- •2. Монопсонистическая дискриминация
- •3. Модели склонности к дискриминации
- •4. Статистическая дискриминация
- •5. Дискриминация и сегрегация
- •6. Издержки от дискриминации
- •7. Влияние на рынок труда системы оплаты труда на основе работ сравнимой ценности
- •Гендерная дискриминации на рынке труда
- •1.3 Основные характеристики рынка труда.
Введение.
При наличии дискриминации заработная плата определенных групп работников становится ниже, чем у остальных групп, выполняющих ту же работу с той же квалификацией. Предпринимателей нередко обвиняют в дискриминации по расовым признакам, полу, возрасту, физическим недостаткам, религиозным предпочтениям или этническому происхождению. Дискриминация молодых людей на рынке труда – это актуальная проблема для любой рыночной экономики, тем более для Российской, когда в период перехода России к рынку безработными становятся невостребованные выпускники ПТУ, ВУЗов и техникумов – молодые люди имеющие образование, но не имеющие опыта работы по специальности. Дискриминация - это неравные возможности, например, в найме на работу или оплате при прочих равных условиях. Но в реальности равных условий практически не бывает, и очень трудно отделить различия в положении того или иного работника , вызванные дискриминацией, от различий, вызванных его индивидуальными особенностями. Помимо этого, дискриминационные воздействия накапливаются , и индивидуальные особенности работника уже могут быть
результатом предшествующей дискриминации.
Ситуация, складывающаяся молодежи на рынке труда в последние
годы, является достаточно напряженной и характеризуется тенденциями к
ухудшению. Растут масштабы регистрируемой и скрытой безработицы среди
молодежи, увеличивается ее продолжительность. Между тем возможности молодых
людей и без того ограничены в силу их более низкой конкурентоспособности по
сравнению с другими категориями населения.
На протяжении семидесяти с лишним лет государство являлось единственным
монопольным работодателем. До начала 1991 г. действовало законодательство
закрепляющее принцип всеобщей занятости. На большинстве предприятий имелись
излишки рабочей силы, которые по различным оценкам, к началу 90-х годов
составляли от 10 млн. до 20 млн. человек, и несмотря на это администрации все
равно предписывалось нанимать рабочую силу.[1]
Условия выхода молодежи на рынок труда были также жестко регламентированы.
Приток молодых кадров происходил двумя путями:
- для выпускников школ и лиц, закончивших профессионально-технические
училища и решивших идти на производство;
- выпускники других учебных заведений распределялись с учетом
вакансий, с обязательным условием работы на данном месте в течение нескольких
лет.
Формирование комплекса рыночных отношений в сфере занятости началось с
изменения приоритетов государственной политики: отказа от конституционных
гарантий права на труд, сохранения за государством лишь функции содействия
трудоустройству граждан. Кроме того, расширились права руководителей в
вопросах найма и увольнения работников, что предполагало более эффективное
использование рабочей силы.
Дискриминация на рынке труда.
ДИСКРИМИНАЦИЯ НА РЫНКАХ РАБОЧЕЙ СИЛЫ - практика найма, которая приводит к различию заработной платы у одинаково производительных работников. При наличии дискриминации заработная плата определенных групп работников становится ниже, чем у остальных групп, выполняющих ту же работу с той же квалификацией. Предпринимателей нередко обвиняют в дискриминации по расовым признакам, полу, возрасту, физическим недостаткам, религиозным предпочтениям или этническому происхождению.
Дискриминация оказывает влияние на функционирование рынков рабочей силы. Она порождает различия в уровнях равновесных заработных плат, которые не выступают результатом разных в этих группах доходов от предельного продукта их труда и предельных издержек на оплату труда самих работников. Дискриминация не признает равенства возможностей для отдельных групп работников найти себе работу.
На рис. 41.1 представлены последствия дискриминации на рынке рабочей силы.
Рис. 41.1. Влияние дискриминации на ставки заработной платы и занятость
Рисунок 41.1, а представляет кривые спроса и предложения на рабочую силу в предпочтительной группе рабочих.
Кривая спроса - это кривая предельной доходности ресурса. Рисунок 41.1, б представляет кривые спроса и предложения на рабочую силу в дискриминируемых группах. Здесь кривая спроса смещена влево относительно кривой предельной доходности ресурса. Если не существует законодательных актов, устанавливающих равную оплату для всех групп рабочих, оплата дискриминируемого меньшинства понизится до уровня ниже уровня оплаты привилегированного большинства. Если же законом установлено равенство оплаты труда, возникает угроза, что лишь незначительная доля рабочих из дискриминируемой группы будет занята. Значительная доля рабочих из этой группы будет искать работу в менее привлекательной части рынка труда либо останется без работы. Таким образом, как при наличии соответствующих законодательных актов, так и при их отсутствии одна группа рабочих будет чувствовать на себе дискриминацию.
Обратимся к проблеме отношения работодателей к дискриминации рабочей силы. Можно допустить, что собственники фирм выигрывают от дискриминации, поскольку могут снизить заработную плату рабочим дискриминируемой группы. Однако западные экономисты исходят из того, что дискриминация несовместима с максимизацией прибыли конкурирующими фирмами. Когда какая-то группа рабочих подвергается дискриминации, им платят заработную плату, меньшую, чем доход от предельного продукта их труда. Если рынок конкурентен, любая фирма может нанять рабочих в любом количестве, не влияя на уровень заработной платы. До того времени, пока заработная плата дискриминируемых рабочих ниже дохода от предельного продукта их труда, фирма будет выигрывать, нанимая больше рабочих этой группы. Фирмы, нанимающие рабочих привилегированной группы, также могут увеличить свою прибыль, заменяя рабочих привилегированной группы рабочими дискриминируемой группы, ибо рабочим первой группы надо отдавать больше дохода от предельного продукта их труда и их заработная плата была бы больше равновесной. В результате конкурирующие фирмы на рынке труда повышали бы заработную плату дискриминируемым группам и снижали бы заработную плату рабочим привилегированной группы до тех пор, пока разница в заработной плате обеих групп рабочих не стала бы одинаковой. В результате этого процесса одни фирмы наняли бы только дискриминируемых рабочих, другие - только привилегированных рабочих. Но конкурентная борьба между нанимателями за квалифицированных работников приведет к равной заработной плате обеих групп.
Правительство США, принимая во внимание несправедливость и невыгодность дискриминации рабочей силы, приняло ряд законодательных актов, нацеленных на ликвидацию дискриминации на рынках рабочей силы. Первым актом был Закон о равной оплате труда, 1963 г. Более жесткая атака на дискриминацию была предпринята Законом о Гражданских правах, 1964 г. Закон запрещал дискриминацию, порожденную расовыми и религиозными причинами, а также различиями пола и национальности. Третьей мерой была инструкция Федерального правительства, ратифицированная Президентом Л. Б. Джонсоном в 1965 г.
Однако дискриминация на рынках рабочей силы в США существует и в настоящее время. В 1984 г. почасовая заработная плата женщин в среднем на 30% меньше, чем у мужчин. В действительности разница в заработках между полами еще больше, поскольку женщины в среднем работают меньше часов в неделю, чем мужчины. В 1984 г. заработная плата женщин составляла только 65% от заработной платы мужчин. Разница в заработной плате полов меняется с возрастом. Различия в заработках девушки и молодого человека меньше, чем разница у мужчины и женщины средних лет. Черные зарабатывают меньше белых.
Существует так называемая статистическая дискриминация, когда предприниматели несправедливо приписывают конкретному индивиду определенной группы черты, которые статистически можно распространить на всю группу в целом, но они не соответствуют данному конкретному представителю группы.
Выделяют так называемую сегрегацию по профессиональным мотивам, которая более тесно связана с принадлежностью к определенному полу, чем с расовыми и национальными признаками. Так, водители грузовиков могут быть и белыми, и черными, как и машинистки. Однако водители грузовиков независимо от цвета кожи чаще всего мужчины, а машинистки - женщины.
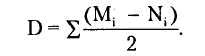
Общепринятым измерителем сегрегации по профессиональной принадлежности является индекс различий Дункана - коэффициент, определяющий процентный состав мужчин или женщин, которые должны сменить род занятий, чтобы уравнять число мужчин и женщин в каждой группе, выделенной по профессиональному признаку.
