 
        
        - •Введение
- •Механизм и принципы функционирвания сети стандарта ieee 802.16
- •Развитие WiMax в России
- •Вопросы частотного распределения для систем WiMax
- •1.2. Техническая характеристика стандарта ieee802.16
- •Канальные скорости передачи для WirelessMan-sc
- •1.3. Ключевые технологи стандарта
- •1.4. Принципы построения сети WiMax
- •Рекомендации по построению бс
- •Ретрансляционная станция (рс)
- •Ретрансляционная станция
- •Абонентская станция (ас)
- •Система управления сетью
- •Особенности и преимущества
- •Возможности
- •1.5. Описание радиомаршрутизатора r5000
- •1.6. Функционирование сети WiMax
- •Теоритические основы передачи сигналов в беспроводных системах WiMax
- •Передача сигнала в пределах прямой видимости
- •2.1.1. Потери в свободном пространстве
- •2.1.2. Влияние окружающего пространства
- •2.1.3. Влияние эффекта Доплера
- •2.1.4. Влияние шумов
- •2.2. Передача сигнала в условиях многолучевого распространения
- •2.3. Методы снижения влияния интерференционных помех
- •2.4. Технологии расширения спектра и методы модуляции
- •2.4.1. Определение понятия "ширина спектра"
- •2.4.2. Метод прямого расширения спектра
- •2.4.3. Ортогональное частотное разделение со многими поднесущими (ofdm)
- •2.4.4. Примеры реализации bpsk, qpsk и qam видов модуляции
- •2.5. Использование лицензированных и нелицензированных частотных полос
- •2.5.1. Лицензируемые полосы частот
- •2.5.2. Нелицензируемые полосы частот
- •3. Многоантенные технологии в беспроводных системах связи
- •3.1. Многоантенные системы с одним пространственным каналом
- •3.1.1. Пространственно-временное блочное кодирование
- •3.1.2. Иные методы использования разнесения антенн
- •3.2. Многоантенные системы с несколькими пространственными каналами без адаптации в передатчике
- •3.2.1. Принципы построения mimo-системы связи
- •3.2.2. Пропускная способность mimo – систем
- •3.2.3. Алгоритм blast - пространственного декодирования
- •3.3.5. Адаптивная модуляция и адаптивное кодирование в многоантенных системах
- •3.3. Некоторые вопросы многоантенной техники
- •Заключение
- •Библиографический список (гост 7.1-2003)
- •Оглавление
- •394026 Воронеж, Московский просп., 14
3.2.3. Алгоритм blast - пространственного декодирования
В этом разделе описан разработанный лабораторией Bell - Labs для многоантенной техники алгоритм BLAST (Bell Laborotories Layered Space-Time). Алгоритм имеет следующие модификации: D - BLAST и V - BLAST. Алгоритм D - BLAST позволяет, в принципе, получать более высокие скорости передачи информации, но более сложен в реализации. Так как потери в скорости при переходе от D - BLAST к более простому алгоритму V - BLAST невелики, то второму алгоритму отдается предпочтение. Изложение и обоснование алгоритма можно найти в работах [4, 21, 6, 5]. Краткое изложение алгоритма, которого мы будем придерживаться, можно найти в [2].
До изложения алгоритма поясним некоторые предположения и обозначения. Полагаем, что вектор принятых сигналов на выходе приемника связан с вектором излучаемых символов равенством:
 (3.12)
                                    (3.12)
Здесь
I
- дискретное время; 
 - вектор размерности 
;
- вектор размерности 
;
 - вектор размерности
- вектор размерности
 ;
;
 - 
-мерный
вектор шума; Н — матрица канала размерности
.
- 
-мерный
вектор шума; Н — матрица канала размерности
.
В дальнейшем считается, что элементы матрицы канала не зависят от частоты, канал имеет плоскую частотную характеристику. Для всей используемой в WiMAX-системах полосы это предположение несправедливо. Однако при использовании OFDM это предположение справедливо для окрестности каждой поднесущей частоты. Полагается, что соотношение (3.12) и последующие формулы, используются на каждой поднесущей частоте и для каждой из них измерена и известна матрица Н.
Вектор в (3.12) - это независимых компонентов шума, то есть, соответствующая ему ковариационная матрица имеет вид:
 
Здесь
 - это дисперсия шума. Полагаем, что
передача информации идет 
независимыми
потоками, общая мощность между которыми
распределена равномерно. Поскольку
информационные потоки, которые также
случайны, являются не связанными между
собой, то ковариационная матрица вектора
и имеет вид:
- это дисперсия шума. Полагаем, что
передача информации идет 
независимыми
потоками, общая мощность между которыми
распределена равномерно. Поскольку
информационные потоки, которые также
случайны, являются не связанными между
собой, то ковариационная матрица вектора
и имеет вид:
 
где
 - это средняя мощность сигнала, излучаемого
одной антенной. Она связана с общей
мощностью равенством:
- это средняя мощность сигнала, излучаемого
одной антенной. Она связана с общей
мощностью равенством:
 
Заметим,
что SNR
в формулах этой главы — это отношение
средней мощности 
 дисперсии
шума:
дисперсии
шума:
 
Введем
вектор ошибки 
 ,
определяемый разностью между переданным
вектором данных и его оценкой:
,
определяемый разностью между переданным
вектором данных и его оценкой:
 
