- •1. Линейная алгебра
- •1.10. Решить уравнение: .
- •1.6. Вычислить определитель
- •1.16. Решить системы линейных уравнений по формулам Крамера:
- •1.18. Решить слу методом Гаусса:
- •2. Векторная алгебра
- •4. Введение в анализ
- •Занятие 7. Алгебраические пределы
- •Занятие 8. Замечательные пределы. Эквивалентные бесконечно малые
- •Занятие 9. Непрерывность функции
1. Линейная алгебра
Умножение матриц. Обратная матрица |
|
|
|
В |
|
|
|
Решение СЛАУ. Формулы Крамера |
|
|
|
Занятие 1. Определители. Операции над матрицами
1.1.
Вычислить определитель
Устно. Вычислить определители:
|
1.3. Решить уравнение:
Устно. 1. Выполнить действия
2.
Найти
|
1.5. Дано:
Выполнить
действия (если возможно):
Домашнее задание. (5шт)
1.9.
Решить
неравенство:
.
1.10. Решить уравнение: .
1.11а.
Вычислить определитель:
1.12.
Дано:
;
.
Найти АВ–ВА.
1.13.
Дано:
Найти
.
Занятие 2
Устно.
Вычислить определитель разложением
по 1-й строке:
|
1.6. Вычислить определитель
1.7. Определить, существует ли матрица, обратная к данной. Если да – найти обратную матрицу.
1.8.
Найти матрицу
:
а)
;
б)
.
Домашнее задание. (2шт)
1.11б.
Вычислить определитель
1.11в. Найти матрицы, обратные к данным и сделать проверку.
Ответы.
1.1.
6. 1.3.
-4. 1.5.
а)
действие невыполнимо; б)
в)
действие невыполнимо;
г)
;
д)
;
е)
(-4);
ж)
.
1.6.
-9.
1.7.
а)
;
б)
не существует; в)
;
г)
не существует.
1.8.
а)
;
б)
1.9.
.
1.10.
.
1.11а)
0; 1.11б)
20.
1.12.
.
1.13.
Занятие 3. Решение СЛАУ
1.14. Решить системы линейных уравнений по формулам Крамера:
1.15. Решить СЛУ методом Гаусса:
Домашнее задание. (7шт)
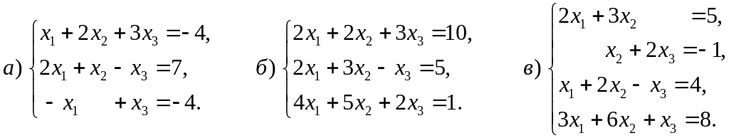
1.16. Решить системы линейных уравнений по формулам Крамера:
1.17.
Применяя формулы Крамера, найти
из системы:
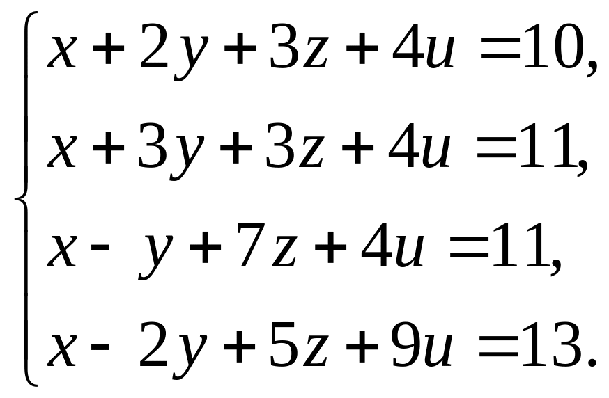
1.18. Решить слу методом Гаусса:
Ответы.
1.14.
а)
;
б)
.
1.15.
а)
;
б)
система
несовместна; в)
;
г)
;
д)
.
1.16.
а)
;
б)
.
1.17. 1.
1.18.
а)
;
б)
;
в)
система
несовместна; г)
.
Задания для СРС. Решение СЛУ матричным методом. (3шт) 1. Решить системы линейных уравнений матричным методом:
Ответы. 1.
