость капитала
- •Ожидаемая
- •Реализации
- •Рекомендуемая литература
- •Учебник Финансовый менеджмент теория и практика
- •107061 Г. Москва, ул. 9-я Рота, 15
2.7. Аннуитеты
В большинстве современных коммерческих операций подразу- меваются не разовые платежи, а последовательность денежных поступлений (или, наоборот, выплат) в течение определенного периода. Это может быть серия доходов и расходов некоторого предприятия, выплата задолженностей, регулярные или нерегу- лярные взносы для создания разного рода фондов и т. д. Такая последовательность называется потоком платежей.
Поток однонаправленных платежей с равными интервалами между последовательными платежами в течение определенного количества лет называется аннуитетом (финансовой рентой).
Теория аннуитетов является важнейшей частью финансовой математики. Она применяется при рассмотрении вопросов до- ходности ценных бумаг, в инвестиционном анализе и т. д. Наибо- лее распространенные примеры аннуитета: регулярные взносы в пенсионный фонд, погашение долгосрочного кредита, выплата процентов по ценным бумагам.
Аннуитеты различаются между собой следующими основными характеристиками:
величиной каждого отдельного платежа;
интервалом времени между двумя последовательными плате- жами (периодом аннуитета);
сроком от начала аннуитета до конца его последнего периода (бывают и неограниченные по времени — вечные аннуитеты);
процентной ставкой, применяемой при наращении или дис- контировании платежей.
Аннуитет, для которого платежи осуществляются в начале со- ответствующих интервалов, носит название аннуитета пренуме- рандо; если же платежи осуществляются в конце интервалов, мы получаем аннуитет постнумерандо (обыкновенный аннуитет) — пожалуй, самый распространенный случай.
Наибольший интерес с практической точки зрения представ- ляют аннуитеты, в которых все платежи равны между собой (по- стоянные аннуитеты), либо изменяются в соответствии с некото- рой закономерностью. Именно такие аннуитеты мы и изучим в дальнейшем.
Введем следующие обозначения:
— величина каждого отдельного платежа;
116
— сложная
процентная ставка, по которой начисляются
проценты;
наращенная сумма для к-го платежа аннуитета постну- мерандо;
наращенная (будущая) сумма всего аннуитета постну- мерандо (т. е. сумма всех платежей с процентами);
современная величина fc-го платежа аннуитета постну- мерандо;
современная величина всего аннуитета постнумерандо (т. е. сумма современных величин всех платежей);
наращенная сумма аннуитета пренумерандо;
современная величина аннуитета пренумерандо;
— число
платежей.
Рис. 5. Будущая стоимость аннуитета постнумерандо
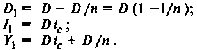
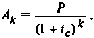
Рассмотрим аннуитет постнумерандо с ежегодными платежами P в течение п лет, на которые начисляются проценты по сложной годовой ставке ic (рис. 5).
Сумма Si для первого платежа, проценты на который будут на- числяться, очевидно, (п — 1) раз, составит по формуле (3.1):
Для второго платежа (проценты на него будут начисляться на один год меньше) имеем
и так далее. На последний платеж, произведенный в конце л-го года, проценты уже не начисляются, т. е.
Sn = P.
Тогда для общей наращенной суммы имеем
117
где
—
коэффициент наращения аннуитета с
параметрами /,
п
—
представляет собой, как можно заметить,
сумму членов гео-
метрической
прогрессии, для которой первый член ах
равен
1, а
знаменатель
(назовем его q)
составляет
(1 + ic).
Используя
математическую формулу для суммы членов
геомет-
рической
прогрессии:
запишем выражение (7.1) в более удобном для вычислений виде:
Для коэффициента наращения, соответственно, имеем
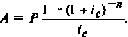
Найдем теперь современную величину А данного аннуитета (рис. 6).
