- •1. Системы массового обслуживания
- •1.1. Основные понятия смо
- •Классификация смо
- •Характеристики смо
- •Связи между основными характеристиками (формулы Литтла)
- •1.2. Потоки заявок
- •1.2.1. Простейший (пуассоновский) поток
- •1.2.2. Потоки Эрланга
- •Аппроксимация произвольного потока заявок потоком Эрланга
- •1.2.3. Верификация потоков заявок
- •Критерий Пирсона
- •Критерий Колмогорова
- •Расчеты для проверки гипотезы по критерию Колмогорова
- •1.3. Марковские процессы
- •1.3.1. Марковские процессы с дискретными состояниями и дискретным временем перехода
- •1.3.2. Марковские процессы с дискретными состояниями и непрерывным временем перехода
- •1.3.3. Процессы гибели и размножения
- •1.4. Пуассоновские смо
- •1.4.1. Одноканальные пуассоновские смо
- •1.4.2. Многоканальные пуассоновские смо
- •1.4.3. Смо с взаимопомощью каналов
- •Смо без очереди
- •С мо с неограниченной очередью
- •Смо с ограниченной очередью
- •1.4.4. Смо самообслуживания
- •1.4.5. Замкнутые смо
- •Одноканальные замкнутые смо
- •Многоканальные замкнутые смо
- •1.4.6. Многофазные смо
- •Многофазные смо без потерь
- •Многофазные смо без очереди
- •1.5. Пуассоновские сети смо
- •1.5.1. Ациклические сети смо
- •1.5.2. Циклические сети смо
- •1.6. Непуассоновские смо
- •1.6.1. Анализ непуассоновских смо методом Эрланга
- •1.6.2. Анализ непуассоновских смо методом вложенных цепей Маркова
- •1.7. Смо с приоритетами
- •1.7.1. Одноканальные смо с приоритетами
- •1.7.2. Многоканальные смо с приоритетами
- •1.8. Оптимизация параметров смо
- •Задача оптимальной интенсивности обслуживания в одноканальной смо с бесконечной очередью
- •Задача оптимальной интенсивности в одноканальной смо без очереди
- •Задачи оптимизации параметров многоканальной смо
- •Задачи оптимизации смо по нескольким параметрам
1.4.1. Одноканальные пуассоновские смо
СМО без очереди
(N=0). Используем
теорию процессов гибели и размножения
для определения вероятностей
(рис.
1.9).
;
.
Вероятность отказа заявки в обслуживании равна :
.
Среднее число заявок в системе равно:
.
(1.17)
Среднее время пребывания в СМО равно среднему времени обслуживания:
;
(1.18)
так как очереди в СМО нет, то
Эффективный поток заявок определяется по формуле:
.
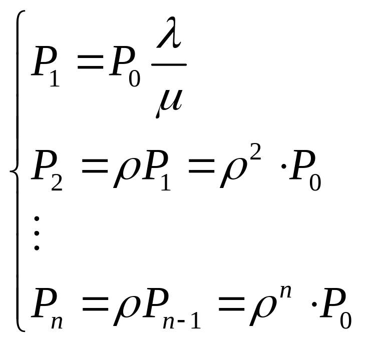
СМО с ограниченной очередью
Размеченный граф данного класса СМО представлен на рис. 1.10.
Конечное состояние
в системе определяется максимальным
числом мест в очереди плюс 1 канал
обслуживания. Введем обозначение
.
Система уравнений для нахождения
предельных вероятностей
имеет вид:
(1.19)
Учитывая, что
,
получим уравнение для определения
:
,
откуда
получим
,
где
–
любое, т.е.
на отношение
не накладывается
никаких ограничений.
Вероятности
.
Определим среднее число заявок в СМО:
.
(1.20)
Обозначим через
,
тогда
(1.21)
Подставив (1.20) в (1.21), получим:
.
(1.22)
Отметим, что вероятность отказа равна вероятности последнего состояния в размеченном графе:
;
.
Используя формулы Литтла (1.1 – 1.3), получим:
;
(1.23)
;
(1.24)
.
(1.25)
Рассмотрим частный
случай, когда
,
т.е.
.
В этом случае
:
;
.
Основные характеристики СМО определяются по следующим формулам:
СМО
с неограниченной очередью. Так
как СМО без отказов, то
,
а
.
Для получения формул расчета характеристик СМО воспользуемся формулами для СМО с ограниченной очередью.
.
(1.26)
Чтобы существовал
предел, необходимо выполнение условия
,
которое означает, что интенсивность
обслуживания должна быть больше
интенсивности потока заявок, иначе
очередь будет расти до бесконечности.
Отметим, что в СМО с бесконечной очередью
.
(1.27)
Предел (1.26) равен:
,
и тогда
;
(1.28)
;
(1.29)
.
(1.30)
Рассмотрим вопрос о функции распределения времени пребывания в одноканальной СМО с бесконечной очередью при дисциплине очереди FIFO.
В
ремя
пребывания в СМО, когда в ней находится
n
заявок (система находится в состоянии
Sn,
равно сумме длительностей обслуживания
n
заявок. Так как время обслуживания
распределено по экспоненциальному
закону, то плотность функции распределения
условной вероятности времени пребывания
в СМО, когда в ней находится n
заявок, определяется так же, как
распределение Эрланга n
порядка (см.
раздел 1.2.2)
Искомая плотность функции распределения определяется выражением:
С учетом (1.19) и
(1.27),
запишется в виде:
Видим, что
−
экспоненциальное распределение с
математическим ожиданием
,
что совпадает с (1.28).
Из того, что − экспоненциальное распределение, следует важный вывод: выходной поток заявок в одноканальной СМО с бесконечной очередью является пуассоновским потоком.