Предположим, что совокупная рабочая сила состоит из 100 мужчин и 100 женщин. Среди женщин 75 человек - секретари-машинистки, а 25 - водители грузовиков; а среди мужчин 25 - секретарей-машинисток и 75 - водителей. Коэффициент Дункана будет равен 50. Математический коэффициент Дункана исчисляется посредством суммирования по всем профессиям абсолютных величин процентных различий двух групп, занятых в каждой профессии, и делением этой суммы пополам. Если Мi - это процентный состав одной группы в профессии i, a Ni - процентный состав другой группы в профессии i, тогда коэффициент D определяется формулой:
В 1980 г. индекс Дункана, определявший наличие сегрегации по полу занятых в экономике США, составлял 57. Это означает, что более половины всех мужчин (женщин) должны сменить свои профессии, чтобы уравнять соотношение мужчин и женщин в каждой профессии. Коэффициент Дункана по расовым признакам в этот период составлял 33 для мужчин и 28 для женщин.
Различия в оплате труда, обусловленные профессиональной принадлежностью, существенно сказываются на различии доходов мужчин и женщин.
Дискриминация молодых людей на рынке труда – это актуальная проблема для
любой рыночной экономики, тем более для Российской, когда в период перехода
России к рынку безработными становятся невостребованные выпускники ПТУ, ВУЗов
и техникумов – молодые люди имеющие образование, но не имеющие опыта работы
по специальности.
Но если у людей равные способности и квалификация, они выполняют одинаковую
работу, а получают не одинаковое вознаграждение или по-разному продвигаются
по служебной лестнице, то можно говорить о дискриминации. Особенно она
заметна, когда функционирование рынка труда регулярно воспроизводит различия
в положении определенных групп населения. Так как очевидно, что худшее
положение на рынке труда, например женщин или национальных меньшинств не
может быть объяснено предположением о худших в среднем индивидуальных
склонностях женщин по сравнению с мужчинами или худших в среднем способностях
работников из национальных меньшинств по сравнению с работниками основной
национальности. В таком случае у людей из этих групп неравные возможности на
рынке труда по сравнению с другими работниками, что и означает дискриминацию.
Дискриминации на рынке труда могут подвергаться различные категории
работников. Выделяют дискриминацию по полу, национальности, расе, возрасту и
т. д. Для нашей страны, несомненно актуальность имеют вопросы равенства
возможностей на рынке труда между молодежью и более старшим поколением.
Дискриминация - это неравные возможности, например, в найме на работу или
оплате при прочих равных условиях. Но в реальности равных условий практически
не бывает, и очень трудно отделить различия в положении того или иного
работника, вызванные дискриминацией, от различий, вызванных его
индивидуальными особенностями. Помимо этого, дискриминационные воздействия
накапливаются, и индивидуальные особенности работника уже могут быть
результатом предшествующей дискриминации. Например, дискриминация в
продвижении по службе может быть вызвана профессиональной различной
подготовкой, что в свою очередь вызвано неравенством возможностей при
получении образования. С другой стороны, неравные возможности, например, у
женщин и мужчин в сфере труда могут отражать особенности их специализации и
положения, обусловленные неэкономическими причинами (культурными,
политическими, этическими, социальными). Таким образом, - дискриминация -
очень сложное явление, на него воздействует много причин, что затрудняет
разработку политики, направленной на ее преодоление, и вызывает необходимость
тщательных исследований.
Можно выделить несколько видов дискриминации на рынке труда.
1)Дискриминация при найме на работу (или, наоборот, при увольнении с работы)
происходит тогда, когда ту или иную группу населения при прочих равных
условиях, последними берут на работу и первыми увольняют. Отражением такой
ситуации будет более высокий уровень безработицы у таких групп населения.
2)Дискриминация при выборе профессии или продвижении по службе происходит,
когда какой-нибудь группе населения запрещают или ограничивают доступ к
определенным видам деятельности, профессиям, должностям, несмотря на то, что
они способны выполнять эти работы. Обратная сторона этого вида дискриминации-
концентрация дискриминируемых групп на работах, для которых у них слишком
высокая квалификация.