Рис. 6. Современная величина аннуитета постнумерандо
При заданной процентной ставке /с современное значение каждого платежа будет определяться по формуле:
Современная величина всего аннуитета, следовательно, соста- вит
118
где ai n — коэффициент приведения аннуитета, опять является суммой геометрической прогрессии, теперь уже с параметрами
^1 = <7=1/(1 +/,)•
Тогда
для
получаем
выражение:
(7.4)
для современной величины А соответственно
(7.5)
Как видим, современная величина и наращенная сумма аннуи- тета связаны между собой соотношением:
(7.6)
Из полученных формул путем преобразований легко получить еще несколько формул.
Так, для определения размера очередного платежа (7) имеем
(7.7)
(7.8)
Для определения срока аннуитета (л), при прочих заданных ус- ловиях, получаем
(7.9)
(7.Ю)
Для конкретных вычислений выбирается одна из двух формул каждой пары в зависимости от заданных известных величин.
Рассмотрим далее аннуитет пренумерандо с теми же начальны- ми условиями (рис. 7).
Очевидно, отличие от предыдущего случая состоит здесь в том, что период начисления процентов на каждый платеж увеличива- ется на один год, т. е. каждая наращенная сумма Sk увеличивается в (1 + /с) раз. Следовательно, для всей суммы Sn имеем
119
Рис. 7. Будущая стоимость аннуитета пренумерандо
(7.11)
Для коэффициента наращения аннуитета пренумерандо kf1^
получаем следующее соотношение:
(7.12)
Можно также заметить, что для определения современных зна- чений каждого платежа дисконтирование по заданной ставке ic проводится на один раз меньше, чем в случае аннуитета пренуме- рандо. Поэтому каждая современная величина Ак будет больше в (1 + /) раз. Таким образом,
(7.13)
А для коэффициента приведения afn получаем
(7.14)
Для нахождения размера платежа и срока аннуитета пренуме- рандо можно по формулам (7.11) и (7.13) найти для заданных зна- чений Sn и An соответствующие значения 5 и А и пользоваться да- лее формулами, выведенными для аннуитета постнумерандо.
Для
определения коэффициентов наращения
и
приведения
обыкновенного аннуитета существу-
ют
таблицы, которыми удобно пользоваться
в практиче-
ских
вычислениях. Максимальные процентные
ставки в та-
ких
таблицах обычно не превышают 30—40%, что
значи-
120
тельно ниже размера процентных ставок, применяемых в России в настоящее время. Но нужно иметь в виду, что п в данном случае — не число лет, а число периодов одинако- вой продолжительности (день, месяц, квартал и т. д.), в ко- торых принята данная процентная ставка. Таким образом, если задана годовая процентная ставка, можно найти эк- вивалентную ей ставку на более коротком интервале и рассматривать далее п как число таких интервалов.
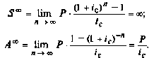
Если срок аннуитета п не ограничен, мы получаем случай веч- ного аннуитета. Для аннуитета постнумерандо выражения для на- ращенной суммы и современной величины приобретут следую- щий вид:
(7.15)
(7.16)
Для
аннуитета пренумерандо, соответственно,
получаем
(7.17)
(7.18)
Таким образом, различие между двумя типами вечных аннуите- тов, естественно, сказывается на определении их современной величины.
Не менее важен случай, когда последовательность платежей из- меняется по некоторому закону, и, следовательно, также может быть описана с помощью математических средств.
Рассмотрим обыкновенный аннуитет, в котором платежи по- стоянно увеличиваются на определенную положительную вели- чину А, т. е. являются членами арифметической прогрессии с пер- вым членом A1 = Ph разностью A. T. е. платежи представляют со- бой ряд:
£/>+Л, />+2А, ... Р+ (п- I)A.
121
Для наращенной суммы всего аннуитета получаем следующее выражение:
Умножим обе части данного равенства на (1 + /с) и вычтем первое выражение из полученного после умножения:
Видно, что часть полученного равенства представляет собой сумму членов геометрической прогрессии, где A1 = A(I + Q; q = = (1 + Q. После несложных преобразований получаем:
(7.19)
Найдем теперь современное значение аннуитета А.
