- •Применение интеграла Дюамеля к интегрированию дифференциальных уравнений
- •Интегрирование дифференциальных уравнений с переменными (функциональными) коэффициентами
- •О функциях с запаздывающим аргументом и их изображениях
- •Интегрирование дифференциальных уравнений, содержащих в правой части функцию Хевисайда
- •Дифференциальные уравнения с запаздывающим аргументом
- •Решение интегральных уравнений
- •Решение нестационарных задач математической физики
- •Индивидуальные задания по теме «Решение обыкновенных линейных дифференциальных уравнений с постоянными коэффициентами операционным методом»
- •Ответы для индивидуальных заданий по теме «Решение обыкновенных линейных дифференциальных уравнений с постоянными коэффициентами операционным методом»
- •Литература по операционному исчислению
Применение интеграла Дюамеля к интегрированию дифференциальных уравнений
Интеграл Дюамеля (формула 18 пункта 5.7) может быть использован при интегрировании дифференциальных уравнений.
Выведем формулу для интеграла Дюамеля.
Пусть
По
теореме умножения изображений (формула
(17) пункта 5.6) имеем:
.
(30)
По теореме о дифференцировании оригинала (правой части (30)) по формуле пункта 5.10:
.
По правилу дифференцирования интеграла по параметру
(31)
получим
(32)
Правую часть этой формулы называют интегралом Дюамеля. В силу равноправности функций f и g ее можно записать и так
(33)
Применим интеграл Дюамеля к интегрированию дифференциальных уравнений. Пусть требуется найти решение линейного дифференциального уравнения с постоянными коэффициентами
, (34)
удовлетворяющее
нулевым (для простоты) начальным условиям
(35)
Наряду с этим уравнением будем рассматривать дифференциальные уравнения с такой же левой частью, но правой частью, равной 1: (метод толчков)
(36)
и будем искать его решение, также удовлетворяющее нулевым начальным данным
. (37)
Эти дифференциальные уравнения переходят в уравнения в изображениях
Их операторные решения
(38)
где
.
Из них выражаем
.
Используя формулу (32)
. (39)
Если известно решение z(t) уравнения (36) , то по (39) мы получим решение x(t) в виде квадратур.
Пример 105. Найти
решение дифференциального уравнения
при начальных условиях
Решение.
Сначала найдем решение
,
удовлетворяющее условиям
.
Его уравнение в изображениях
дает
.
Следовательно,
.
Для отыскания
решения исходного уравнения применим
формулу (39). Имеем
,
так что
.
Замечание. Особенно удобно применять интеграл Дюамеля для интегрирования нескольких дифференциальных уравнений с одинаковыми левыми и различными правыми частями. В этом случае интеграл Дюамеля значительно сокращает объем вычислительной работы.
Пример 106. Решить дифференциальное
уравнение
c начальными условиями
.
Решение.
Сначала решим задачу Коши для
дифференциального уравнения
,
.
Его уравнение в изображениях
имеет решение
.
Отсюда
.
По формуле Дюамеля (32)
Применив интеграл Дюамеля, решить дифференциальные уравнения
ответ:
.
ответ:
.
ответ:
ответ:
,
ответ:
ответ:
ответ:
.
ответ:
.
ответ:
.
ответ:
.
ответ:
ответ:
.
ответ:
.
Интегрирование дифференциальных уравнений с переменными (функциональными) коэффициентами
Пример
120. Решить дифференциальное
уравнение Бесселя
с начальными условиями
Решение. Перейдем к изображениям
Для нахождения изображений
и
воспользуемся формулой дифференцирования
изображений (формула (23) пункта 5.11)
Тогда
,
.
Тогда уравнение в изображениях
,
Уравнение с разделяющимися переменными
Выберем
ветвь корня, для которой
— так называемая функция Бесселя
нулевого порядка.
О функциях с запаздывающим аргументом и их изображениях
Как уже было сказано
в пункте 2, единичная функция Хевисайда
может превратить в оригинал любую
функцию f (t),
“выключая” ее значения при t < 0
и сохраняя при t > 0:
Имеется большое
количество функций
,
которые описывают процессы, начинающиеся
не в
,
а с опозданием τ > 0.
С помощью функции Хевисайда
функцию с запаздыванием записывают так
(40)
Заметим, что
множитель
способен
“включать” или “гасить” значения
некоторых функций. Эта функция удобна
для записи как периодических, так и
других составных функций.
По теореме запаздывания (пункт.5.3) изображения этих оригиналов (40) выражаются формулой
(41)
Пример 121.Найти
изображение периодического с периодом
Т прямоугольного импульса
величины А и продолжительностью τ
A
Решение.
Постоянная функция
должна быть “погашена”, начиная с
момента
.
Это можно записать как
Далее с момента
опять “включаем” функцию
и
“гасим” ее в момент
В этом случае следует записать
и т. д.
Окончательно
Изображение
Так как
то
суммируя геометрическую прогрессию в
квадратных скобках со знаменателями
,
получим
Этот же результат можно было бы получить по формулам (20), (21).
Пример 122. Построить
график функции
и найти ее изображение.
Решение. Функция
описывает некоторый процесс, “включаемый”
с запаздыванием
.
Для того, чтобы решить, какой это процесс,
нужно функцию представить в форме
3
2 t
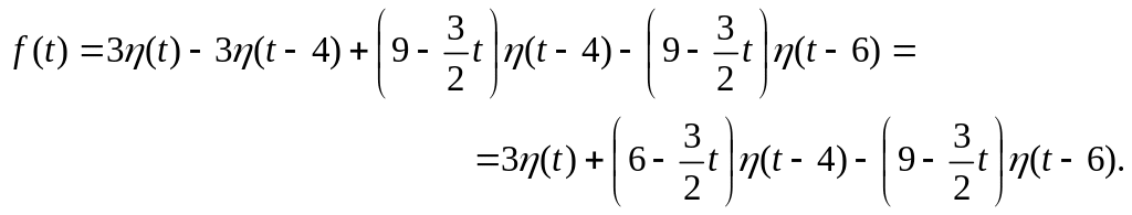
Пример 123. Найти изображение составной функции , предварительно записав ее с помощью функции Хевисайда одним аналитическим выражением.
Функция имеет вид и график .
3
t
0 4 6
Решение. Функция
при
.
В момент
“включается” функция, равная 3. В момент
она “гасится” и “включается” функция
.
В момент
“гасится” эта функция. Эту последовательность
действий можно описать формулой
Надо “организовать”
сдвиги аргумента
в множителях при функциях Хевисайда:
во втором слагаемом надо получить
аргумент
,
а в третьем
:
Изображение
В следующих задачах,
записав с помощью функции Хевисайда
одним аналитическим выражением составную
функцию
найти ее изображение:
ответ:
ответ:
.
ответ:
В следующих задачах
записать функцию
в виде, удобном для построения графика,
и найти её изображение.
,
ответ:
.
,
ответ:
.
,
ответ:
.
,
ответ:
.
,
ответ:
