- •Предмет и задачи курса
- •Организация производственного процесса во времени и пространстве
- •Вопрос №1 Понятие производственных процессов, их структура
- •Вопрос №2 Организация производственного процесса во времени, производственный цикл и его структура
- •Вопрос №3 Расчет и анализ производственного цикла простого процесса при различных видах движения партий
- •Вопрос №4 Расчет цикла сложного производственного процесса
- •Вопрос №5 Пути сокращения продолжительности производственного цикла
- •Вопрос №6 Построение производственного процесса в пространстве
- •Вопрос №7 Технико-экономическая характеристика различных типов производства
- •Организация поточного производства
- •Вопрос №1 Понятие и основные признаки поточного производства. Классификация поточных линий
- •Вопрос №2 Расчет основных параметров непрерывных поточных линий
- •Вопрос №3 Расчет основных параметров рабочих и распределительных конвейеров
- •Вопрос №4 Особенности расчета параметров прерывных и многопредметных поточных линий
- •Вопрос №5 Эффективность поточного производства
- •Вопрос №6 Непоточные формы организации производства
- •Организация инструментального хозяйства
- •Вопрос №1 Задачи и структура инструментального хозяйства предприятия
- •Вопрос №2 Расчет потребности предприятия в инструменте
- •Вопрос №3 Пути совершенствования инструментального хозяйства
- •Организация ремонтного хозяйства предприятия (рхп)
- •Вопрос №1 Задачи и состав рхп
- •Вопрос №2 Система технического обслуживания и ремонта оборудования
- •Вопрос №3 Пути совершенствования рхп
- •Организация энергетического хозяйства (эх)
- •Вопрос №1 Задачи и состав эхп
- •Вопрос №2 Нормирование и планирование расхода и производства энергоресурсов
- •Вопрос №3 Основные мероприятия по рационализации потребления энергоресурсов
- •Транспортно-складское хозяйство предприятия (тхп)
- •Вопрос №1 Состав, значение и задачи транспортного хозяйства предприятия (тхп)
- •Вопрос №2 Организация и планирование перевозок грузов
- •Вопрос №3 Организация складского хозяйства и работа складов
- •Вопрос №4 Пути совершенствования организации транспортно-складского хозяйства
- •Организация автоматизированного производства
- •Вопрос №1 Понятие и классификация автоматических поточных линий
- •Вопрос №2 Расчет параметров автоматических поточных линий
- •Вопрос №3 Понятие гибкой производственной системы (гпс), структура гпс
- •Вопрос №4 Эффективность гибкой производственной системы
- •Система управления качеством продукции
- •Вопрос №1 Понятие качества продукции
- •Вопрос №2 Показатели и методы оценки качества продукции
- •Вопрос №3 Сертификация продукции. Система управления качеством
- •Вопрос №4 Организация контроля качества продукции
- •Вопрос №5 Классификация, учет и анализ брака
- •Организация труда на предприятии
- •Вопрос №1 Задачи и методы организации труда
- •Вопрос №2 Разделение и кооперация труда на предприятии
- •Вопрос №3 Многостаночное обслуживание рабочих мест
- •Вопрос №4 Организация обслуживания рабочих мест
- •Вопрос №5 Условия труда и рациональные режимы труда и отдыха
- •Основы нормирования труда
- •Вопрос №1 Сущность, задачи и организация нормирования труда
- •Вопрос №2 Классификация затрат рабочего времени
- •Вопрос №3 Виды норм и нормативов
- •Вопрос №4 Методы нормирования труда
- •Система сетевого планирования и управления работами по созданию новой техники
- •Вопрос №1 сспу
- •Вопрос №2 Основные элементы сетевой модели, их характеристика
- •Вопрос №3 Порядок расчета параметров сетевой модели
- •Вопрос №4 Оптимизация сетевой модели
- •Процесс создания и освоения новой техники
- •Вопрос №1 Организация научно-исследовательских работ
- •Вопрос №2 Расчет трудоемкости работ и длительности цикла процесса сот
- •Вопрос №3 Детерминированный метод планирования
- •Вопрос №4 Виды научно-исследовательских разработок
- •Вопрос №5 Конструкторская подготовка производства
- •Вопрос №6 Технологическая подготовка производства
- •Теория и практика управления
- •Вопрос №1 История развития науки управления
- •Вопрос №2 Сущность управленческой деятельности
- •Вопрос №3 Объекты, субъекты управления. Принципы управления
- •Функции и методы управления
- •Вопрос №1 Сущность и взаимосвязь функций управления
- •Вопрос №2 Содержание и классификация методов управления
Вопрос №5 Условия труда и рациональные режимы труда и отдыха
Условия труда — совокупность факторов производственной среды, оказывающей влияние на здоровье и работоспособность человека в процессе труда.