Умножим
обе
части равенства на (1 + ir
)n.
Как видим, в данном случае верна формула (7.6), полученная ранее для обыкновенного аннуитета:
отсюда
(7.20)
Возможен также случай, когда платежи постоянно возрастают в q раз, т. е. являются членами геометрической прогрессии: P, Pq, Pq2, ..., Pqn~X. Тогда для наращенной суммы аннуитета имеем
В квадратных скобках мы получили геометрическую прогрес- сию с первым членом а\ = (1 + ic)n и знаменателем q/{\ + ic ). Ис- пользуя опять формулу для суммы геометрической прогрессии, получаем выражение для S.
Очевидно, чтобы найти современное значение аннуитета А, здесь также можно применить формулу (7.6):
Теперь мы имеем возможность решить пример по определению потока платежей произвольной величины.
122
Пример 27
Найти современную величину потока платежей, определяемого следующим образом: первый год — поступления 500 ам. долл., второй год — поступления 200 ам. долл., третий год — выплата 400 ам. долл., далее в течение семи лет — доход по 500 ам. долл. Ставка дисконтирования — 6% годовых. Решение
В данном примере поток платежей в течение последних семи лет представляет собой постоянный аннуитет. По формуле (7.5) мы можем рассчитать его современную величину Aq. Нельзя за- бывать, что это будет современная величина на момент начала четвертого периода:
A0 = 500 • 5,58 = 2791 (ам. долл.) (коэффициенты приведения находим по таблице 4 Приложе- ния 2). Далее, используя формулу (3.11), находим современные значения на момент начала потока платежа для всех оставшихся платежей и величины A0:
А\ = 500 -0,953 = 471,5 (ам. долл.); А2 = 200 • 0,89 = 178 (ам. долл.); Аъ = -400 • 0,840 = -336 (ам. долл.); А4 = 2791 • 0,840 = 2344,44 (ам. долл.). Складывая получившиеся величины, находим современную ве- личину всего потока платежей:
А = Ax + A2 + A3 + A4 = 2657,94 ам. долл.
Современная величина аннуитета
Во всех случаях, когда в произвольном потоке платежей встречаются серии, которые могут быть описаны как постоянные или изменяющиеся по некоторо- му закону аннуитеты, следует обращать внимание на на-
123
чальный момент и срок этих аннуитетов, не совпадающие с начальным моментом и сроком полного потока платежей.
Следующий этап нашего изучения — конверсия аннуитетов.
Под конверсией аннуитета понимается такое изменение на- чальных параметров аннуитета, после которого новый аннуитет был бы эквивалентен данному.
Два аннуитета считаются эквивалентными, если равны их со- временные величины, приведенные к одному и тому же моменту времени.
На практике необходимость рассчитать параметры эквивалент- ного аннуитета чаще всего возникает при изменении условий вы- платы долга, погашения кредита или займа и т. п. При этом кон- версия может произойти как в момент начала аннуитета (на этот момент и рассчитываются современные величины эквивалент- ных аннуитетов), так и после выплаты некоторой части аннуите- та. В последнем случае все расчеты производятся на остаток долга в момент конверсии.
Рассмотрим наиболее распространенные случаи конверсии по- стоянных аннуитетов.
Через некоторый промежуток времени л0 (он может быть ра- вен и 0) после начала аннуитета весь остатрк долга может быть выплачен за один раз (выкуп аннуитета). Очевидно, что в этом случае величина выплачиваемой суммы будет равна современной величине остатка аннуитета, рассчитанной для срока п\ = п- W0-
Может возникнуть задача, обратная предыдущей: задолжен- ность погашается частями, в виде выплаты постоянного аннуите- та, и требуется определить один из параметров аннуитета при за- данных остальных. Поскольку здесь известна сумма долга, т. е. современная величина аннуитета, для нахождения неизвестного параметра используем формулы (7.8) или (7.10).