3)Дискриминация по оплате труда возникает в случае более низкой оплаты труда
одних работников по сравнению с другими за выполнение одной и той же работы.
То есть в том случае, когда различия в оплате труда не связаны с различиями
в эффективности труда.
4)Дискриминация при получении образования или профессиональной подготовки
может выражаться или в ограничение доступа к получению образования или
профессиональной подготовки, или в предоставлении образовательных услуг более
низкого качества.
Одни виды дискриминации, как правило, порождают другие, таким образом, еще
более усугубляя ее последствия. Тем не менее, воздействие отдельных видов
дискриминации могут быть и самостоятельными, имея большую или меньшую
актуальность для различных групп работников в зависимости от социально-
экономической ситуации.
Первый теоретический анализ проблем дискриминации связан с именем Г. Беккера.
Им была предложена модель склонности дискриминации, в которой дискриминация
рассматривается как сознательный шаг работодателя, за который он готов
платить. В основу анализа был положен тезис, в соответствии, с которым
дискриминация возникает тогда, когда экономические субъекты выражают
готовность оплачивать нежелание вступать в контрактные отношения с другими
экономическими субъектами, имеющими другие характеристики (пол, цвет кожи и
т. д.).
Модель статистической дискриминации имеет место, когда о работнике судят
исходя из характеристик группы, к которой он принадлежит, а не из его личных
качеств и способностей. Суждения эти верны в том смысле, что группа имеет те
характеристики, которые ей приписывают, но эти суждения неверны по отношению
ко многим работникам из этой группы.
Работодатели хотят заполнить вакансии наиболее производительными работниками,
поэтому кадровые службы собирают всю информацию результатами различных
предварительных тестов. Но сбор информации и проведения отбора связаны со
значительными издержками, из-за которых полную информацию собрать не удастся.
Поэтому работодатель использует такие характеристики, как пол, возраст как
основания для суждения о производственных качествах работника, которые не
видны явно. Пол и возраст может использоваться для определения физической
силы или выносливости.
В модели статистической дискриминации работодатель оказывается в выигрыше, т.
к. он экономит на сокращении издержек на отбор работников, поэтому
функционирование рынка не приводит к устранению дискриминации.
Во всех моделях экономическая теория практически не анализирует причины
дискриминации, а рассматривает как она проявляется и воспроизводится на рынке
труда. Причины, определяющие дискриминацию, являются экзогенными параметрами
модели, это не экономические, а социальные причины в самом широком смысле
(вызвано неравенством на рынке труда)
. Виды дискриминации на рынке труда
Дискриминация — это неравные возможности на рынке труда группы работников, выделенных по определенному признаку и имеющих одинаковую производительность с другими работниками (групповая дискриминация), или неравные возможности отдельных работников по сравнению с работниками, имеющими аналогичные характеристики качества рабочей силы (индивидуальная дискриминация). Основанием для дискриминации на рынке труда выступают расовые, этнические, тендерные, возрастные и другие характеристики рабочей силы.
Можно выделить несколько видов дискриминации на рынке труда по сфере действия или по результатам.
1. Дискриминация при найме на работу (или, наоборот, при увольнении с работы). Она происходит тогда, когда ту или иную группу населения при прочих равных условиях последними берут на работу и первыми увольняют.
2. Дискриминация в доступе к определенным профессиям или должностям. Она происходит, когда какой-нибудь группе населения запрещают или ограничивают доступ к определенным видам деятельности, профессиям, должностям, несмотря на то, что они способны выполнять эти работы. Этот вид дискриминации называют также профессиональной сегрегацией.
3. Дискриминация при оплате труда. Она возникает в случае более низкой оплаты труда одних работников по сравнению с другими за выполнение одной и той же работы. То есть в том случае, когда различия в оплате труда не связаны с различиями в эффективности труда.
4. Дискриминация при продвижении по службе, в профессиональной карьере. Она наблюдается, когда работники дискриминируемой группы ограничиваются в вертикальной мобильности. Этот вид дискриминации аналогичен профессиональной сегрегации, но в данном случае сегрегация происходит по вертикали, в должностной иерархии.