(Порядок организации рационального режима труда и отдыха см. )
Основы нормирования труда
1 Сущность, задачи и организация нормирования труда.
2 Классификация затрат рабочего времени.
3 Виды норм и нормативов.
4 Методы нормирования труда.
Вопрос №1 Сущность, задачи и организация нормирования труда
Техническое нормирование труда — процесс установления для конкретных организационно-технических условий научно обоснованных норм времени, необходимых для выполнения одной заданной работы, а также норм выработки, численности, обслуживания и управляемости.
Нормативы делятся на:
— элементарные (дифференцированные) — используются для установления норм труда в массовом и крупносерийном производстве;
— укрупненные — используются в единичном и серийном производстве на базе типовых.
По сфере применения нормативы делятся на общемашиностроительные, отраслевые, заводские, микроэлементные.
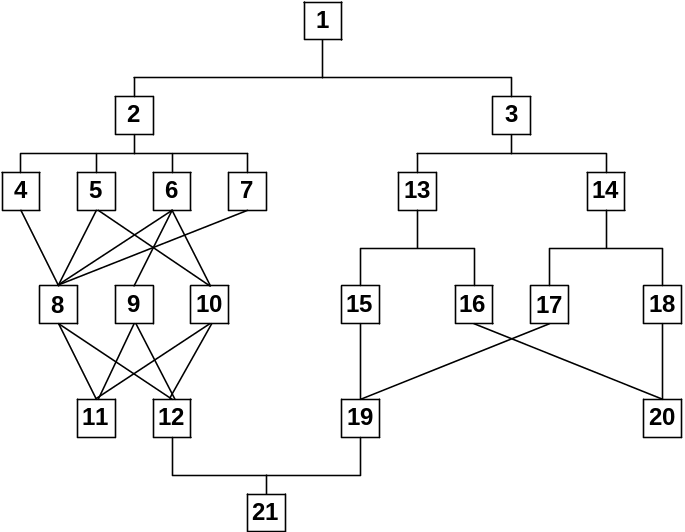
Вопрос №2 Классификация затрат рабочего времени
1 — рабочее время;
2 — время работы;
3 — время перерывов;
4 — подготовительно-заключительное время;
5 — основное технологическое время;
6 — вспомогательное время;
7 — время обслуживания рабочего места;
8 — ручное время;
9 — машинно-ручное время;
10 — машинное или машинно-автоматическое время;
11 — потери времени.
12 — необходимое время работы;
13 — перерывы, не зависящие от рабочего;
14 — перерывы, зависящие от рабочего;
15 — технологические перерывы;
16 — организационно-технические перерывы;
17 — перерывы для отдыха и личных надобностей;
18 — перерывы, допущенные рабочим;
19 — необходимое время для перерывов;
20 — потери времени;
21 — структура норм времени на операцию.
К основным способам изучения рабочего времени относятся фотография рабочего времени и хронометраж.
Вопрос №3 Виды норм и нормативов
Основными нормами труда являются:
— норма времени — количество рабочего времени, установленное для выполнения заданной операции или определенных работ в определенных организационно-технических условиях;
— норма выработки — объем работы, который должен быть выполнен в одном времени;
— норма обслуживания — количество производственных объектов, которые работник или группа с соответствующей квалификацией обязан обслужить в течение одного рабочего времени в определенных организационно-технических условиях;
— норма численности — численность работников определенного профессионально-квалификационного состава, необходимая для выполнения конкретных объемов работ, производственных или управленческих функций;
— норма управляемости — количество непосредственно подчиненных работников или подразделений, которыми можно эффективно руководить при оптимальных организационно-технических условиях.
Нормы времени и нормы выработки должны быть технически обоснованы, то есть установлены для определенных организационно-технических условий исходя из рациональных возможностей производственного оборудования рабочего места и передового опыта.
Технически обоснованная норма времени:
1 — технически обоснованная норма времени (tшт);
2 — норма штучного времени;
3 — норма подготовительно-заключительного времени;
4 — оперативное время;
5 — время обслуживания рабочего места;
6 — время, перекрываемое на отдых и личные надобности;
7 — основное время;
8 — вспомогательное не перекрываемое время;
9 — время на техническое обслуживание
10 — время, не перекрываемое на организационное обслуживание рабочего места.
