- •5. Находим
- •Повторите теоретические положения по теме и записать определение, формулы расчета и т.П.
- •Выполните задание, согласно своего варианта. Исходные данные возьмите в приложении.
- •3.Сделайте выводы по результатам работы
- •Повторите теоретические положения по теме и записать определение, формулы расчета и т.П.
- •Выполните задание, согласно своего варианта. Исходные данные возьмите в приложении.
- •Повторите теоретические положения по теме и записать определение, формулы расчета и т.П.
- •Выполните задание, согласно своего варианта. Исходные данные возьмите в приложении.
- •Повторите теоретические положения по теме и записать определение, формулы расчета и т.П.
- •Выполните задание, согласно своего варианта. Исходные данные возьмите в приложении.
- •Повторите теоретические положения по теме и записать определение, формулы расчета и т.П.
- •Выполните задание, согласно своего варианта. Исходные данные возьмите в приложении.
- •Сделайте выводы по результатам работы
- •3. Вертикальных асимптот у графика нет, поскольку функция непрерывна на всей числовой прямой. Горизонтальной асимптотой является ось Ox, так как
- •4. Находим
- •5. Находим
- •Повторите теоретические положения по теме и записать определение, формулы расчета и т.П.
- •Выполните задание, согласно своего варианта. Исходные данные возьмите в приложении.
- •3.Сделайте выводы по результатам работы
- •Повторите теоретические положения по теме и записать определение, формулы расчета и т.П.
- •Выполните задание, согласно своего варианта. Исходные данные возьмите в приложении.
- •Повторите теоретические положения по теме и записать определение, формулы расчета и т.П.
- •Выполните задание, согласно своего варианта. Исходные данные возьмите в приложении.
- •Повторите теоретические положения по теме и записать определение, формулы расчета и т.П.
- •Выполните задание, согласно своего варианта. Исходные данные возьмите в приложении.
- •Повторите теоретические положения по теме и записать определение, формулы расчета и т.П.
- •Выполните задание, согласно своего варианта. Исходные данные возьмите в приложении.
- •Сделайте выводы по результатам работы
- •3. Вертикальных асимптот у графика нет, поскольку функция непрерывна на всей числовой прямой. Горизонтальной асимптотой является ось Ox, так как
- •4. Находим
- •5. Находим
- •Повторите теоретические положения по теме и записать определение, формулы расчета и т.П.
- •Выполните задание, согласно своего варианта. Исходные данные возьмите в приложении.
- •3.Сделайте выводы по результатам работы
- •Повторите теоретические положения по теме и записать определение, формулы расчета и т.П.
- •Выполните задание, согласно своего варианта. Исходные данные возьмите в приложении.
- •Повторите теоретические положения по теме и записать определение, формулы расчета и т.П.
- •Выполните задание, согласно своего варианта. Исходные данные возьмите в приложении.
- •Повторите теоретические положения по теме и записать определение, формулы расчета и т.П.
- •Выполните задание, согласно своего варианта. Исходные данные возьмите в приложении.
- •Повторите теоретические положения по теме и записать определение, формулы расчета и т.П.
- •Выполните задание, согласно своего варианта. Исходные данные возьмите в приложении.
- •Сделайте выводы по результатам работы
- •3. Вертикальных асимптот у графика нет, поскольку функция непрерывна на всей числовой прямой. Горизонтальной асимптотой является ось Ox, так как
- •4. Находим
- •5. Находим
- •Повторите теоретические положения по теме и записать определение, формулы расчета и т.П.
- •Выполните задание, согласно своего варианта. Исходные данные возьмите в приложении.
- •3.Сделайте выводы по результатам работы
- •Повторите теоретические положения по теме и записать определение, формулы расчета и т.П.
- •Выполните задание, согласно своего варианта. Исходные данные возьмите в приложении.
- •Повторите теоретические положения по теме и записать определение, формулы расчета и т.П.
- •Выполните задание, согласно своего варианта. Исходные данные возьмите в приложении.
- •Повторите теоретические положения по теме и записать определение, формулы расчета и т.П.
- •Выполните задание, согласно своего варианта. Исходные данные возьмите в приложении.
- •Повторите теоретические положения по теме и записать определение, формулы расчета и т.П.
- •Выполните задание, согласно своего варианта. Исходные данные возьмите в приложении.
- •Сделайте выводы по результатам работы
- •3. Вертикальных асимптот у графика нет, поскольку функция непрерывна на всей числовой прямой. Горизонтальной асимптотой является ось Ox, так как
- •4. Находим
- •5. Находим
- •Повторите теоретические положения по теме и записать определение, формулы расчета и т.П.