Задача минимизации среднего квадрата ошибки приводит к следующему решению. Для получения оптимальной оценки выходной вектор следует пропустить через фильтр (MMSE - фильтр), определяемый матрицей G:
 (3.13)
                               (3.13)
Здесь - действительный параметр регуляризации, равный:
 (3.14)
                                       (3.14)
Вместо выражения (2.13) можно пользоваться иным, более компактным выражением:
 (3.15)
                                       (3.15)
Выражение
(3.15), называемое псевдоинверсией,
отличается от (3.13) отсутствием
регуляризирующей диагональной матрицы
 .
Отсутствие
регуляризации приводит к увеличению
шумов, особенно если матрица 
является плохо обусловленной. Поэтому
использование (3.13) с ненулевым значением
а предпочтительнее, чем (3.15), даже
если дисперсия шума 
точно неизвестна.
.
Отсутствие
регуляризации приводит к увеличению
шумов, особенно если матрица 
является плохо обусловленной. Поэтому
использование (3.13) с ненулевым значением
а предпочтительнее, чем (3.15), даже
если дисперсия шума 
точно неизвестна.
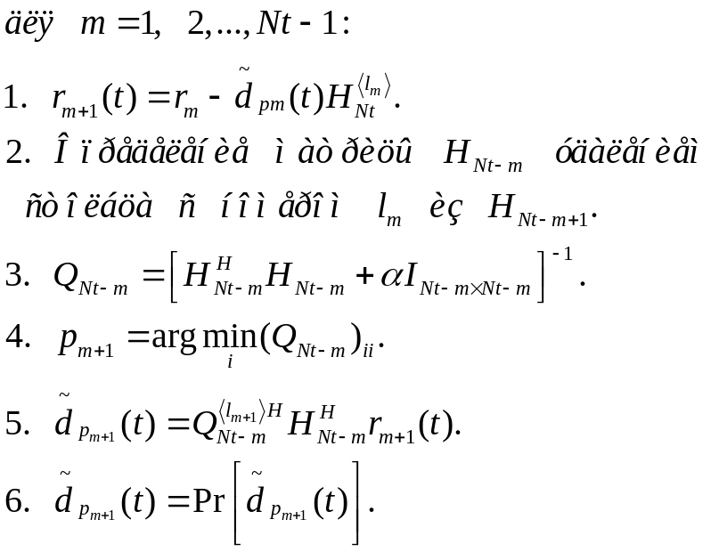
В V – BLAST - алгоритме детектирование переданных символов (оценка вектора ) выполняется за итераций. Порядок, в котором извлекаются символы (компоненты вектора ), существенно влияет на характеристики системы.
На каждой итерации выполняются три шага.
Шаг 1. Подсчет оценки вектора с использованием MMSE-фильтра (3.13) или псевдоинверсии (3.15)
 (3.16)
                                              (3.16)
Шаг
2. Оценка того
символа вектора 
,
для которого
значение SNR
является наибольшим. Номер этого
элемента определяется номером наименьшего
диагонального элемента матрицы Q
(3.13) при использовании MMSE
- фильтра или номером столбца с наименьшей
нормой при псевдоинверсии (3.15). Обозначим
этот номер 
 и найдем оценку символа
и найдем оценку символа 
 :
:
 (3.17)
                                          (3.17)
В
(3.17) через 
 обозначена операция выбора сигнала,
который наиболее близок к
обозначена операция выбора сигнала,
который наиболее близок к 
 ,
в используемой сигнально-кодовой
конструкции
,
в используемой сигнально-кодовой
конструкции
Шаг 3. Модификация вектора и матрицы канала Н. Из вектора удаляется результат воздействия символа :
 
Здесь
через 
 обозначен столбец с номером 
матрицы Н.
Матрица канала Н
модифицируется удалением из нее столбца
с номером 
.
обозначен столбец с номером 
матрицы Н.
Матрица канала Н
модифицируется удалением из нее столбца
с номером 
.
Шаги
1—3 повторяются 
раз и вычисляются
компоненты 
 Более кратко и строго алгоритм V
- BLAST
приведен далее.
Более кратко и строго алгоритм V
- BLAST
приведен далее.
Инициализация: 
Рекурсия:
 
Результат вычислений:
Оценки
излучённых сигналов: 
 
В литературе [4] приводятся не только результаты теоретических расчетов и моделирования, но результаты экспериментов, подтверждающие работоспособность алгоритма V - BLAST и высокую спектральную эффективность MIMO - техники.
3.2.4. Неадаптивная многоантенная техника с числом передающих антенн большим, чем число приемных (MIMO + STBC)
Приведенный в предыдущем разделе алгоритм BLAST применим в том случае, если число передающих антенн не превышает число приемных. Только в
- система из разд. 3.2.4, сочетающая МГМО- и STBC-техники; 
- идеальная адаптивная система с точным знанием канала в передатчике. 
Как видно из рис. 3.10, адаптивный выбор наилучшей пары из четырех передающих антенн дает несколько лучшие характеристики, чем сочетание MIMO и STBC. Подчеркнем, что это улучшение достигается за счет введения обратной связи от приемника к передатчику. Количественные значения результатов сравнения удобно наблюдать на рис. 3.11. Из него видно, что система 4x2 с выбором проигрывает идеальной адаптивной 2 дБ, a MIMO+STBC проигрывает ей около 3 дБ.
 
Рис 3.10. Зависимость пропускной способности
от SNR для 4x2 MIMO-систем
 
Рис. 3.11. Сравнение пропускной способности 4x2 MIMO-систем при различных способах передачи.
