Контрольная работа по математике
Студент выполняет тот вариант контрольной работы, который совпадает с номером в списке группы
Часть 1
№ варианта |
№ задания |
||
1 |
1 |
21 |
41 |
2 |
2 |
22 |
42 |
3 |
3 |
23 |
43 |
4 |
4 |
24 |
44 |
5 |
5 |
25 |
45 |
6 |
6 |
26 |
46 |
7 |
7 |
27 |
47 |
8 |
8 |
28 |
48 |
9 |
9 |
29 |
49 |
10 |
10 |
30 |
50 |
11 |
11 |
31 |
51 |
12 |
12 |
32 |
52 |
13 |
13 |
33 |
53 |
14 |
14 |
34 |
54 |
15 |
15 |
35 |
55 |
16 |
16 |
36 |
56 |
17 |
17 |
37 |
57 |
18 |
18 |
38 |
58 |
19 |
19 |
39 |
59 |
20 |
20 |
40 |
60 |
В задачах 1-20 даны координаты вершин треугольника АВС. Требуется найти: 1) длину стороны АВ; 2) уравнение сторон АВ и АС и их угловые коэффициенты; 3) уравнение медиан, проведенных из вершин А и В, и точку пересечения медиан; 4) угол А в радианах с точностью до двух знаков; 5) уравнение высот СТ, проведенной из вершины С, и длину этой высоты;
6) координаты точки М, расположенной симметрично точке А относительно прямой СТ.
А (-5; 8), В (4; -4), С (10; 13).
А (-6; 7), В (3; -5), С (9; 12).
А (-3; 10), В (6; -2), С (12; 15).
А (-1; 5), В (8; -7), С (14; 10).
А (-4; 0), В (5; -12), С (11; 5).
А (0; 4), В (9; -8), С (15; 9).
А (-7; 2), В (2; -10), С (8; 7).
А (-8; 6), В (1; -6), С (7; 11).
А (-9; 1), В (0; -11), С (6; 6).
А (1; 3), В (10; -9), С (16; 8).
А (-4; 2), В (4; -4), С (6; 5).
А (-2; 1), В (6; -5), С (8; 4).
А (-3; -3), В (5; -9), С (7; 0).
А (2; 2), В (10; -4), С (12; 5).
А (4; -1), В (12; -7), С (14; 2).
А (-6; -2), В (2; -8), С (4; 1).
А (-8; -4), В (0; -10), С (2; -1).
А (-5; 5), В (3; -1), С (5; 8).
А (6; 2), В (14; - 4), С (16; 5).
А (-4; -1), В (4; -7), С (6; 2).
В задачах 21-40 даны координаты точек А, В, С, М.
Требуется найти: 1) уравнение плоскости Q, проходящей через точкиА, В и С;
2) канонические уравнения прямой, проходящей через точку М перпендикулярно плоскости Q.
