- •Передмова
- •І програма -питання
- •1 Статика твердого тіла
- •2 Кінематика
- •3 Динаміка
- •2 Методичні вказівки щодо вивчення теоретичного матеріалу
- •3 Знання та вміння, що необхідні для розв’язання більшості задач
- •3.1. В’язі, реакції в’язей
- •3.2. Проекція сили на вісь
- •3.3. Момент сили відносно точки
- •Рекомендація
- •3.4. Момент сили відносно осі
- •3.5. Пара сил та її момент
- •4 Загальні методичні вказівки до р08в’язання задач з кожного розділу курсу
- •4.1 Алгоритм розв’язання задач на рівновагу:
- •4.2 Алгоритм розв’язання задач кінематики:
- •4.2.1. Виділити матеріальний об’єкт (точку, тверде тіло), кінематичні характеристики руху якого необхідно визначити.
- •4.2.2. Встановити рух, який здійснює виділений матеріальний об’єкт. При цьому необхідно пам’ятати що:
- •4.2.3. Ще раз повторити теоретичний матеріал відповідно даної теми (руху), виписавши й застосувавши формули, за долом гою яких по заданим величинам визначаються шукані кінематичні характеристики руху.
- •1. Пряма задача (перша задача динаміки). За відомими кінематичними характеристиками руху матеріального об’єкту визначаються сили, що діють на цей об’єкт.
- •4.3. Алгоритм розв’язання задач динаміки:
- •5 Kоhкpethi методичні вказівки до розв’язань задач
- •5.1. Задача с1
- •5.1.3. Теорему про три сили.
- •5.1.4. Геометричну умову рівноваги системи збіжних сил. Для рівноваги системи збіжних сил необхідно й достатньо, щоб векторний (силовий) багатокутник, побудований із сил, був замкнутим.
- •5.2. Задача с2
- •5.3. Задача с3.
- •5.4.2. Рівняння рівноваги плоскої системи сил - рівн. 5.6, 5.7, 5.8.
- •5.5 Задача с5
- •5.6. Задача с6
- •5.7. Задача с7
- •5.7.2. Спосіб розбиття.
- •5.7.3. Спосіб від’ємних площ.
- •5.8. Задача с8
- •5.9. Задача к1
- •5.10. Задача к2
- •5.11. Задача к3
- •5.12. Задача к4
- •5.13. Задача к5
- •5.14. Задача к6
- •5.15. Задача к7
- •5.16. Задача д1
- •5.17. Задача д2
- •5.18. Задача д3
- •5.19 Задача д4
- •5.20. Задача д5
- •5.21. Задача д6
- •5.22. Задача д7
- •5.23. Задача д8
- •5.24. Задача д9
- •5.25. Задача д10
- •5.26. Задача д11
- •5.27. Задача д12
- •5.28. Задача д13
- •5.29. Задача д14
- •5.30. Задача д15
- •5.31. Задача д16
- •6 Вибір варіантів контрольних завдань. Вимоги, що ставляться до виконання робіт та контрольні завдання
- •Задача с1
- •Задача с2
- •Задача с3
- •Задача с4
- •Задача с5
- •Задача с 6-1
- •Задача с 6-2
- •Задача с7
- •Задача с8
- •Задача к1
- •Задача к2
- •Задача к3
- •Задача к4
- •Задача к5
- •Задача к6
- •Задача к7
- •Задача д1
- •Задача д2
- •Задача д3
- •Задача д4
- •Задача д5
- •Задача д6
- •Задача д7
- •Задача д8
- •Задача д9
- •Задача д10
- •Задача д11
- •Задача д12
- •7 Перелік типових задач
- •Література
- •Взірець виконання розрахункової роботи
- •1.1 Визначення напряму руху механізму
- •1.2 Кінематичний розрахунок
- •1.3 Визначення прискорення вантажу методом складання диференціальних рівнянь руху кожної ланки механізму
- •1.4 Визначення прискорення вантажу за теоремою про зміну моменту кількості руху механічної системи
- •1.5 Визначення прискорення вантажу по теоремі про зміну кінетичної енергії системи
- •1.6 Визначення прискорення вантажу за загальним рівнянням динаміки
- •1.7 Визначення прискорення вантажу за рівнянням Лагранжа іі роду
- •1.8 Числовий розрахунок прискорення вантажу
- •1.9 Визначення швидкості вантажу з механізму
- •1.10 Визначення натягу нитки
1.4 Визначення прискорення вантажу за теоремою про зміну моменту кількості руху механічної системи
Зміна кінематичного моменту системи відносно осі виражається рівнянням
,
(1.21)
де
– кінетичний момент системи відносно
осі;
– головний момент всіх зовнішніх сил,
які діють на систему відносно тої ж осі.
Для вирішення задачі даним методом необхідно:
1. Знайти кінетичний момент системи відносно осей обертання, як суму моментів кількості руху тіл, які входять в цю систему відносно даної осі.
2. Прикласти всі зовнішні сили, діючі на систему.
3. Знайти суму моментів всіх зовнішніх сил відносно осі обертання, яка розглядається.
