- •Теплопроводность
- •1. Основные определения
- •3. Условия однозначности
- •4. Теплопроводность при стационарном режиме
- •4.1. Теплопроводность плоской стенки
- •4.3. Критический диаметр цилиндрической стенки
- •4.4. Передача тепла через шаровую стенку
- •4.5. Теплопроводность стержня постоянного поперечного сечения
- •4.7. Теплопередача через ребристую плоскую стенку
- •4.8. Круглое ребро постоянной толщины
- •4.9. Теплопроводность пластины с внутренними источниками тепла
- •4.10. Теплопроводность цилиндра с внутренними источниками тепла
- •Нестационарная теплопроводность
- •Бесконечная пластина с граничными условиями третьего рода
- •1) Случай, когда (практически )
- •3). Критерий Bi находится в пределах
- •5.2. Бесконечно длинный цилиндр
- •5.3. Нестационарная теплопроводность тел конечных размеров
- •Параллелепипед с граничными условиями третьего рода
- •5.4. Регулярный режим охлаждения (нагревания) тел
4.1. Теплопроводность плоской стенки
Рассмотрим плоскую стенку, высота и ширина которой значительно больше её толщины. В этом случае такую стенку можно считать бесконечной (рис. 5). Тепло будет передаваться только в одном направлении – вдоль оси х. Если считать, что теплопроводность стенки величина постоянная, то уравнение теплопроводности в
Рис.5. Плоская стенка |
этом случае можно записать в виде
Решение (4.1) имеет вид
где С1 и С2 – постоянные. Для их определения нужно задать два граничных условия. а) граничные условия первого рода
при х=0
при
|
Получим два уравнения для определения С1 и С2
и
,
из которых найдём
и
.
Таким образом,
. (4.2)
Количество тепла, проходящего через стенку, определим по закону Фурье.
. (4.3)
Разность температур
называется
температурным напором, а
– термическим сопротивлением
теплопроводности плоской стенки,
м2град/Вт.
Из формулы (4.2) следует, что распределение температуры в плоской стенке представляет собой прямую линию, а из (4.3) следует, что плотность теплового потока через плоскую стенку не зависит от координаты х.
Рассмотрим
теплопроводность многослойной плоской
стенки, состоящей из n
слоёв различной толщины
из разных материалов с разной
теплопроводностью
.
При стационарном тепловом режиме
тепловой поток одинаков в каждом слое.
Рис.6. Многослойная плоская стенка |
…………………
Из этих уравнений найдём температурные напоры в каждом слое. |
;
;
……………….
.
Сложив уравнения, получим
.
откуда
.
б) граничные условия третьего рода
Рис. 7. Граничные условия третьего рода |
Передача тепла
от одной жидкости к другой через
разделяющую их стенку называется
теплопередачей. Расчётная схема
приведена на рис.7. С одной стороны
стенки находится жидкость с температурой
|
щими от температуры. В соответствии с формулой Ньютона тепловой поток между жидкостью и левой стороной стенки определяется как
. (а)
В стационарных условиях этот же тепловой поток пройдёт через стенку и передастся к другой жидкости.
; (б)
. (в)
Найдём из (а) – (в) разности температур, сложим получившиеся выражения и найдём q.
. (4.4)
Обозначим
.
Тогда (4.4) можно переписать в виде
.
Величина k называется коэффициентом теплопередачи и имеет ту же размерность, как и коэффициент теплоотдачи, Вт/м2К. Величина обратная k называется полным термическим сопротивлением теплопередачи
,
а отношение
называется термическим сопротивлением
теплоотдачи.
Общее термическое сопротивление равно сумме частных сопротивлений, поэтому для многослойной стенки полное термическое сопротивление можно записать в виде
и плотность теплового потока в случае многослойной стенки запишем в виде
.
Температуры на
поверхностях стенки
и
найдём из (а) и (в)
;
.
Температура на границе слоёв i и i+1 можно найти следующим образом
.
4.2. Теплопроводность цилиндрической стенки
Рис.8. Расчётная схема |
Перенос тепла в
цилиндре описывается уравнением
теплопроводности в цилиндрических
координатах – r,
,
z
(см. рис.8).
. (4.5)
Если коэффициент теплопроводности не зависит от температуры и при отсутствии источников внутреннего тепловыделения уравнение (4.5) можно упростить.
