- •1.Умножение матрицы на число.
- •2.Сложение (вычитание) матриц.
- •4. Транспонирование матриц.
- •Определители квадратных матриц.
- •Решение систем линейных алгебраических уравнений методом Крамера.
- •Решение систем линейных алгебраических уравнений матричным методом.
- •Решение систем линейных алгебраических уравнений методом Гаусса.
- •Скалярное произведение векторов.
- •3.Векторное произведение векторов.
- •5.Смешанное произведение векторов.
- •Прямая на плоскости.
- •Кривые второго порядка.
- •Введение в математический анализ.
- •Дифференциальное исчисление.
- •Односторонние пределы, непрерывность функции в точке. Точки разрыва функции и их классификация.
- •Производная сложной функции.
- •Интервалы монотонности, экстремум функции одной переменной. Выпуклость, вогнутость функции, точки перегиба.
- •Неопределенный интеграл.
ЭЛЕМЕНТЫ ЛИНЕЙНОЙ АЛГЕБРЫ.
1. Действия над матрицами.
Матрицей называется прямоугольная таблица элементов, например
Размерность матрицы обозначают
,
где
- число строк, а
-
число столбцов матрицы. Например,
размерность матрицы А -
,
матрицы В -
,
матрицы
-
.
В общем случае элемент матрицы обозначают
,
где
-
номер строки, а
-
номер столбца матрицы, на пересечении
которых находится этот элемент. Например,
для матрицы А
,
для матрицы В
.
Определим действия над матрицами.
Умножение матрицы на число и сложение покажем на примерах.
1.Умножение матрицы на число.
Пример.
или
2.Сложение (вычитание) матриц.
Пример.
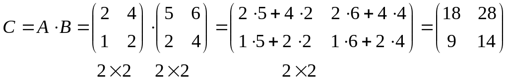
3.Умножение матриц.
Если матрица А имеет размерность
,
а матрица В имеет размерность
,
то их можно умножать. В результате
получается матрица
,
размерность которой будет
.
Например,
размерности
,
В размерности
,
то
будет размерности
.
Пример.
Первую строку А умножаем на первый
столбец В:
.
Первую строку А умножаем на второй
столбец В:
.
Вторую строку А умножаем на первый
столбец В:
.
Вторую строку А умножаем на второй
столбец В:
.
Пример.
Пример.
4. Транспонирование матриц.
Чтобы транспонировать матрицу, надо строки матрицы записать в столбцы.
Пример.
Если
,
то транспонированная матрица
Если
,
то
Задание 1. Найти
Решение.
Определители квадратных матриц.
Для квадратных матриц вводится число, которое называется определителем.
Для матриц второго порядка ( размерность ) определитель задается формулой:
Например, для матрицы
ее определитель
Пример. Вычислить определители матриц.
Для квадратных матриц третьего порядка (размерность ) существует правило «треугольника»: на рисунке пунктирная линия означает – умножить числа, через которые проходит пунктирная линия. Первые три числа надо сложить, следующие три числа надо вычитать.
Пример. Вычислить определитель.
Чтобы дать общее определение определителя, надо ввести понятие минора и алгебраического дополнения.
Минором
элемента матрицы
называется определитель, полученный
вычеркиванием
-
той строки и
-
того столбца.
Пример. Найдем некоторые миноры матрицы А.
Алгебраическим дополнением
элемента
называется число
.
Значит, если сумма индексов и четная, то и ничем не отличаются. Если же сумма индексов и нечетная, то и отличаются только знаком.
Для предыдущего примера
.
Определителем матрицы называется сумма произведений элементов некоторой строки
( столбца) на их алгебраические дополнения. Рассмотрим это определение на матрице третьего порядка.
Первая запись называется разложением определителя по первой строке, вторая - разложение по второму столбцу, последняя – разложение по третьей строке. Всего таких разложений можно записать шесть раз.
Пример. Вычислить определитель по правилу «треугольника» и разложив его по первой строке, затем по третьему столбцу, затем по второй строке.
Разложим определитель по первой строке:
Разложим определитель по третьему столбцу:
Разложим определитель по второй строке:
Заметим, что чем больше нулей, тем проще вычисления. Например, раскладывая по первому столбцу, получим
Среди свойств определителей есть свойство, позволяющее получать нули, а именно:
Если к элементам некоторой строки (столбца) прибавить элементы другой строки (столбца), умноженные на ненулевое число, то определитель не изменится.
.
Возьмем этот же определитель и получим нули, например, в первой строке.
=
Определители более высоких порядков вычисляются таким же образом.
Задание 2. Вычислить определитель четвертого порядка:
разложив по любой строке или любому столбцу
получив предварительно нули
Получим дополнительный ноль, например, во втором столбце. Для этого элементы второй строки умножим на -1 и прибавим к четвертой строке:
