- •Кафедра экономики автомобильного транспорта Курсовая работа
- •Москва 2009 Содержание
- •Общее методическое обоснование проекта
- •Экономическая оценка эффективности проектирования и производства техники
- •1.2. Основные экономические показатели
- •Расчет экономических показателей и оценка эффективности проекта
- •Программируемая техника (пт)
- •Модернизированная базовая техника (мбт)
- •2.3. Новая (проектируемая) техника (нт)
- •Определение минимального и оптимального объемов производства новой техники
- •Минимальный объем производства (точка безубыточности)
- •3.2. Оптимальный объем производства
- •Список литературы
Расчет экономических показателей и оценка эффективности проекта
Программируемая техника (пт)
На данном этапе определяются технико-экономические показатели техники в зависимости от среднеотраслевых факторов. Для данного варианта техники выполняются все условия проектирования и производства в соответствие с нормативами раздела 1. В связи с одинаковыми экономическими требованиями в расчетах цены ПТ используем формулы для НТ.
Период проекта, лет
Расчетный период для определения эксплуатационных показателей, лет
Принимаем 9лет
Среднегодовой выпуск техники, шт/год
Учитывая, что для ПТ начало производства осуществляется на 3-й год проекта (после НИОКР и ТПП, занимающих 2 года), при том, что потребность отрасли в данной технике к этому моменту росла, необходимо определить ее величину, соответствующую объему 1-го года производства ПТ, шт/год
Среднегодовая себестоимость производства единицы техники, т.у.е./шт
С учетом начала производства на 3-й год проекта
Среднегодовая себестоимость эксплуатации техники, приходящаяся на единицу ресурса, у.е./ед.рес.
Среднегодовая эксплуатационная производительность техники, ед.рес./год
Инвестиции (капвложения) в проект, т.у.е.
в т.ч.: НТПП – 4423,9 в 1-й год проекта (0-й расчетный год);
создание ОПФ – 29198,1 во 2-й год проекта (1-й расчетный год).
Среднегодовая цена единицы техники, т.у.е./шт
а) нижний уровень цены
б) верхний уровень цены
в) принятая среднегодовая цена техники
Среднегодовые амортизационные отчисления, приходящиеся на единицу техники, т.у.е./шт
Чистая прибыль в распоряжение предприятия в 1-й год производства (2-й расчетный год, 3-й год проекта), приходящаяся на единицу техники, т.у.е./шт
Оценка эффективности проектирования и производства ПТ
а) реальная ценность проекта, т.у.е.
т.е. на единицу техники составит, т.у.е./шт
б) индекс доходности
,
т.е. проект эффективен.
в) срок окупаемости инвестиций, лет
Рассматривая результаты расчетов видим, что суммарные дисконтированные инвестиции 1-ого и 2-ого годов проекта (29813,6 т.у.е. ) могу быть возвращены за последующий год(16480,2 т.у.е.) и часть 2-го года(14009,6 т.у.е.)проекта 30489,8
Из этого следует, что срок окупаемости суммарных дисконтированных инвестиций составляет 3,88 года.
Модернизированная базовая техника (мбт)
Расчет показателей и оценка эффективности данного варианта техники производится из условия, когда вместо проектирования новой техники на предприятии организуют производство модернизированной (улучшенной) базовой техники. В этом случае, экономические показатели определяются с учетом влияния на них отраслевых факторов за периоды Тпр и Тр (рост потребности в данном виде техники, изменения себестоимости и цены техники, эксплуатационных затрат и т.д.). В связи с этим, в расчетах можно использовать формулы для программируемой и новой техники.
Преимуществом данного варианта техники является то, что для МБТ нет необходимости заново проводить НИОКР. Однако, ТПП необходима в связи с определенным изменением технологии модернизированной техники в производстве.