.
Если цилиндр
находится в среде, температура которой
по окружности цилиндра постоянна, то
вдоль координаты
переноса тепла не будет, поскольку в
этом направлении
.
Если длина цилиндра стремится к
бесконечности, то перенос тепла вдоль
оси z
также равен нулю. В таком цилиндре
изотермические поверхности будут
представлять соосные цилиндры (см.
рис.8) и перенос тепла будет происходить
только в направлении радиуса r.
В стационарном тепловом режиме температура
не зависит от времени и будет изменяться
только по радиусу цилиндра. В результате
уравнение примет вид
. (4.6)
Рассмотрим процесс
переноса тепла в цилиндрической стенке
(трубе) с внутренним диаметром
и наружным диаметром
(см. рис.9). Обозначим
.
Уравнение примет вид
. (4.7)
Интегрируя (4.7) получим
или
и
.
Заменяя u
на dt/dr
получим
.
После интегрирования найдём
.
Для определения постоянных С1 и С2 необходимо задать граничные условия.
а) граничные условия первого рода
Рис.9. Теплопроводность цилиндрической стенки |
В этом случае
при r=R1
Отсюда
Таким образом, решение данной задачи имеет вид
|
или
. (4.8)
Как следует из (4.8), распределение температуры внутри цилиндрической стенки представляет собой логарифмическую кривую. Найдём плотность теплового потока.
,
Вт/м2.
Таким образом, для
цилиндрической стенки плотность
теплового потока через любую изотермическую
поверхность зависит от радиуса (диаметра).
Тепловой поток через цилиндрическую
поверхность
равен
,
Вт.
Для единицы длины изотермической поверхности
,
Вт/м.
Тепловой поток,
отнесённый к единице длины поверхности,
называется линейной плотностью теплового
потока –
.
Таким образом,
,
где
и
плотности теплового потока на поверхностях
диаметра
и
.
Отсюда следует связь между линейной
плотностью теплового потока и плотностями
теплового потока.
;
.
Величина
,
мК/Вт называется линейным термическим
сопротивлением теплопроводности
цилиндрической стенки. В случае
многослойной цилиндри-
Рис.10. Многослойная цилиндрическая стенка |
ческой стенки (рис.10) линейное термическое сопротивление равно сумме термических сопротивлений слоёв и линейная плотность теплового потока равна
Температура на границе любого слоя есть
|
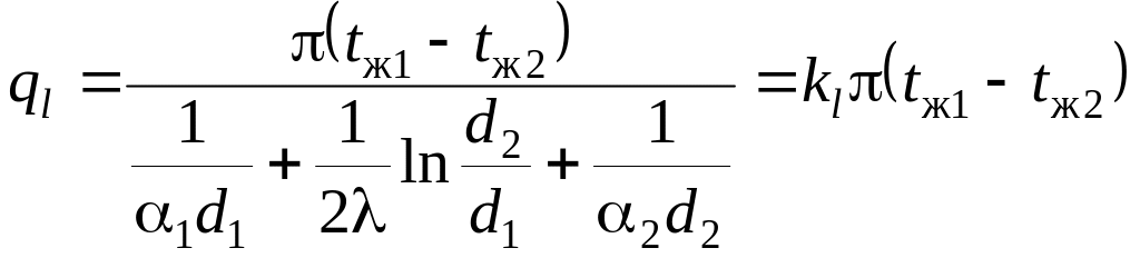
б) граничные условия третьего рода
Рис.11. цилиндрическая стенка |
Будем считать, что цилиндр бесконечно длинный, поэтому можно пренебречь потерями тепла с торцов. Температуры жидкостей внутри и снаружи трубы, а также коэффициенты теплоотдачи постоянны. В таком случае тепло будет передаваться только по радиусу. В стационарном случае количество тепла, переданное от одной жидкости к стенке равно количеству тепла переносимо- |
го теплопроводностью через стенку и равно количеству тепла, воспринятому другой жидкостью. Для единицы длины поверхности можно записать
(4.9)
Выразим из (4.9) разности температур и сложим получившиеся уравнения.
и определим
,
где
называется линейным коэффициентом
теплопередачи
.
Величина
называется линейным термическим
сопротивлением теплоотдачи. Для
многослойной цилиндрической стенки
.

;
.
.
.
.