- •Кафедра математики
- •Кафедра математики
- •Приближенные методы решения дифференциальных уравнений
- •Метод Эйлера
- •2. Метод Рунге-Кутта
- •Содержание ргр "Приближенные методы решения дифференциальных уравнений"
- •Варианты
- •Образец выполнения ргр
- •Точное решение
- •2. Приближенное решение дифференциального уравнения по методу Эйлера
- •3. Приближенное решение дифференциального уравнения по методу Рунге-Кутта
- •Литература
- •241037, Г. Брянск, пр. Станке Димитрова, 3, редакционно-издательский
Образец выполнения ргр
Задание.
Найти решение дифференциального
уравнения
с начальным условием
на отрезке
,
приняв за шаг
.
Точное решение
- линейное
уравнение.
Подстановка:
При
найдем
- точное решение
дифференциального уравнения.
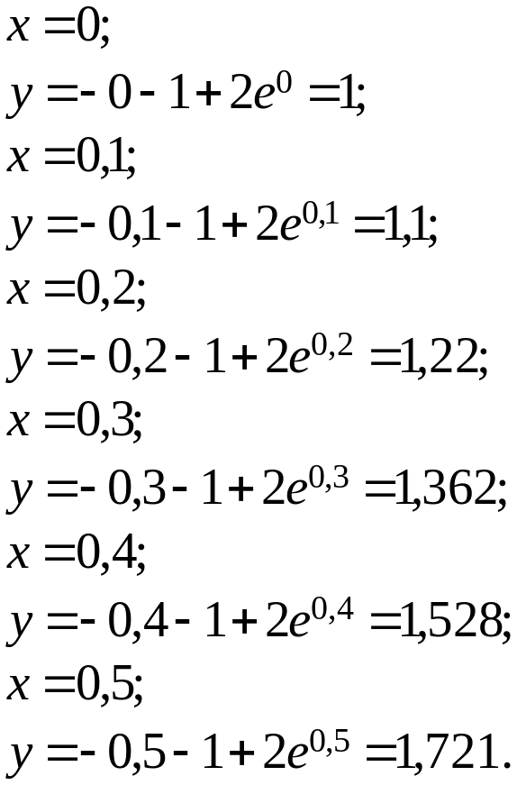
2. Приближенное решение дифференциального уравнения по методу Эйлера
Т.к.
то
|
|
|
|
|
0 |
|
|
|
|
1 |
|
|
|
|
2 |
|
|
|
|
3 |
|
|
|
|
4 |
|
|
|
|
5 |
|
|
|
|
3. Приближенное решение дифференциального уравнения по методу Рунге-Кутта
1)
Записываем в первой строке
2)
Вычисляем
тогда
3) Записываем во второй строке:
4)
Вычисляем
тогда
5)
Записываем в третьей строке
6)
Вычисляем
тогда
7)
Записываем в четвертой строке
8)
Вычисляем
тогда
9) В
столбце
записываем
10)
Вычисляем
11)
Получаем
Значения
заносим в строку, помеченную индексом
,
и снова проводим вычисления по формулам
(3).
Из двенадцатого столбца таблицы видно, что шаг выбран правильно.
Таблица сравнения методов Эйлера, Рунге-Кутта и точного решения уравнения.
x |
Метод Эйлера |
Метод Рунге-Кутта |
Точное решение |
y |
y |
y |
|
0 |
1 |
1 |
1 |
0,1 |
1,1 |
1,11034 |
1,11034 |
0,2 |
1,22 |
1,2428 |
1,2428 |
0,3 |
1,362 |
1,39971 |
1,3997 |
0,4 |
1,528 |
1,58364 |
1,58365 |
0,5 |
1,721 |
1,79743 |
1,79744 |
Вывод: анализируя полученные результаты, мы можем сказать, что самым точным из двух методов приближенного решения дифференциального уравнения явяляется метод Рунге-Кутта, метод Эйлера дает грубые ошибки. Метод Рунге-Кутта дает практически точное решение дифференциального уравнения, но требует большего объема вычислений, чем предыдущий метод.
Рисунок 1 – График сравнения методов Эйлера, Рунге-Кутта и точного решения дифференциального уравнения с начальным условием на отрезке и шагом .
Литература
1. Пискунов Н.С. Дифференциальное и интегральное исчисления для втузов. М.: «Наука», 1978. Т.2.
2. Данко П.Е., Кожевникова Т.Я. и др. «Высшая математика в упражнениях и задачах». М.: «Наука», 1980. Т.2.
3. Задачи и упражнения по математическому анализу для втузов. Под ред. Б.П. Демидовича. М.: ООО «Издательство Астрель», ООО «Издательство АСТ», 2003.
Виолетта Ивановна Тайц
Олеся Владимировна Камозина
Ирина Александровна Котова
Методические указания и задания к выполнению расчетно-графической работы по теме: «Приближенные методы решения дифференциальных уравнений»
для студентов всех направлений подготовки бакалавров очной формы обучения всех специальностей
Лицензия НД № 14185 от 6.03.2001 г.
Формат 60
94
1/16. Тираж 30 экз. Печ. л. – 1,1
Брянская государственная инженерно-технологическая академия.