А (2; 1; 3) В (3; -2; -4) С (-1; -3; -2) М (5; -3; 4)
А (6; -5; 5) В (-2; -1; 3) С (1; -3; -4) М (6; -5; 5)
А (-3; -2; 2) В (-2; -1; 3) С (1; -2; -2) М (-1; 9; -2)
А (-1; 0; 4) В (2; 2; 5) С (-2; -3; -1) М (4; -1; 3)
А (-2; 0; 5) В (1; -4; -6) С (3; 2; 4) М (2; 3; 1)
А (2; 1; -1) В (0; 3; -1) С (5; 2; 1) М (-2; -1; 5)
А (2; 3; 0) В (3; 4; 1) С (-2; 5; -1) М (3; 4; -5)
А (-3; 0; -4) В (2; 7; 2) С (4; -1; -1) М (-3; -2; 7)
А (1; -4; -4) В (-1; 0; -3) С (2; 5; 1) М (5; 6; -9)
А (3; 2; 0) В (5; -2; -1) С (-4; 3; -3) М (2; 3; -3)
А (2; -1; 3) В (-1; 2; 0) С (1; -4; -2) М (1; 2; -2)
А (-3; 4; -2) В (1; -3; -1) С (-1; -2; -4) М (3; 2; -4)
А (1; 2; 4) В (-5; 3; -7) С (4; -2; 6) М (-2; -3; -1)
А (-2; 1; -3) В (-4; 2; -6) С (3; -5; 1) М (6; 5; -7)
А (-1; 4; 2) В (3; -2; 4) С (5; -3; 7) М (-2; -5; 3)
А (-5; 3; -7) В (1; 1; 3) С (-1; 4; 2) М (3; 3; 3)
А (1; 3; 5) В (2; -1; 3) С (1; -4; -2) М (-4; -1; 3)
А (-3; 2; -4) В (-1; -2; -4) С (4; -1; 7) М (-4; 2; 6)
А (-1; 3; 1) В (5; -5; 5) С (-3; 5; -1) М (8; -2; 2)
А (4; -7; 1) В (3; -5; 1) С (2; 0; 4) М (-2; -4; 4)
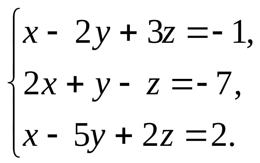
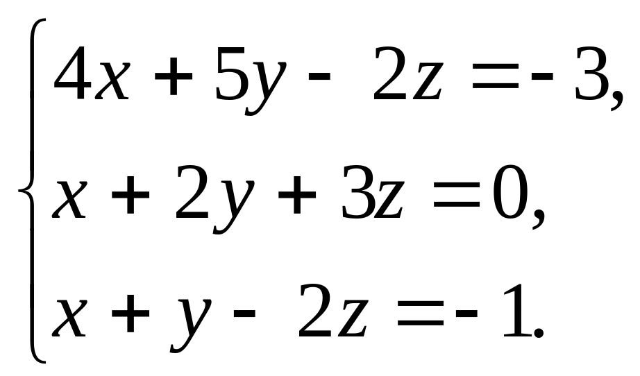
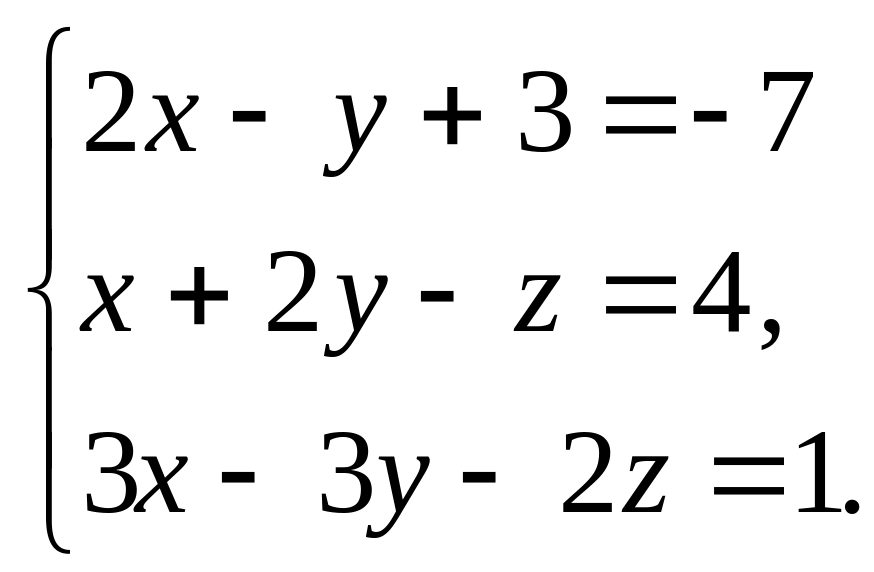
В задачах 41-60 требуется решить систему трех уравнений с тремя неизвестными по формулам Крамера и с помощью обратной матрицы.
41 51.
42. 52.
43. 53.
44. 54.
45. 55.
46. 56.
47. 57.
48. 58.
49. 59.
50. 60.