5. Дискриминация при получении образования или профессиональной подготовки. Она может выражаться или в ограничении доступа к получению образования и профессиональной подготовки, или в предоставлении образовательных услуг более низкого качества. Этот вид дискриминации нельзя в полной мере отнести собственно к дискриминации на рынке труда, так как получение образования обычно предшествует трудовой деятельности. Но несмотря на «дотрудовой» характер этого вида дискриминации, ее причины и следствия из нее теснейшим образом связаны с функционированием рынка труда.
Дискриминация — сложное явление, в котором объединяются и дискриминационные различия в заработной плате, и другие неравные возможности на рынке труда. Поэтому модели, анализирующие дискриминационные различия в заработной плате, в качестве предпосылок или следствий содержат предположения о других видах дискриминации, и наоборот. Необходимо учитывать, что неравная оплата за работы, сравнимые по своей ценности, — это не обязательно дискриминация, в то время как равная оплата за работы равной ценности не обязательно означает отсутствие дискриминации.
Выделяют также различные виды дискриминации в зависимости от причин, ее порождающих.
1. Дискриминация со стороны работников возникает тогда, когда большая часть работников избегает сотрудничества в трудовом коллективе с дискриминируемыми работниками.
2. Дискриминация со стороны потребителей порождается неодинаковым отношением потребителей к работникам, предоставляющим им один и тот же вид данной услуги.
3. Дискриминация со стороны работодателя выражается в неодинаковом отношении работодателя к различным группам работников, одинаковым по производительности, но разным по характеристикам, по которым работодатель предпочитает одну группу другой.
4. Дискриминация со стороны предложения труда возникает как реакция работодателей на различные характеристики предложения труда работников, имеющих одинаковую производительность. Типичный пример дискриминации со стороны предложения — монопсонистическая дискриминация на рынке труда
5. Статистическая дискриминация — дискриминация работников в том случае, когда работодатель в условиях несовершенства информации судит о работниках на основе средних характеристик о производительности, присущих группе, к которой принадлежит данный работник, а не на основе информации о его индивидуальной производительности.
2. Монопсонистическая дискриминация
Одно из объяснений дискриминационных различий в заработной плате дает модель дискриминирующей монопсонии на рынке труда. Эта модель основана на предположении о разной эластичности предложения труда у различных групп работников и объясняет групповую дискриминацию в заработной плате.
Дискриминирующая монопсония возникает, когда работодатель-монопсонист платит работникам неодинаковую заработную плату. Совершенной дискриминацией называется ситуация, когда заработная плата каждого работника равна цене предложения его труда. На рис. 8.1 представлена ситуация дискриминирующей монопсонии при разделении всех работников на две группы. Дискриминация будет в этом случае возможна при двух условиях: 1) эластичность предложения труда у этих групп работников различна; 2) отсутствует мобильность работников между группами. Предельные издержки, максимизирующие прибыль, определяются из равенства суммарных предельных издержек предельному денежному продукту SMC = MRP. Они определяют общий уровень занятости и занятость каждой группы работников так, что L1 + L2 = L0, a предельные издержки труда для каждой из групп уравниваются. При этом заработная плата работников первой группы — с более высокой эластичностью предложения труда — выше заработной платы, которая могла быть установлена без дискриминации, а работников второй группы — ниже, W2 < W0, W1 >W0.
Уравнение прибыли в рассматриваемом случае будет иметь вид
p = Р * Q(L1, L2) - W1(L1) L1 - W2(L2) L2,
Рис. 8.1. Дискриминирующая монопсония
Из условия максимизации прибыли следует, что
¶p / ¶L1 = ¶p / ¶L2 = 0 и P¶Q / ¶L1 = P¶Q / ¶L2.
Тогда W1 (1 + 1/eS1) = W2 (l + 1/eS2),
где eS1 — эластичность предложения труда первой группы работников;
eS2 — эластичность предложения труда второй группы работников.
Так как по условиям возможности дискриминации eS1 > eS2, то W1 >W2.
3. Модели склонности к дискриминации
Модель склонности к дискриминации (модель дискриминации Беккера) предполагает, что работодатель может иметь склонность к дискриминации каких-либо групп работников.