а) |
2. Векторная алгебра
|
|
|
|
|
||
середина
отрезка расстояние
между точками
|
|
Линейные
операции коллинеарность |
||||
Скалярное произведение (ЧИСЛО) |
Векторное произведение (ВЕКТОР) |
Смешанное произведение (ЧИСЛО) |
|
|
|
Занятие 4. Линейные операции над векторами
2.1.
В треугольнике ABC
:
построить
2.2.
В параллелепипеде
.
Построить
Устно. Коллинеарны ли векторы:
|
2.3.
При каких значениях
векторы
и
коллинеарны?
Устно.
Найти координаты вектора
|
|
в
1
Х
1
A
|
г
|
2.4.
Даны две вершины параллелограмма:
и точка пересечения его диагоналей
.
Определить две другие вершины.
Устно.
Дано:
|
2.5.
Дано:
.
Найти разложение вектора
по базису
.
2.6.
Найти орт и направляющие косинусы
вектора
.
Домашнее задание. (4 шт)
2.7.
Известно:
.
Найти координаты точки
.
2.8.
Точка О – центр масс треугольника АВС.
Найти
.
2.9.
Дано:
,
.
Разложить вектор
по базису
.
2.10.
Известно, что вектор
составляет острые углы с осями координат.
С осью ОХ
,
с
осью
OZ
.
Найти его координаты, если
.
Ответы.
2.3.
2.4.
.
2.5.
2.6.
.
2.7.
.
2.8.
.
2.9.
2.10.
.
Занятие 5. Скалярное и векторное произведение
Устно.
1) Найти скалярное произведение
векторов
2)
Найти длины векторов:
3)
При каком значении
|
2.11.
Дано:
.
Вычислить
.
2.12.
Векторы
и
образуют угол
,
зная, что
.
Вычислить угол между диагоналями
параллелограмма, построенного на
векторах
и
.
2.13.
На материальную точку действуют силы
.
Найти работу равнодействующей этих
сил
при перемещении точки из положения
в положение
.
2.31.
Найти площадь параллелограмма,
построенного на векторах
и
,
где
,
и
.
Устно.
Дано:
|
2.32.
Даны точки
.
Вычислить площадь треугольника АВС
и
длину высоты
.
Домашнее задание. (7шт)
2.14.
Дано:
.
Найти модуль вектора
.
2.15.
Даны вершины треугольника
.
Определить его внутренний угол при
вершине В.
2.40.
Дано:
.
Вычислить
.
2.42.
Даны последовательно координаты вершин
параллелограмма:
.
Найти площадь параллелограмма
и длину высоты
.
2.43.
Силы
приложены к точке
.
Найти величину и направляющие косинусы
момента равнодействующей этих сил
относительно точки
.
2.44.
При каком значении
компланарны векторы
?
2.45.
Даны вершины тетраэдра:
.
Найти: а) угол
;
б) площадь основания
в)
объем тетраэдра
;
г)
длину высоты тетраэдра
.
Ответы.
2.11.
–11. 2.12.
2.13. 1. 2.14.
.
2.15.
.
2.31. 25. 2.32. 14 ,
.
2.40.
.
2.42.
.
2.43.
2.44.
.
2.45.
ЗАДАНИЕ ДЛЯ СРС. Смешанное произведение. 1.
Лежат ли точки
2.
Векторы
,
и
3.
Даны вершины тетраэдра
Ответы. 1. да. 2. 24. 3. 11. |
Занятие 6. Контрольная работа «Линейная и векторная алгебра»
Вариант контрольной работы «Элементы линейной матрицы». Задание
1.
Матричным
методом найти y
из системы:
Задание
2. Решить систему линейных уравнений
В случае если система совместна, выполнить проверку. Задание
3. По формулам Крамера найти х
из системы
Задание
4. Решить матричное уравнение
Е - единичная матрица соответствующего порядка. Ответы. |
||||||
Вариант контрольной работы «Элементы векторной алгебры». Задание
1.Дано:
Задание
2. Найти орт и направляющие косинусы
вектора
(см. чертеж).
Задание
3. Дано:
Задание
4.
Найти
разложение вектора
|
||||||

ычисление
определителей
.
.
)
)
.