- •Векторні функції скалярного аргументу і їх властивості
- •Границя векторних функцій
- •Tеорема:
- •Доведення:
- •Неперервність векторних функцій
- •Векторна похідна
- •Елементи тригранника Френе
- •Дотична до кривої
- •Теорема:
- •Доведення:
- •Нормальна площина кривої
- •Бінормаль кривої
- •Спрямна площина
- •Головна нормаль
- •Довжина дуги кривої Натуральна параметризація
- •Кривизна кривої
- •Теорема:
- •Доведення:
- •Натуральні рівняння кривої
- •Формули Френе
- •Доведення:
- •Плоскі криві
- •Лінія на поверхні
- •Дотична площина і нормаль до поверхні
- •Перша квадратична форма поверхні
- •Застосування першої квадратичної форми
- •Друга квадратична форма поверхні
- •Кривизна кривої на поверхні Нормальна кривизна поверхні Теорема Меньє
- •Теорема Меньє
- •Нормальна кривизна поверхні в даному напрямку є величина стала.
- •Геодезична кривизна і її обчислення
- •Головні кривизни на поверхні
- •Індикатриса кривизни Дюпена
- •Класифікація точок на поверхні:
- •Класифікація точок на основі поняття ідекатриси Дюпена
- •Класифікація точок поверхні на основі поняття Гаусової (повної) кривизни поверхні
- •Класифікація точок з використанням поняття стичного параболоїда поверхні
- •Поверхня обертання і її рівняння
- •Головні напрямки на поверхні
- •Асимптотичні напрямки на поверхні Асимптотичні лінії
- •Геодезичні напрямки на поверхні
- •Сферичне зображення області на поверхні Теорема Гауса
- •Теорема :
- •Ізометричні поверхні Згинання поверхні
- •Теорема Гауса-Бонне(без доведення)
- •Теорема Гауса-Бонне:
- •Топологічний простір
- •I. Об'єднання будь-якої кількості (скінченної або нескінченної) відкритих множин є відкрита множина.
- •II. Перетин будь-яких двох відкритих множин є відкрита множина.
- •Топологічні перетворення і їх властивості
- •Замкнені множини Граничні точки
- •3°. Перетин будь-якої системи (скінченої чи нескінченної) замкнених множин є замкнена множина.(якщо - сукупність замкнених множин, то множина замкнена).
- •4°. Множина м простору замкнена тоді і тільки тоді, коли вона містить всі свої граничні точки.
- •Кліткове розбиття поверхні Орієнтовні поверхні
- •Теорема Ейлера для многогранників
- •Приклади топологічно правильних многогранників
- •Топологічні властивості проективної площини
Геодезичні напрямки на поверхні
Лінія на поверхні називається геодезичною, якщо в кожній точці геодезична кривизна дорівнює нулю.
Для того щоб ліня на поверхні була геодезичною потрібно, щоб головна нормаль кривої, в даній точці, збігалася із нормаллю до поверхні в даній точці.
Якщо, наприклад, дві поверхні перетинаються по кривій лінії, яка є геодезичною на даній поверхні, то вона буде і геодезичною на іншій поверхні.
ЗАУВАЖЕННЯ: через кожну точку регулярної, принаймні двічі неперервно-диференційовну криву в кожному напрямку можна побудувати геодезичну лінію.
Простим прикладом геодезичної лінії є кола великих радіусів, на сфері.
ЗАУВАЖЕННЯ: відстань між двома точками на поверхні є найкоротшою по геодезичній лінії.
Сферичне зображення області на поверхні Теорема Гауса
Нехай задано на регулярній поверхні деяку область:
-в кожній точці області Q побудуємо одиничний вектор нормалі;
- відкладемо всі одиничні вектори нормалей від даної точки простору;
- кінці всіх цих векторів будуть лежати на сфері одиничного радіуса.
Множину точок,яка є кінцями відкладених одиничних векторів від даної т. О області, назвемо сферичним зображенням області Q.
Між площею зображення області Q і площею самої області Q існує певний зв’язок, який виражається теоремою Гауса.
Теорема :
Відношення площі сферичного зображення області до площі області прямує до абсолютного значення Гаусової кривизни в точці, якщо сама область стягується в цю точку.
Ізометричні поверхні Згинання поверхні
Дві поверхні Ф і Ф’ називаються ізометричними, якщо існує ізометричне відображення поверхні Ф на поверхню Ф’.
Відображення поверхні Ф на Ф’ називається ізометричним, якщо відповідні криві на даній поверхні мають однакові довжини.
Якщо дані дві поверхні Ф1 і Ф2 можна параметризувати так щоб їх перші квадратичні форми були однакові, то дані поверхні будуть ізометричними, і навпаки.
Так як довжина дуги кривої на поверхні, кут між двома кривими на поверхні і площа куска поверхні виражаються через коефіцієнти першої квадратичної форми, то при ізометричному відображені поверхня збігатиметься із величиною кута і площею куска поверхні.