Период выплаты долга может быть изменен при сохранении прежней процентной ставки. Величину P1 платежа для срока W1 находим, используя уравнения эквивалентности (приравнивают- ся современные значения аннуитетов):
Отсюда
124
Очевидно, что, если срок аннуитета увеличится, значение P со- кратится, и наоборот.
4. Может возникнуть ситуация, когда величина платежа P дол- жна быть изменена в ту или другую сторону. Рассмотрим данный случай на примере 28.
Пример 28
Для погашения кредита, выданного под сложную процентную ставку 4% годовых, в течение 10 лет должны вноситься ежегодные платежи в размере 5 000 ам. долл. Изменившиеся условия дают возможность с самого начала вносить по 7 500 ам. долл. Опреде- лить новый срок W1, за который долг будет полностью выплачен.
Решение
Рассчитаем сначала современную величину имеющегося анну- итета (которая и представляет собой величину долга на началь- ный период).
По формуле (7.5) получаем
А = 5 000 [1 - (1 + 0,04)-10]/0,04 = 40554,5 (ам. долл.).
Далее для изменившегося P найдем коэффициент приведения аннуитета по той же формуле:
ain = AfPx = 40554,5 ам. долл./ 7500 ам. долл. = 5,4.
Используя таблицу 4 Приложения 2 найдем значение W1, более всего подходящее данному коэффициенту при процентной ставке 4%, округляя его в меньшую сторону: W1 = 6. Поскольку значение W1 найдено приближенно, необходимо рассчитать современное значение нового аннуитета:
Ax = 7 500 [1 - (1 + 6,04)"6]/0,04 = 39 316 (ам. долл.).
Если величины платежей изменяться не могут, недостающая сумма Aq = 40 554,5 — 39 316 = 1238,5 (ам. долл.) должна быть вы- плачена кредитору сразу. (Пример, когда в такой ситуации кор- ректируются величины платежей, рассматривается в конце этого раздела).
5. Начало выплаты задолженности при заданной процентной ставке гс может быть отсрочено:
а) при сохранении размера платежа;
б) при сохранении срока выплаты.
Очевидно, что в первом случае должен увеличиться срок ан- нуитета, а во втором — величина платежа.
Обозначим через W0 период отсрочки. Тогда на момент начала выплаты, сумма долга Ax, которая должна являться современной
125
величиной нового аннуитета, составит по формуле сложного про- цента:
Отсюда получаем уравнение эквивалентности:
Далее поступаем аналогично рассмотренным ранее случаям. В первом варианте находим значение п± продолжительности нового аннуитета при заданном значении P1 = Р(п{ будет найдено при- ближенно, поэтому потребуется выплата компенсирующей сум- мы, см. пример 28). Во втором — величину платежа P1 при Ai1 = = п - Ai0.
6. В некоторых случаях может потребоваться объединение не- скольких аннуитетов в один (консолидация аннуитетов). При этом объединяемые аннуитеты могут быть любыми, а в искомом объединяющем аннуитете один из параметров неизвестен при всех остальных заданных.
Пример 29
Два аннуитета с параметрами:
величина платежа —- 2 000 ам. долл., процентная ставка — 5% годовых, срок — 12 лет;
величина платежа — 3 500 ам. долл., процентная ставка — 6% годовых, срок — 10 лет;
требуется заменить одним — со сроком 10 лет и процентной став- кой 6% годовых.
Определить величину нового платежа.
Решение
Найдем сначала общую современную величину двух аннуите- тов. По формуле (7.5) имеем
Далее по формуле (7.7) находим величину нового платежа:
Нам остается теперь рассмотреть важное практическое прило- жение теории аннуитетов — составление различных вариантов (планов) погашения задолженности. При составлении плана по- гашения интерес представляют размеры периодических платежей заемщика — выплаты процентов и выплаты по погашению ос-
новной суммы долга — при различных условиях погашения (та- кие платежи носят название срочных уплат).