В модели предполагается, что работники дискриминируемой и недискриминируемой групп имеют одинаковую производительность и совершенно заменяемы в производстве. На рис. 8.2а Q1 показывает изокванту фирмы, которая будет прямой линией при принятых предпосылках, а 0A = 0B. Если заработная плата работников недискриминируемой группы — W1, а заработная плата работников дискриминируемой группы — W2, W1 > W2, то С0, С1, С2 — изокосты, имеющие наклон (-W2 / W1). Недискриминирующая фирма максимизирует свою прибыль при выпуске Q1 в точке В, нанимая только работников из дискриминируемой группы, так как их заработная плата меньше и издержки в этом случае минимальны.
На рис. 8.2б показаны те же изокванта Q1 и изокоста C1. В данном случае работодатель склонен к дискриминации. Он несет дополнительные помимо заработной платы издержки при найме дискриминируемых работников. Эти издержки могут быть связаны с дискриминацией со стороны как работников (конфликты в коллективе), так и потребителей производимых благ (потеря части рынка) или непосредственно с отношением работодателя к дискриминируемым работникам.
Общие издержки от найма работников дискриминируемой группы составят W2(1 + d), где d (d>0) — это коэффициент дискриминации, который показывает, насколько по отношению к издержкам на заработную плату возрастают издержки работодателя при найме дискриминируемых работников.
С учетом дополнительных издержек при найме дискриминируемых работников новые линии изокост будут С’’1, С’’2 с наклоном (-W2 (1 + d) /W1).
дискриминация монопсонистический оплата труд ценность
Рис. 8.2. Минимизация издержек в условиях дискриминации
Если коэффициент дискриминации больше, чем выигрыш от более низкой заработной платы работников дискриминируемой группы, то наклон изокост будет больше 1 (как это показано на рис. 8.2б). Тогда дискриминирующая фирма максимизирует свою прибыль при выпуске Q1 в точке А, нанимая только работников из недискриминируемой группы, так как с учетом издержек от дискриминации общие издержки в этом случае минимальны.
Дискриминация, основанная на склонностях и предубеждении, приводит к тому, что работодатель максимизирует не прибыль, а полезность, зависящую от прибыли и найма дискриминируемых работников. Функция полезности дискриминирующего работодателя будет вместо обычной, максимизирующей прибыль (U = u(p)), выглядеть как U = u(p, В), где В — это доля работников недискриминируемой группы (Up>0, UB>0). Графически функция полезности дискриминирующего работодателя может быть представлена кривыми безразличия I1, I2 в пространстве прибыль — состав рабочей силы (рис. 8.3), где по вертикальной оси расположена прибыль, а по горизонтальной — доля работников недискриминируемой группы в рабочей силе. Чем сильнее дискриминация, тем сильнее наклон кривой безразличия и больше коэффициент дискриминации d.
Так как в модели предполагается, что работники дискриминируемой и недискриминируемой групп являются полными заменителями в производстве,
Рис. 8.3. Поведение дискриминирующего работодателя
то, если обеим группам выплачивается одинаковая заработная плата, кривая изоприбыли примет вид горизонтальной линии p1А. При этом если бы работодатель не прибегал к дискриминации, то его кривая безразличия была бы тоже горизонтальной линией, и он не делал различий при найме работников. Для дискриминирующего работодателя точка равновесия будет определяться касанием кривой безразличия I1 и линии прибыли p1А. Это будет точка А, при которой он наймет только работников недискриминируемой группы. Однако если заработная плата работников дискриминируемой группы меньше, чем заработная плата работников недискриминируемой группы, то чем больше работников недискриминируемой группы нанято, тем меньше прибыль (на рис. 8.3 это показывает новая кривая изоприбыли p2F). Поскольку фирма находится в условиях совершенной конкуренции на рынке товаров и на рынке труда, то прибыль станет отрицательной еще до того момента, когда весь персонал фирмы будет состоять из работников недискриминируемой группы. Точкой равновесия дискриминирующего работодателя будет точка С (точка касания кривой безразличия I2 и кривой прибыли p2F), соответствующая прибыли щ, при этом работодатель потеряет часть прибыли (p2 - p0) по сравнению с недискриминирующим работодателем.