Простим прикладом ізометричного відображення поверхні є згинання поверхні.
Згинанням поверхні називається така деформація цієї поверхні при якій не змінюється довжина кривої на цій поверхні.
Теорема Гауса-Бонне(без доведення)
Нехай дано регулярну, принаймні двічі непевно-диференційовану поверхню (1)
на даній поверхні розглянемо деяку область Q, обмежену кусково-регулярною кривою ;
кути
-
геодезична кривизна кривих.
Визначимо напрямок обходу по лінії , з того боку поверхні якому належить нормаль до поверхні так, щоб область Q завжди знаходилась з права, тоді для такої області на поверхні (1) має місце теорема:
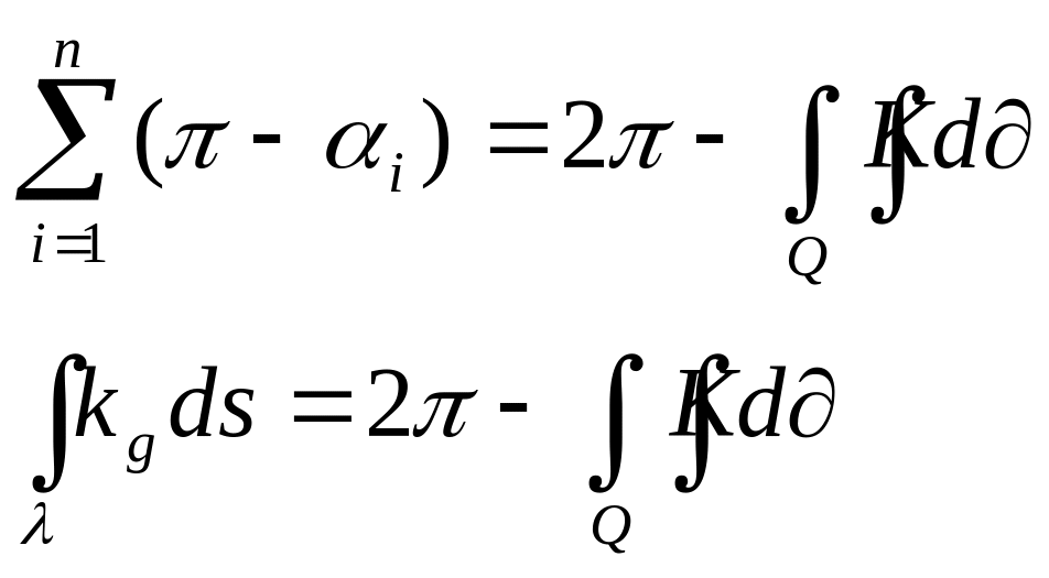
Теорема Гауса-Бонне:
Для
всякої області Q
на поверхні (1) має місце рівність:
де
- елемент площі
-
інтегральна кривизна
Припустимо,що
лінії
є геодезичними, тоді
=0,
тоді:
Припустимо,
що лінія
є геодезична, то маємо
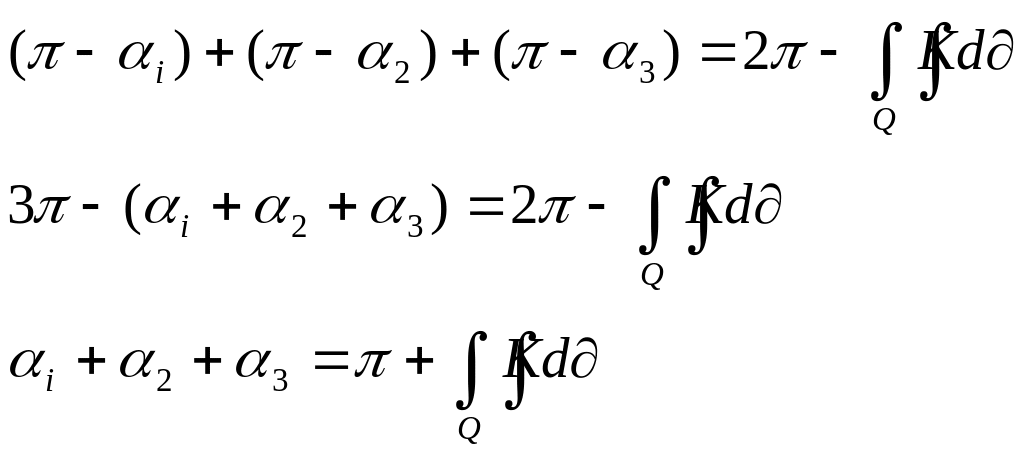
Припустимо, що область Q обмежена трьома геодезичними лініями (геодезичний трикутник):
Якщо
Гаусова кривизна дорівнює нулю, тоді
Отже сума внутрішніх кутів трикутника на площині дорівнює 180о., якщо Гаусова кривизна більша нуля, то маємо сферу.