- •Выполните задание, согласно своего варианта. Исходные данные возьмите в приложении.
- •3.Сделайте выводы по результатам работы
- •Повторите теоретические положения по теме и записать определение, формулы расчета и т.П.
- •Выполните задание, согласно своего варианта. Исходные данные возьмите в приложении.
- •Повторите теоретические положения по теме и записать определение, формулы расчета и т.П.
- •Выполните задание, согласно своего варианта. Исходные данные возьмите в приложении.
- •Повторите теоретические положения по теме и записать определение, формулы расчета и т.П.
- •Выполните задание, согласно своего варианта. Исходные данные возьмите в приложении.
- •Повторите теоретические положения по теме и записать определение, формулы расчета и т.П.
- •Выполните задание, согласно своего варианта. Исходные данные возьмите в приложении.
- •Сделайте выводы по результатам работы
- •3. Вертикальных асимптот у графика нет, поскольку функция непрерывна на всей числовой прямой. Горизонтальной асимптотой является ось Ox, так как
- •4. Находим
- •5. Находим
- •Повторите теоретические положения по теме и записать определение, формулы расчета и т.П.
- •Выполните задание, согласно своего варианта. Исходные данные возьмите в приложении.
- •3.Сделайте выводы по результатам работы
- •Повторите теоретические положения по теме и записать определение, формулы расчета и т.П.
- •Выполните задание, согласно своего варианта. Исходные данные возьмите в приложении.
- •Повторите теоретические положения по теме и записать определение, формулы расчета и т.П.
- •Выполните задание, согласно своего варианта. Исходные данные возьмите в приложении.
- •Повторите теоретические положения по теме и записать определение, формулы расчета и т.П.
- •Выполните задание, согласно своего варианта. Исходные данные возьмите в приложении.
Практическая работа №2. Вычисление пределов функции. Применение производной к исследованию функции. Неопределенный интеграл. Нахождение неопределенных интегралов различными методами.
Цель работы. Сформировать навыки вычисления пределов последовательностей и пределов функций. Сформировать умение находить производные сложных функций, усвоить геометрический и физический смысл производной. Сформировать навыки нахождения неопределенных интегралов различными методами
Порядок выполнения работы:
Повторите теоретические положения по теме и записать определение, формулы расчета и т.п.
Выполните задание, согласно своего варианта. Исходные данные возьмите в приложении.
Сделайте выводы по результатам работы
Вариант1.
Задание
1. Раскрыть
неопределённость
и
найти предел
.
Решение.
Здесь
старшая степень переменной n равна
2. Поэтому почленно делим числитель и
знаменатель на
:
.
Получаем
ответ: предел данной функции при
переменной, стремящейся к бесконечности,
равен
.
Задание 2. Исследовать функцию
и построить её график.
Решение.
1. Область определения функции – вся числовая прямая. Множеством значений данной функции, как и всякой показательной функции, служит интервал ]0, +∞[. Поэтому график функции расположен выше оси Ox,
2. Напомним: из школьного курса известно, что функция y = f(x) называется чётной, если
для
всех x,
принадлежащих области определения
функции.
.
График чётной функции симметричен относительно оси Oy, так как, по определению, вместе с любой своей точкой (x; y) он содержит и точку (-x; y).
Функция y = f(x) называется нечётной, если
для
всех x,
принадлежащих области определения
функции.
График нечётной функции симметричен относительно начала координат, так как, по определению, вместе с любой своей точкой (x; y) он содержит и точку (-x; -y).
Наша исследуемая функция чётная, так как
её график симметричен относительно оси Oy. Поэтому исследование можно выполнять только для ]0, +∞[.
3. Вертикальных асимптот у графика нет, поскольку функция непрерывна на всей числовой прямой. Горизонтальной асимптотой является ось Ox, так как
Поскольку кривая имеет двустороннюю горизонтальную асимптоту y = 0, у неё не может быть наклонных асиптот.
4. Находим
Из уравнения
имеем
Так
как
при
переходе через значение x =
0 меняет знак с плюса на минус, то
функция в точке x =
0 переходит от возрастания к убыванию,
а (0; 1) – точка максимума. Касательная
к кривой в этой точке горизонтальна,
поскольку
5. Находим
Из уравнения
получаем
т.е.
Учитывая
чётность функции, исследуем знаки
в
окрестности только точки
Следовательно, при x = 1 кривая меняет выпуклость на вогнутость. Так как
то
точка перегиба кривой. Угловой коэффициент касательной в кривой в этой точке
поэтому в точке перегиба касательная образует с осью Ox тупой угол.
