- •1. Теория управления. Основные понятия и определения. Основные задачи теории автоматического управления.
- •2. Основные принципы регулирования. Регулирование по разомкнутому циклу. Регулирование по возмущению. Регулирование по отклонению (по ошибке). Обратная связь.
- •1. Принцип разомкнутого управления
- •2. Принцип управления по возмущению.
- •3. Принцип обратной связи:
- •3 . Типовая функциональная схема сар. Назначение и характеристика функциональных элементов.
- •5. Статическое и астатическое регулирование. Передаточные функции и основные характеристики статических и астатических систем.
- •6. Математическое описание элементов и систем автоматического регулирования. Дифференциальные уравнения звеньев и систем. Линеаризация нелинейных зависимостей
- •7. Преобразование Лапласа в применении к теории автоматического управления. Понятие передаточной функции системы
- •8. Типовые внешние воздействия. Временные характеристики звеньев и систем. Частотные характеристики. Основные понятия и определения, виды характеристик
- •Частотные характеристики динамических звеньев и систем
- •12. Типовые законы регулирования. Типовые передаточные функции автоматических регуляторов
- •13. Получение и построение частотных характеристик. Построение афх разомкнутой системы. Связь между частотными характеристиками разомкнутой и замкнутой систем.
- •13 Получение и построение лачх разомкнутой сар. Связь между логарифмическими частотными характеристиками разомкнутой и замкнутой систем. Номограммы замыкания
- •15. Устойчивость линейных систем автоматического регулирования. Необходимое и достаточное условие устойчивости. Структурная устойчивость систем.
- •16. Алгебраические критерии устойчивости Гурвица и Рауса
- •17. Частотный критерий устойчивости Михайлова
- •18. Критерий устойчивости Найквиста. Особенности применения для астатических систем
- •19. Логарифмический критерий устойчивости. Оценка запаса устойчивости по фазе и амплитуде
- •20. Точность систем автоматического регулирования. Установившаяся ошибка при различных типовых воздействиях. Коэффициенты ошибок
- •1) Ступенчатое воздействие.
- •1) Случай:
- •2) Случай:
- •21. Косвенные (корневые, частотные интегральные) оценки качества.
- •21. Качество процессов регулирования. Основные показатели качества
- •24. Пути повышения точности сар
- •25. Обеспечение устойчивости, увеличение запасов устойчивости линейных систем автоматического регулирования
- •26. Синтез линейных систем автоматического регулирования. Последовательные, параллельные корректирующие устройства, корректирующие обратные связи (жесткие и гибкие).
- •27. Частотные методы синтеза корректирующих устройств. Синтез желаемой лачх. Синтез последовательных и встречно-параллельных корректирующих устройств.
- •28. Реализация корректирующих устройств. Пассивные и активные четырехполюсники постоянного тока, дифференцирующий трансформатор, тахогенератор постоянного тока.
- •3) Дифференцирующий трансформатор
- •4) Тахогенератор
- •29. Комбинированное регулирование. Инвариантные системы.
- •30. Системы автоматического управления с запаздыванием. Запаздывающее звено и его характеристики. Особенности оценки устойчивости систем с запаздыванием
5. Статическое и астатическое регулирование. Передаточные функции и основные характеристики статических и астатических систем.
По отношению к ошибке регулирования в установившемся режиме выделяют статические и астатические системы. У статических в установившемся режиме ошибка регулирования не равна нулю. У астатических – равна. Отличительной чертой астатических систем является наличие оператора свободного Р в знаменателе передаточной функции системы (т.е. наличие в ней интегрирующих звеньев). Степень оператора называется порядком астатизма. Есть еще одна отличительная черта астатических систем: каждая единица степени астатизма сдвигает ЛФЧХ системы вниз на 90°.
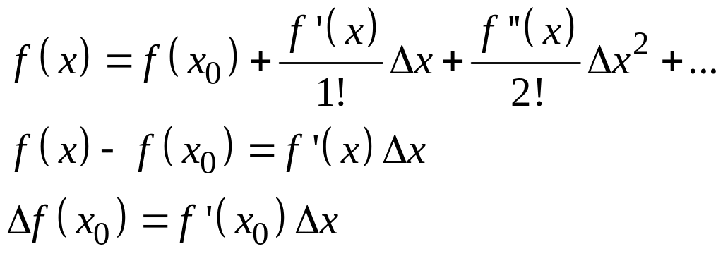
6. Математическое описание элементов и систем автоматического регулирования. Дифференциальные уравнения звеньев и систем. Линеаризация нелинейных зависимостей
Математическая модель – уравнения (структурные схемы) автоматической системы управления. Она должна быть, как можно более полно отражать свойства оригинала, так и по возможности простой.
Режимы систем:
Установившейся (входные и выходные данные постоянные)
Неустановившейся (при изменении данных, переходной режим)
Алгоритмическая (Структурная) схема – представление системы в виде соединения динамических звеньев
Общий вид линейной системы автоматического управления
В реальных условиях большинство элементов автоматической системы являются не линейными (имеют статические характеристики)
Линеаризация – Процесс преобразования нелинейных уравнений в линейные
Графически:
Аналитически:
С помощью разложения в ряд Тейлора в районе рабочей точки и исключая члены высших порядков малости
7. Преобразование Лапласа в применении к теории автоматического управления. Понятие передаточной функции системы
Анализ и синтез САУ существенно упрощается при использовании прикладных математических методов операционного исчисления.
Имеется функция вещественной переменной f(t), ей можно поставить в соответствие F(p), где f(t) – оригинал, F(p) – изображение.
–
интеграл Лапласа
;
;
– комплексная переменная;
Преобразование Лапласа обладает следующими свойствами: операциям дифференцирования и интегрирования в приведении вещественной переменной соответствуют эквивалентные алгебраические операции умножения и деления с использованием комплексной переменной
- справедливы при нулевых начальных условиях
Применение преобразования Лапласа позволяет перейти от исходных дифференциальных уравнений к эквивалентным алгебраическим уравнениям в представительстве комплексной переменной.
– передаточная функция.
Передаточной функция звена или системы – отношение изображения выходной величины к изображению входной величины при нулевых начальных условиях.
8. Типовые внешние воздействия. Временные характеристики звеньев и систем. Частотные характеристики. Основные понятия и определения, виды характеристик
Основные характеристики динамических звеньев и систем.
1) Статические: это зависимость изменения выходной величины от изменения входной величины в установившемся режиме.
2) Динамические: временные и частотные.
Временная характеристика звена системы – закон изменения выходной величины в функции времени при изменении входной величины по определенному закону и при условии, что до приложения внешнего воздействия звено находилось в покое. Зависит от характера звена.
Типовые внешние воздействия
Воздействие с наиболее неблагоприятным законом изменения.
Воздействие с законом наиболее близким к реальному
С наиболее простым математическим описанием
Типовой набор:
1) Ступенчатое воздействие при t=0,входная величина X
2) Линейное воздействие с постоянной скоростью
М
еталлообработка
Степенное
воздействие –
3) Импульсное–кратковременный импульс с большой амплитудой и малой длительностью.
–
Ударные нагрузки
4) Гармонические воздействия – одна входная величина изменяет по синусоидальному или косинусоидальному закону.
– Вибрации
5) Переходная функция звена – реакция звена на единичное ступенчатое воздействие.
Y(p)=W(p)*X(p); H(p)=>W(p)/p; L{1(t)}=1/p; h(t)=L-1[W(p)/p]
6) Импульсная переходная или весовая функция – реакция звена на импульсное воздействие в виде δU
Y(p)=W(p)*X(p); L[δ(t)]=1; K(p)=W(p)*1; k(t)=L-1[W(p)]; W(p)=pH(p)=k(p); k(t)=dh/dt
Достоинством временных характеристик является то, что они могут быть получены экспериментально.
