- •Введение
- •Cварка - русское изобретение
- •1. Сварочные трансформаторы
- •1.1. Электрические свойства сварочной дуги
- •1.2. Классификация источников питания
- •1.3. Требования, предъявляемые к источникам питания сварочного тока
- •1.4. Внешние вольт-амперные характеристики и основные параметры источников питания
- •1.5. Технические характеристики источников питания
- •1.6. Единая система обозначения источников питания для сварки
- •1.7. Устройство простейшего трансформатора
- •1.8. Условия устойчивого горения дуги
- •1.9. Выбор источника питания по типу внешней характеристики
- •1.10. Автоматическое регулирование длины дуги
- •1.11. Саморегулирование длины дуги
- •1.12. Настройка источников питания на режимы сварки
- •1.12.1. Грубая настройка Секционирование обмоток
- •Соединение обмоток трансформатора последовательно или параллельно
- •1.12.2. Плавная настройка Изменение расстояния между первичной и вторичной обмотками трансформатора
- •Плавная настройка трансформатора при помощи подвижного магнитного шунта
- •Настройка на режим сварки источника питания при помощи неподвижного шунта
- •Комбинированный способ регулирования
- •1.13. Многопостовые сварочные трансформаторы
- •1.14. Условия устойчивого горения дуги переменного тока
- •1.15. Трехфазная сварочная дуга
- •1.16. Параллельное включение однофазных трансформаторов
- •1.17. Балластный реостат типа рб
- •1.18. Сварочные трансформаторы с нормальными магнитными полями рассеяния
- •1.19. Сварочные трансформаторы с увеличенными магнитными полями рассеяния
- •2. Сварочные однопостовые выпрямители
- •2.1. Общие сведения о сварочных выпрямителях
- •2.2. Основные элементы выпрямителей для дуговой сварки и их назначение
- •2.3. Краткие сведения о полупроводниковых вентилях
- •2.4. Принцип работы полупроводника
- •2.5. Схемы выпрямления
- •2.5.1. Мостовая схема выпрямления
- •2.5.2. Шестифазная схема выпрямления с уравнительным дросселем
- •2.5.3. Шестифазная кольцевая схема выпрямления
- •2.5.4. Однофазная мостовая схема выпрямления
- •2.6. Условия работы вентилей в сварочных выпрямителях
- •2.7. Тиристоры
- •2.8. Устройства, облегчающие зажигание дуги
- •2.9. Импульсный стабилизатор горения дуги
- •2.10. Пускорегулирующие устройства выпрямителя
- •2.10.1. Выпрямители с трансформаторными регуляторами тока
- •2.10.2. Выпрямители с дроссельными регуляторами тока
- •2.10.3. Выпрямители с тиристорными регуляторами тока
- •2.10.4. Выпрямители с транзисторными регуляторами тока
- •2.11. Сварочные генераторы
- •2.11.1. Генераторы с независимым возбуждением и размагничивающейся последовательной обмоткой
- •2.11.2. Генераторы с намагничивающейся параллельной и размагничивающейся последовательной обмотками возбуждения
- •2.11.3. Вентильные генераторы
- •2.12. Обслуживание источников питания дуги
- •2.13. Устранение неисправностей источников питания
- •2.14. Требования безопасности и эргономики к конструкции источников
- •2.15. Меры безопасности при эксплуатации источников
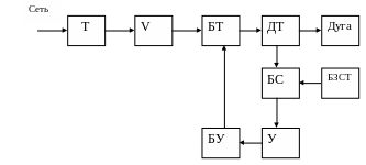
2.10.4. Выпрямители с транзисторными регуляторами тока
Отличительной особенностью функциональной блок-схемы выпрямителей с транзисторными регуляторами тока, по сравнению с ранее рассмотренными, является наличие в ней блока транзисторов (БТ), который выполняет функции регулятора тока (РТ).
РТ
Рис.56. Функциональная схема выпрямителя с транзисторным регулятором тока
Ток дуги регулируется плавно при изменении тока общей базы включенных параллельно транзисторов. Блок транзисторов БТ осуществляет также высокую стабилизацию выходных параметров источника. Все основные связи замыкаются на ток базы через блок управления БУ.
Рис.57. Принципиальная электрическая схема выпрямителя с транзисторным регулированием тока
Выпрямленный блок питается от трехфазного трансформатора с увеличенным магнитным рассеянием. В цепь выпрямительного блока последовательно дуге включен блок транзисторов БТ.
Крутопадающая ВАХ формируется трансформатором и транзисторным блоком. Изменяя ток базы с помощью активного сопротивления в цепи базы, можно изменять коллекторный ток. Сила тока дуги равна:
где
-
ток базы,
-
ток коллектора,
-
коэффициент усиления транзистора по
току.
Изменяя ток базы транзисторов, можно плавно регулировать ток дуги, то есть настраивать источник питания на режим сварки. Транзисторный блок в сварочной цепи можно использовать: для плавного гашения дуги, для ведения процесса сварки в импульсном режиме.
2.11. Сварочные генераторы
Источники питания постоянного тока подразделяется на две основные группы: сварочные выпрямители и сварочные генераторы – сварочные преобразователи вращающегося типа.
Генераторы можно классифицировать по следующим признакам:
По количеству питаемых постов (на однопостовые и многопостовые.)
По способу установки (на стационарные и передвижные).
По роду привода (на генераторы с электрическим приводом и на генераторы с приводом от двигателя внутреннего сгорания)
По виду ВАХ.
Наибольшее распространение получили генераторы с падающими ВАХ, работающие по следующим схемам:
- генераторы с независимым возбуждением и размагничивающейся последовательной обмоткой.
- генераторы с намагничивающейся параллельной и размагничивающейся последовательной обмотками возбуждения.
Ни один из трех видов генераторов с падающими ВАХ не имеет существенных преимуществ как по технологическим так и по энергетическим и весовым показателям.
2.11.1. Генераторы с независимым возбуждением и размагничивающейся последовательной обмоткой
Генератор имеет две обмотки возбуждения: независимую обмотку НО, которая запитывается от отдельного источника питания, и последовательную размагничивающую обмотку (РО), которая включается последовательно с обмоткой якоря (рис. 58).
|
|
а |
б |
Рис. 58. Принципиальная электрическая схема сварочного генератора: а- с независимым возбуждением и размагничивающей последовательной обмоткой; б- с намагничивающей параллельной и размагничивающей последовательной обмоткой: Г- генератор, Р- реостат, НО- обмотка независимого возбуждения, РО- размагничивающая обмотка
Магнитный поток
намагничивания
создаваемый обмоткой независимого
возбуждения противоположен по своему
направлению магнитному потоку
размагничивания
,
который создается в размагничивающей
обмотке. При холостом ходе, когда
сварочная цепь разомкнута, ЭДС генератора
определяется по формуле
-
электродвижущая сила.
- магнитный поток независимой обмотки.
-
постоянный коэффициент генератора.
При замкнутой цепи сварочный ток проходит через размагничивающую обмотку (РО), создавая магнитный поток размагничивания , который направлен противоположно магнитному потоку намагничивания. Результирующий магнитный поток равен разности потоков:
.
С увеличением тока в сварочной цепи магнитный поток размагничивания будет расти, а ЭДС, результирующий магнитный поток и напряжение на зажимах генератора – падать, создавая падающую ВАХ генератора.
Сварочный ток генератора такого типа регулируется резистором R и секционированием обмотки. Пример (ГСО-120, ГСО-500).
Для получения жесткой ВАХ последовательные размагничивающие обмотки переключают так, чтобы они работали, согласовано с обмоткой независимого возбуждения.
