- •Теоретический материал к уроку 9 класс
- •Что такое мультимедиа Что такое мультимедиа
- •Области использования мультимедиа
- •Представление результатов компьютерного моделирования
- •Реклама
- •Технические средства мультимедиа
- •Система ввода/вывода звука
- •Устройства для работы с видеокадрами
- •Устройства хранения мультимедийной информации
- •Компьютерные презентации Что такое презентация
- •Какие бывают презентации
- •Этапы создания презентации
- •Кодирование информации с помощью знаковых систем Знаки: форма и значение
- •Знаковые системы
- •Кодирование информации
- •Кодирование текстовой информации
- •Кодирование числовой информации Представление числовой информации с помощью систем счисления
- •Контрольные вопросы
- •Задания для самостоятельного выполнения
- •Перевод чисел в позиционных системах счисления
- •Задания для самостоятельного выполнения
- •Арифметические операции в позиционных системах счисления
- •Задания для самостоятельного выполнения
- •Двоичное кодирование чисел в компьютере
- •Задания для самостоятельного выполнения
- •Кодирование и обработка звуковой информации
- •Контрольные вопросы
- •Задания для самостоятельного выполнения
- •Алгоритмы и исполнители Управление и кибернетика
- •Возникновение кибернетики
- •Что такое управление
- •Алгоритм управления
- •Вопросы и задания
- •Управление с обратной связью Линейный алгоритм
- •Обратная связь
- •Модель управления с обратной связью
- •Циклы и ветвления в алгоритмах
- •Системы с программным управлением
- •Вопросы и задания
- •Алгоритм и его формальное исполнение Свойства алгоритма и его исполнители
- •Контрольные вопросы
- •Задания для самостоятельного выполнения
- •Выполнение алгоритмов человеком и компьютером
- •Что такое язык программирования
- •Что такое система программирования
- •Вопросы и задания
- •Знакомство с языком Паскаль Возникновение и назначение Паскаля
- •Структура программы на Паскале
- •Операторы ввода, вывода, присваивания
- •Правила записи арифметических выражений
- •Пунктуация Паскаля
- •Вопросы и задания
- •Алгоритмы с ветвящейся структурой Представление ветвлений на ая. Трассировка ветвящихся алгоритмов
- •Сложные ветвящиеся алгоритмы
- •Вопросы и задания
- •Программирование ветвлений на Паскале Оператор ветвления на Паскале
- •Программирование полного и неполного ветвления
- •Программирование вложенных ветвлений
- •Логические операции
- •Сложные логические выражения
- •Вопросы и задания
- •Программирование диалога с компьютером Что такое диалог с компьютером
- •Пример программирования диалога
- •Вопросы и задания
- •Программирование циклов
- •Этапы решения расчетной задачи на компьютере
- •Задача о перестановке букв. Программирование цикла на Паскале
- •Что такое отладка и тестирование программы
- •Вопросы и задания
- •Алгоритм Евклида Наибольший общий делитель
- •Идея алгоритма Евклида
- •Описание алгоритма Евклида блок-схемой
- •Программа на ая и на Паскале
- •Вопросы и задания
- •Что такое массив
- •Описание и ввод значений в массив на Алгоритмическом языке
- •Цикл с параметром в ая
- •Расчет среднего значения элементов массива
- •Вопросы и задания
- •Массивы в Паскале
- •Описание и обработка массива на Паскале
- •Цикл с параметром на Паскале
- •Форматы вывода
- •Программа с двумя массивами
- •Вопросы и задания
- •Одна задача обработки массива
- •Что такое случайные числа
- •Датчик случайных чисел на Паскале
- •Алгоритм поиска числа в массиве
- •Программа поиска числа в массиве
- •Вопросы и задания
- •Формализация и моделирование Моделирование как метод познания
- •Контрольные вопросы
- •Материальные и информационные модели
- •Материальные модели.
- •Информационные модели.
- •Образные модели
- •Графические информационные модели
- •Чертежи и схемы
- •График - модель процесса.
- •Знаковые информационные модели.