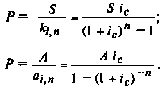
Основных вариантов погашения задолженности — пять:
1. Займы без обязательного погашения, по которым постоянно выплачиваются проценты. Задача в данном случае заключается в нахождении размера выплачиваемой суммы P при заданной про- центной ставке /. Мы имеем здесь случай вечного аннуитета. Раз- мер платежа определяется по формуле (7.15), из которой получаем
2. Погашение долга в один срок
Если заемщик должен вернуть всю сумму долга в конце срока, целесообразным бывает создание погасительного (амортизацион- ного) фонда, для чего периодически вносятся определенные сум- мы, на которые начисляются проценты.
Если
процентная ставка, под которую вносятся
средства,
не превышает размеров ставки, под
ко-
торую
выдается заем, создание погасительного
фонда не
имеет
смысла. Выгоднее сразу расплачиваться
этими сум-
мами
с кредитором.
Введем обозначения:
основная сумма долга (без процентов);
ставка процента по займу;
процент по займу;
размер взноса в погасительный фонд;
ставка, по которой начисляются проценты на взносы в фонд;
величина срочной уплаты;
— срок
займа.
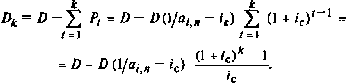
Найдем величину срочной уплаты У и ее составляющих (Y = = /+/).
По определению / = D ic .
Сумма, накопленная в погасительном фонде за п лет, т. е. нара- щенная сумма аннуитета с параметрами % п, g, должна составить величину R По формуле (7.2) получаем
Отсюда
127
Значит, в данном случае величина срочной уплаты определяет- ся формулой:
(7.23)
Если проценты не выплачиваются, а присоединяются к основ- ной сумме долга, то срочная уплата будет состоять только из взносов в погасительный фонд.
Общая
сумма долга составит по формуле (3.1)
величину
откуда
получаем
3. Погашение долга равными суммами
Пусть долг погашается в течение п лет равными суммами, а про- центы периодически выплачиваются. Тогда на погашение посто- янно идут платежи размером D/n, а процентные выплаты ежегод- но сокращаются, так как уменьшается основная сумма долга.
Обозначим
— сумма долга после к-го года:
— процентная
выплата за к-й
год.
Тогда
На конец второго года получаем
Для определения размера срочной уплаты и процентного пла- тежа после к-го года получаем
На конец срока, т. е. л-го года имеем
Видно, что самые большие суммы приходится платить в начале периода погашения, что может в большинстве случаев расцени- ваться как недостаток этого метода погашения задолженности.
4. Погашение долга с использованием постоянных срочных уплат
Пусть
займ величиной Д выданный под сложную
годовую про-
центную
ставку
погашается
в течение п
лет
равными срочными
уплатами
Y=
I +
P.
Понятно,
что со временем составляющая /
(проценты
по займу) будет уменьшаться, так как
уменьшается ос-
128
новная сумма задолженности. Соответственно, составляющая P (сумма, идущая на погашение займа) будет увеличиваться.
Выведем формулы для расчета суммы процентных денег и сум- мы на погашение долга на конец к-то года.
Периодическая выплата постоянной суммы Y при заданной процентной ставке ic в течение п лет является аннуитетом с соот- ветствующими параметрами.
Поэтому величина срочной уплаты определяется по формуле (7.9):
—
коэффициент
приведения ренты).
Обозначив через Рк сумму, идущую на погашение займа в кон- це к-го года, запишем следующие соотношения:
Подставляя выражения 3) и 4) в соотношение 2), получим
Перепишем выражение 1), используя последнее равенство:
откуда
получаем
Так
как
Следовательно,
Отсюда
Далее
получаем
Когда займ погашается постоянными срочными уплатами, их величина может быть заранее задана, и тогда возникает задача оп- ределения периода погашения долга п. Вопрос определения срока аннуитета рассматривался ранее в связи с конверсией аннуите- тов. При этом для выполнения принципа эквивалентности необ-
129
ходимо было доплатить недостающую сумму (возникающую в ре- зультате округления полученного л) в начале периода погашения. Вместо этого возможно также небольшое изменение размера срочных уплат.