Модель имеет следующие следствия:
наем дискриминируемых работников дискриминирующими работодателями будет происходить только тогда, когда их заработная плата будет меньше заработной платы недискриминируемых работников;
величина разрыва в заработной плате, при которой станет возможным наем работников дискриминируемой группы, определяется коэффициентом дискриминации, d = W1/ W2-1.
чем больше дифференциация заработной платы, тем больше работников дискриминируемой группы будет нанято;
чем менее взаимозаменяемы в процессе производства работники дискриминируемой и недискриминируемой групп, тем больше работников дискриминируемой группы будет нанято.
Эта модель может быть представлена и другим образом (рис. 8.4). Если работники дискриминирумой и недискриминируемой групп абсолютно взаимозаменяемы в производстве, то кривая NN’ отражает величину
Рис. 8.4. Занятость и заработная плата дискриминирумой группы
предельного денежного продукта труда обеих групп в отсутствие дискриминации (эта же кривая соответственно является и кривой спроса на труд). В условиях дискриминации кривая спроса на труд дискриминируемой группы DD’ сдвинется влево на величину, равнуюwd, определяемую коэффициентом дискриминации. Если рассматривать сдвиг кривой как вертикальный сдвиг, то это означает, что дискриминирующий работодатель готов нанять одинаковое количество (LN) работников дискриминируемой и недискриминируемой группы, только если ставка заработной платы работников дискриминируемой группы равна WD. Если же рассматривать сдвиг кривой как сдвиг по горизонтали, то это означает, что работодатель готов при равной ставке заработной платы WN для обеих групп работников нанять только LD работников дискриминируемой группы.
Один из главных выводов из модели склонности к дискриминации заключается в том, что дискриминирующий работодатель будет нести дополнительные издержки и в условиях совершенной конкуренции в долгосрочном периоде будет вытесняться с рынка недискриминирующими работодателями. До того же, как это произойдет, дискриминация на рынке труда будет сохраняться и выражаться в меньшей заработной плате работников дискриминируемой группы.
Рынок труда при наличии работодателей, склонных к дискриминации, представлен на рис. 8.5. По вертикальной оси расположено отношение заработной платы дискриминируемых работников к заработной плате
Рис. 8.5. Равновесие рынка при существовании дискриминирующих работодателей
Рис. 8.6. Влияние изменения степени и масштабов дискриминации на относительную заработную плату
недискриминируемых работников WR, по горизонтальной — доля работников дискриминируемой группы в составе рабочей силы LR. Кривая относительного спроса на труд DLR будет ломаной: горизонтальный участок будет соответствовать той части работодателей, которые не склонны к дискриминации, а понижающийся участок кривой спроса на труд — части работодателей, склонных к дискриминации, упорядоченным по возрастанию коэффициента дискриминации. Общая занятость LR’ и заработная плата WR’ работников дискриминируемой группы будет определяться пересечением кривых спроса DLR и предложения их труда SLR. Чем меньше доля работников дискриминируемой группы в составе рабочей силы, тем меньше будет дифференциация заработной платы. Если относительное предложение труда работников будет невелико и сдвинется, как это показано на рис. 8.5 до SLR1, то различий в оплате труда между дискриминируемыми и недискриминируемыми работниками не будет, все работники дискриминируемой группы найдут рабочие места у работодателей, не склонных к дискриминации.
На изменение дискриминационных различий в заработной плате будут оказывать влияние изменения не только в предложении труда, но и в спросе на труд. В случае, когда количество недискриминирующих работодателей возрастет, кривая спроса на труд сдвинется вправо доDLR1 и увеличится горизонтальный отрезок кривой относительного спроса на труд. Это приведет к увеличению занятости работников дискриминируемой группы до LR1 и уменьшению дискриминационных различий в заработной плате до WR1. Эта ситуация представлена на рис. 8.6а. Аналогичные изменения вызовет и уменьшение склонности к дискриминации, сокращение коэффициента дискриминации. На рис. 8.6б показана ситуация, когда у всех работодателей, склонных к дискриминации, коэффициент дискриминации пропорционально уменьшится. Графически это отображено меньшим наклоном нисходящего отрезка кривой относительного спроса на труд. В этом случае занятость работников дискриминируемой группы возрастет до LR2, а дискриминационные различия в заработной плате уменьшатся до WR2.