4. Отримані результати підставити в рівняння (1.21) і розв’язати це рівняння.
Перейдемо до розв’язку задачі.
1. Спочатку розглянемо
систему тіл (вантаж 3 і шків 5, рис. 1.5) які
рухаються відносно осі
.
Кінетичний момент цієї системи відносно
осі
знайдемо як суму моментів кількості
руху вантажу і шківа 5
.
(1.22)
Рисунок 1.5
Момент кількості руху вантажу 3 відносно осі
,
(1.23)
де – швидкість вантажу 3.
Момент кількості руху ланки 5 відносно осі
,
(1.24)
де
– момент інерції ланки 5 відносно осі
;
– кутова швидкість ланки 5.
Враховуючи (1.23) і (1.24) вираз (1.22) приймає вигляд
.
(1.25)
Прикладемо всі зовнішні силові фактори, діючі на цю систему (рис. 1.5).
Це будуть
– сили ваги ланок;
–
сили тертя вантажу
в похилу площину;
– нормальна реакція похилої площини;
– реакція підшипника
ланки 5;
– сила натягу
нитки, яка з’єднує шків 5 і каток 1;
– задана змінна сила, діюча на ланку 3.
Знаходимо суму моментів всіх цих сил відносно осі .
Отримаємо
.(1.26)
Примітка.
Моменту приписуємо знак “+”, якщо він напрямлений в сторону обертання ланки 5, і знак “-”, якщо він напрямлений в протилежну сторону.
Підставляючи (1.26) і (1.25) в рівняння (1.21), попередньо врахувавши співвідношення (1.6)
,
(1.27)
отримаємо
.
(1.28)
Звідки
. (1.29)
2. Розглянемо ланки
4 і 2 (рис. 1.6), які рухаються відносно осі
.
Кінетичний момент цієї системи відносно
осі
знайдемо як суму моментів кількості
руху вантажу 4 і шківа 2
.
(1.30)
Рисунок 1.6
Момент кількості руху вантажу 4 відносно осі
,
(1.31)
де
– швидкість ланки 4.
Момент кількості руху шківа 2 відносно осі
,
(1.32)
де
– момент інерції ланки 2 відносно осі
;
– кутова швидкість ланки 2.
Враховуючи (1.31) і (1.32) вираз (1.30) буде мати вигляд
,
(1.33)
де на основі (1.6)
.
(1.34)
Прикладемо всі зовнішні силові фактори, які діють на ланки 4 і 2 (рис. 1.6):
– сили ваги ланок
4 і 2;
– сила тертя
вантажу 4 по похилій площині;
– реакція підшипника
ланки 2;
– сила натягу
нитки, яка з’єднує
шків 2 і каток 1.
Знаходимо суму моментів всіх цих сил відносно осі .Отримаємо
.
(1.35)
Підставимо (1.35) і (1.33), враховуючи (1.34) в (1.21), отримаємо
.
(1.36)
Звідки
. (1.37)
3. Розглянемо каток 1, який здійснює плоскопаралельний рух (рис. 1.7).
Рисунок 1.7
В нашому випадку
каток 1 поступально рухається по
горизонтальній площині з швидкістю
і обертається навколо миттєвої осі
з кутовою швидкістю
.
Кінетичний момент ланки 1 відносно миттєвої осі обертання знаходимо як суму моментів кількості руху в поступальному і обертальному його рухах.
.
(1.38)
Момент кількості руху катка 1 відносно осі в поступальному русі
.
(1.39)
Момент кількості руху відносно осі в його обертальному русі
,
(1.40)
де
– момент інерції катка відносно осі
,
яка проходить через центр мас
.
Підставляючи (1.39) і (1.40) в (1.38) отримаємо
,
(1.41)
де на основі (1.6), маємо:
.
(1.42)
Прикладемо всі зовнішні силові фактори, діючі на ланку 1
– сила ваги катка;
– сили натягу
ниток, які з’єднують
каток 1 з шківами 5 і 2;
– момент тертя
кочення;
– сила щеплення катка з площиною.
Знаходимо суму моментів всіх цих силових факторів відносно миттєвої осі обертання .
Отримаємо
.
(1.43)
Підставимо (1.43) і (1.41), враховуючи (1.42) в (1.21), отримаємо
.
(1.44)
Звідки
.
(1.45)
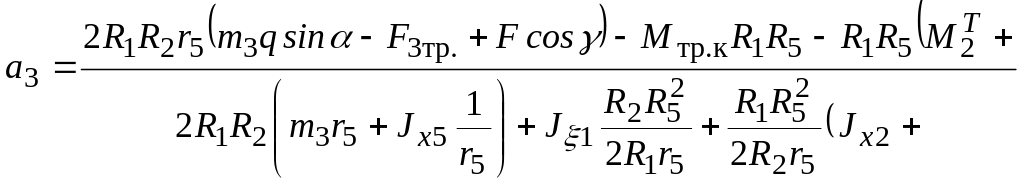
4. Розв’язуючи
систему рівнянь (1.29), (1.37) і (1.45) і враховуючи,
що
і
,
отримаємо
(1.46)
що відповідає виразу, отриманому раніше.