Рассмотрим для прояснения ситуации пример.
Пример 30
Займ в размере 12 000 ам. долл. выдан под сложную процент- ную ставку 4% годовых. Определить продолжительность периода погашения, если заемщик собирается выплачивать ежегодно по 1 500 ам. долл. Составить график погашения долга.
Решение
Рассчитаем
сначала коэффициент приведения аннуитета
я4
п
:
12
000 ам. долл./1 500 ам. долл. = 8.
По таблице определим приблизительно п, соответствующее данному коэффициенту и процентной ставке 4%. Так как п = 10 соответствует коэффициент а4 10 = 8,11, возьмем п = 9 и рассчи- таем для этого срока и современной величины А = 12 000 ам. долл. новое значение платежа P. Используем для этого формулу (7.8), находя значение коэффициента приведения по таблице 4 Приложения 2.
12
000 ам.
долл./7,435 = 1 614 ам. долл.
Составим теперь график погашения долга, в который должны входить процентные выплаты, расходы по погашению долга, ос- таток долга на конец каждого года.
Используя выведенные ранее формулы, находим искомые зна- чения:
Год |
Сумма долга на конец года |
Срочная уплата (Y) |
Проценты (I) |
Выплата на погашение (P) \ |
1 |
10 866,0 |
1613,99 |
480,0 |
1133,98 |
2 |
9 686,67 |
1613,99 |
434,64 |
1179,35 |
3 |
8 460,2 |
1613,99 |
387,47 |
1226,5 |
4 |
7 184,6 |
1613,99 |
338,4 |
1275,58 |
5 |
5 858,0 |
1613,99 |
287,4 |
1326,6 |
6 |
4 478,32 |
1613,99 |
234,32 |
1379,67 |
7 |
3 043,5 |
1613,99 |
179,13 |
1434,86 |
8 |
1 551,23 |
1613,99 |
121,73 |
1492,25 |
1 9 |
0 |
1613,99 |
62,04 |
1551,9 |
130
Небольшое расхождение в остатке долга на конец 8-го года и сумме последней выплаты на погашение происходит из-за округ- ления некоторых значений предыдущих сумм.
5. Погашение долга с использованием переменных срочных уплат
Во многих случаях предпочтительнее оказывается погашение долга с использованием переменных срочных уплат. Срочные уп- латы могут изменяться в соответствии с некоторой закономерно- стью или задаваться графиком погашения.
Рассмотрим
случай, когда последовательность срочных
уплат
представляет
собой арифметическую профессию с
заданной раз-
ницей
А. При сроке погашения п
и
процентной ставке ic
,
исполь-
зуя
формулу
(7.20),
находим величину срочной уплаты P:
исходя из которой разрабатывается план погашения долга.
6. На практике часто встречается случай, когда заранее задают- ся размеры всех срочных уплат, кроме последней, определяемой величиной остатка долга на начало последнего периода (см. при- мер 31).
Пример 31
Долг в размере 10 000 ам. долл. требуется погасить за пять лет, размеры срочных уплат в первые четыре года — 2 000 ам. долл., 2 000 ам. долл., 4 000 ам. долл., 1 500 ам. долл. Найти величину последней уплаты, если процентная ставка составляет 5% годо- вых.
Решение ,
Разработаем план погашения долга.
| Год |
Сумма долга на конец года |
Срочная уплата (Y) |
Проценты (D |
Выплата на погашение (P) |
1 |
8 500,0 |
2 000,0 |
500,0 |
1 500,0 |
2 |
6 925,0 |
2 000,0 |
425,0 |
1 575,0 |
3 |
3 271,25 |
4 000,0 |
346,25 |
3 653,75 |
4 |
1 934,81 |
1 500,0 |
163,56 |
1 336,44 |
1 5 |
0 |
2 031,55 |
96,74 |
1 934,81 1 |
Проценты за первый год составляют
Отсюда
ш
Для последующих лет получаем
Итак, величина последней уплаты должна составить 2 031,55 ам. долл.
