- •1. Условие задачи
- •2. Анализ задания
- •3. Теоретические сведения
- •4. Схемы алгоритмов и форма Delphi-приложения
- •Подпрограмма Tab
- •Подпрограмма-функция f4
- •Подпрограмма-функция f
- •Подпрограмма bFind
- •Форма Delphi-приложения
- •Внешний вид формы для решения задачи представлен на рисунке
- •5. Текст программы и результаты выполнения
- •6. Набор тестов
- •7. Выводы
- •8. Список использованной литературы
МОСКОВСКИЙ АВИАЦИОННЫЙ ИНСТИТУТ
(НАЦИОНАЛЬНЫЙ ИССЛЕДОВАТЕЛЬСКИЙ УНИВЕРСИТЕТ)
«МАИ»
Кафедра 403
Расчётно-графическая работа
по дисциплине: «Информатика»
на тему:
«Разработка алгоритмов и программ решения алгебраических задач
численными методами»
Вариант № 40
Выполнил: студент группы 110Б Влад Андреев
Проверила: Кошелькова Л.В.
Москва 2016
Содержание
Условие задачи (Вариант 40)................…..……………………...………………..3
Анализ задания……………………………………………….………….…..…….3
Теоретические сведения………………………….…………………….…..……..4
Схемы алгоритмов и форма Delphi-приложения…………………………...…...6
Текст программы на языке программирования Delphi и результаты ее выполнения………………………………………...…………………...…….…..16
Набор тестов…………………………………………………………….......……22
Выводы…...………………………………………….……………………...…….25
Список использованной литературы……………………….…………..………26
1. Условие задачи
Разработать схему алгоритма и программу вычисления таблицы значений функции при заданных значениях аргумента и параметров.
Функция:
Параметр А принимает значения от An до Аk с шагом Dx.
Аргумент X принимает N значений от Xn с шагом Dx.
Параметр B равен значению корня уравнения, вычисленному в пределах от c до d с погрешностью Eps.
Уравнение:
2. Анализ задания
Входными данными в этой задаче являются:
An – начальное значение параметра
Ak – конечное значение параметра
Da – шаг, с которым изменяется параметр
Xn – начальное значение аргумента
Dx – шаг значений аргумента
N – количество значений аргумента
Для вычисления корня уравнения используются
следующие входные данные:
c – нижняя граница области интегрирования
d – верхняя граница области интегрирования
Eps – погрешность вычисления
Km – предельное число итераций
Выходными данными являются:
Массив значений параметра Ma
Массив значений аргумента Mx
Массив значений функций My
В соответствии с принципами структурного программирования
в алгоритме присутствуют подпрограммы:
Очистка таблицы значений функции и графика от результатов предыдущих вычислений (ClearRez)
Вычисление корня уравнения (BFind)
Табулирование функции (Tab)
Обработка возможных ошибок (ProcErrorHappened)
3. Теоретические сведения
Метод трапеций для оценки определенного интеграла.
Величина определенного интеграла численно равна площади фигуры, образованной графиком функции и осью абсцисс (геометрический смысл определенного интеграла).
Следовательно, найти интеграл – это значит оценить площадь фигуры, ограниченной перпендикулярами, восстановленными к графику подынтегральной функции f(x) из точек a и b, расположенных на оси аргумента x.
Для решения задачи разобьем интервал [a, b] на n одинаковых участков. Длина каждого участка будет равна h=(b-a)/n (см. рис.).
Восстановим перпендикуляры из каждой точки до пересечения с графиком функции f(x). Если заменить полученные криволинейные фрагменты графика функции отрезками прямых, то тогда приближенно площадь фигуры, а следовательно и величина определенного интеграла оценивается как площадь всех полученных трапеций. Обозначим последовательно значения подынтегральных функций на концах отрезков f0, f1, f2,..., fn и подсчитаем площадь трапеций
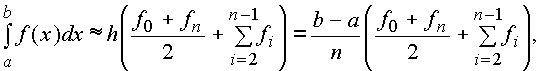
В общем случае формула трапеций принимает вид
где fi – значение подынтегральной функции в точках разбиения интервала (a,b) на равные участки с шагом h; f0, fn – значения подынтегральной функции соответственно в точках a и b.
Остаточный член пропорционален длине интервала [a,b] и квадрату шага h
Согласно рис. и формуле остаточного члена, точность вычисления определенного интеграла повышается с уменьшением шага h(увеличением числа отрезков n).
Метод трапеций можно реализовать в виде процедуры или даже функции, поскольку результат вычисления определенного интеграла – скалярная величина. Параметрами программного модуля являются границы интервала (a и b) и число шагов разбиения на малые интервалы n.