Период проекта, лет
Расчетный период для определения эксплуатационных показателей, лет
Среднегодовая эксплуатационная производительность, ед.рес./год
Отраслевая потребность в полезном ресурсе техники за 5 лет ее производства определяется по характеристикам программируемой техники:
Для обеспечения отраслевой потребности в полезном ресурсе по МБТ необходимо определить ее среднегодовой выпуск, шт/год:
принимаем
741
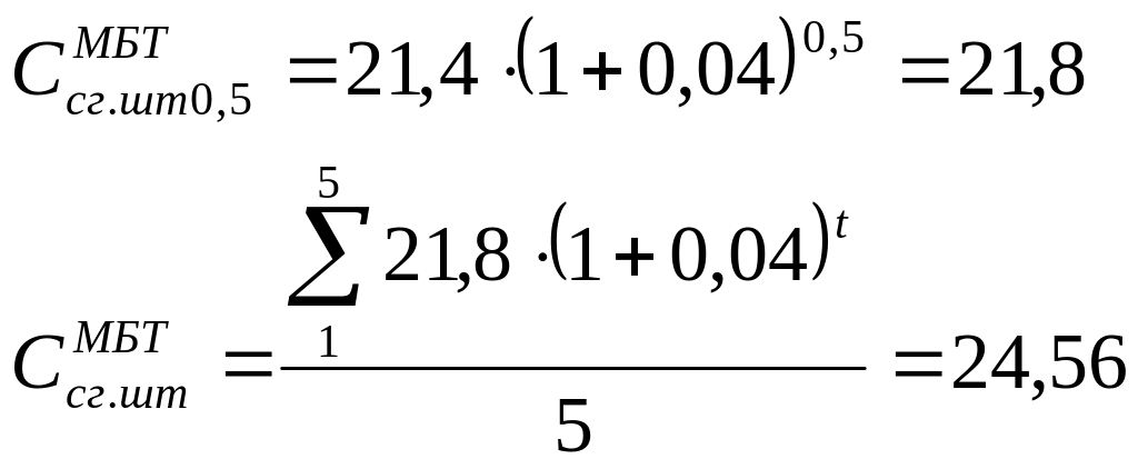
Среднегодовая себестоимость единицы техники, с учетом начала ее производства через 0,5 года с начала проекта, т.у.е./шт
Среднегодовая себестоимость эксплуатации техники, приходящаяся на единицу ресурса, у.е./ед.рес.
Инвестиции (капвложения) в проект, т.у.е.
В данном расчете учитывается то, что производство МБТ осуществляется на уже имеющихся производственных мощностях, созданных ранее для производства БТ. Однако, большая часть из них (принимаем 70%) уже амортизирована, поэтому только 30% могут быть использованы в проекте МБТ. При этом, необходимо уточнить размер инвестиций с учетом отсутствия НИОКР. Общий период НТПП равен 2 годам, в т.ч. ТПП равен 0,5 года, т.е. 25% общего периода. Эту величину используем для корректировки доли КНТПП от Ссг шт .
а) возможные инвестиции в проект МБТ, т.у.е.
б) существующие по БТ, в т.ч. используемые в проекте МБТ, т.у.е.
в т.ч.
в) необходимые инвестиции для проекта МБТ, т.у.е.
Среднегодовая цена единицы техники, т.у.е./шт
а) нижний уровень цены
б) верхний уровень цены
в) принятая среднегодовая цена техники
Среднегодовые амортизационные отчисления, приходящиеся на единицу техники, т.у.е./шт
Прибыль чистая в распоряжение предприятия в первый год производства (0-й расчетный год, 1-й год проекта), приходящаяся на единицу техники, т.у.е./шт
Оценка эффективности проектирования и производства МБТ
а) реальная ценность проекта, т.у.е.
В расчетах учитываем, что в 0-м и 5-м расчетных годах (1-м и 6-м годах проекта), состоящих из 0,5 года производства, среднегодовой выпуск техники будет составлять 50% от расчетной величины.
что на единицу техники составит, т.у.е./шт
б) индекс доходности
т.е. проект
эффективен
в) срок окупаемости инвестиций, лет
Проводя соответствующие расчеты аналогично расчетам по программируемой технике, получаем срок окупаемости инвестиций для МБТ, равный 2,23 года.