- •Табличные модели
- •Двоичные матрицы
- •Контрольные вопросы
- •Задания для самостоятельного выполнения
- •Информационное моделирование на компьютере Основное преимущество компьютера перед человеком
- •Для чего нужны математические модели
- •Компьютерная математическая модель
- •Что такое вычислительный эксперимент
- •Управление на основе моделей
- •Имитационное моделирование
- •Вопросы и задания
- •Формализация и визуализация моделей
- •Контрольные вопросы
- •Задания для самостоятельного выполнения
- •Основные этапы разработки и исследования моделей на компьютере
- •Контрольные вопросы
- •Хранение, поиск и сортировка информации Базы данных и системы управления базами данных
- •Контрольные вопросы
- •Задания для самостоятельного выполнения
- •Сортировка в базах данных
- •Контрольные вопросы
- •Задания для самостоятельного выполнения
- •Поиск в базах данных
- •Контрольные вопросы
- •Задания для самостоятельного выполнения
- •Коммуникационные технологии Передача информации
- •Контрольные вопросы
- •Задания для самостоятельного выполнения
- •Локальные компьютерные сети
- •Контрольные вопросы
- •Адресация в Интернете
- •Контрольные вопросы
- •Задания для самостоятельного выполнения
- •Маршрутизация и транспортировка данных по компьютерным сетям
- •Контрольные вопросы
- •Информационные ресурсы Интернета Всемирная паутина
- •Контрольные вопросы
- •Задания для самостоятельного выполнения
- •Электронная почта
- •Контрольные вопросы
- •Задания для самостоятельного выполнения
- •Файловые архивы
- •Контрольные вопросы
- •Задания для самостоятельного выполнения
- •Общение в Интернете
- •Контрольные вопросы
- •Мобильный Интернет
- •Контрольные вопросы
- •Звук и видео в Интернете
- •Контрольные вопросы
- •Поиск информации в Интернете
- •Способы поиска в Интернете Три способа поиска в Интернете
- •Поисковые серверы
- •Язык запросов поисковой системы
- •Контрольные вопросы
- •Задания для самостоятельного выполнения
- •Электронная коммерция в Интернете
- •Контрольные вопросы
- •Разработка Web-сайтов с использованием языка разметки гипертекста html
- •Контрольные вопросы
- •Структура Web-страницы
- •Контрольные вопросы
- •Задания для самостоятельного выполнения
- •Форматирование текста на Web-странице
- •Контрольные вопросы
- •Задания для самостоятельного выполнения
- •Вставка изображений в Web-страницы
- •Контрольные вопросы
- •Задания для самостоятельного выполнения
- •Гиперссылки на Web-страницах
- •Контрольные вопросы
- •Задания для самостоятельного выполнения
- •Списки на Web-страницах
- •Контрольные вопросы
- •Задания для самостоятельного выполнения
- •Информатизация общества Информационное общество
- •Контрольные вопросы
- •Задания для самостоятельного выполнения
- •Информационная культура
- •Контрольные вопросы
- •Правовая охрана программ и данных. Защита информации Правовая охрана информации
- •Контрольные вопросы
- •Лицензионные, условно бесплатные и свободно распространяемые программы
- •Контрольные вопросы
- •Защита информации
- •Контрольные вопросы
Двоичные матрицы
В математике прямоугольная таблица, составленная из чисел, называется матрицей. Если матрица содержит только нули и единицы, то она называется двоичной матрицей. Числовая часть таблицы 4.4 представляет собой двоичную матрицу.
Таблица 4.5 также содержит двоичную матрицу.
Таблица 4.5. Факультативы |
||||||||||||||||||||
|
В ней приведены сведения о посещении четырьмя учениками трех факультативов. Вам уже должно быть понятно, что единица обозначает посещение, ноль - непосещение. Из этой таблицы следует, например, что Русанов посещает геологию и танцы, Семенов - геологию и цветоводство и т. д.
В таблицах, представляющих собой двоичные матрицы, отражается качественный характер связи между объектами (есть дорога - нет дороги; посещает - не посещает и т. п.). Таблица 4.3 содержит количественные характеристики успеваемости учеников по предметам, выраженные оценками пятибалльной системы.
Мы рассмотрели только два типа таблиц: "объект-свойство" и "объект-объект". На практике используются и другие, гораздо более сложные таблицы.
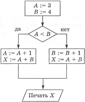
При построении некоторых типов информационных моделей одновременно используются система графических элементов и знаковая система. Так, в блок-схемах алгоритмов используются различные геометрические фигуры для обозначения элементов алгоритма и формальный алгоритмический язык для записи инструкций программы (рис. 4.10).
Важную роль играют информационные модели, которые отображают иерархические системы. В биологии весь животный мир рассматривается как иерархическая система (тип, класс, отряд, семейство, род, вид), в информатике используется иерархическая файловая система и т. д.
|
Рис. 4.10. Информационная модель - блок-схема алгоритма |
В иерархической информационной модели объекты распределяются по уровням, от первого (верхнего) уровня до нижнего (последнего) уровня. На первом уровне может располагаться только один элемент. Основное отношение между уровнями состоит в том, что элемент более высокого уровня может состоять из нескольких элементов нижнего уровня, при этом каждый элемент нижнего уровня может входить в состав только одного элемента верхнего уровня.
Удобным способом наглядного представления иерархических информационных моделей являются графы. Элементы иерархической модели отображаются в графе овалами (вершинами графа).
Элементы каждого уровня, кроме последнего, находятся в отношении "состоять из" к элементам более низкого уровня. Такая связь между элементами отображается в форме дуги графа (направленной линии в форме стрелки).
Графы, имеющие одну вершину верхнего уровня, напоминают деревья, которые растут сверху вниз, поэтому называются деревьями. Дуги дерева могут связывать объекты только соседних иерархических уровней, причем каждый объект нижнего уровня может быть связан дугой только с одним объектом верхнего уровня.
Для описания исторического процесса смены поколений семьи используются информационные модели в форме генеалогического дерева. В качестве примера можно рассмотреть фрагмент (X-XI века) генеалогического дерева династии Рюриковичей (рис. 4.11).
|
Рис. 4.11. Информационная модель - генеалогическое дерево Рюриковичей (X-XI века) |