6. График не пересекает оси Ox, поскольку он расположен выше неё. Найдём точки пересечения кривой с осью Oy: полагая x = 0, имеем
Тем самым получим точку (0; 1) графика, которая совпадает с точкой максимума.
7. Составим сводную таблицу исследования функции, куда внесём все характерные точки и интервалы между ними. Учитывая чётность функции, получаем следующую таблицу:
|
|
|
|
Особенности графика |
[-1, 0[ |
+ |
- |
Возрастает |
Выпуклый |
0 |
0 |
- |
1 |
(0; 1) – точка максимума |
]0, 1[ |
- |
- |
Убывает |
Выпуклый |
1 |
- |
0 |
|
|
]1, +∞[ |
- |
+ |
Убывает |
Вогнутый |
+∞ |
- |
+ |
|
y = 0 – горизонтальная асимптота |
8. Используя результаты исследования, строим график функции
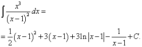
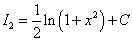
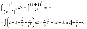
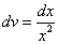
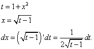
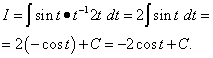
Задание 3. Найти неопределённый интеграл методом замены переменной:
Решение. Положим x – 1 = t ; тогда x = t + 1. Отсюда dx = dt . По формуле (1)
Возвращаясь к переменной x, окончательно получаем
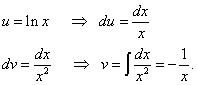
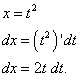
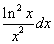
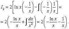
Задание 4. Найти неопределённый интеграл:
.
Решение.
Пусть
,
.
Логарифм
присутствует в квадрате. Это значит,
что его нужно дифференцировать как
сложную функцию. Находим
,
.
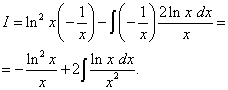
Применяя формулу интегрирования по частям, получаем:
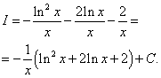
Второй интеграл вновь находим по частям.
Находим изначальный интеграл:
Вывод. В ходе выполнения этой работы я научился вычислять пределы функции, проводить исследование функций с помощь производной. Закрепил навыки нахождения интегралов различными методами.
Практическая работа №2. Вычисление пределов функции. Применение производной к исследованию функции. Неопределенный интеграл. Нахождение неопределенных интегралов различными методами.
Цель работы. Сформировать навыки вычисления пределов последовательностей и пределов функций. Сформировать умение находить производные сложных функций, усвоить геометрический и физический смысл производной. Сформировать навыки нахождения неопределенных интегралов различными методами
Порядок выполнения работы:
Повторите теоретические положения по теме и записать определение, формулы расчета и т.П.
Выполните задание, согласно своего варианта. Исходные данные возьмите в приложении.
3.Сделайте выводы по результатам работы
Вариант 2.
Задание
1.
Раскрыть неопределённость
и
найти предел
.
Решение. Здесь старшая степень переменной x равна 1. Поэтому почленно делим числитель и знаменатель на x:
.
Задание
2.
Исследовать
функцию
и
построить ее график.
Решение. 1) Область определения функции.
2) Четность, нечетность.
Функция общего вида.
3) Точки пересечения с осями.
а)
с осью
:
то
есть точки
б)
с осью
:
в данной точке функция неопределенна.
4) Асимптоты.
а)
вертикальные: прямые
и
-
вертикальные асимптоты.
б) горизонтальные асимптоты:
то
есть прямая
-
горизонтальная асимптота.
в)
наклонные асимптоты
:
Таким образом, наклонных асимптот нет.
5) Критические точки функции, интервалы возрастания, убывания.
Найдем
точки, в которых первая производная
равна нулю или не существует:
для
любого
из
области определения функции;
не
существует при
и
.
Таким образом, функция убывает на всей области существования. Точек экстремума нет.
6) Точки перегиба, интервалы выпуклости, вогнутости.
Найдем
точки, в которых вторая производная
равна нулю или не существует:
;
при
и
вторая
производная не существует.
Таким
образом, на промежутках
и
функция
вогнута, а на промежутках
и
-
выпукла. Так как при переходе через
точку
вторая
производная поменяла знак, то эта точка
является точкой перегиба.
7) Эскиз графика.
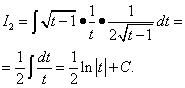
Задание 3. Найти неопределённый интеграл методом замены переменной:
.
Решение.
Положим
.
Отсюда
.
По
формуле (1)
.
Возвращаясь к переменной x, окончательно получаем
Задание 4. Найти неопределённый интеграл методом интегрирования по частям:
.
Решение.
Пусть
,
.
Тогда
,
.
Применяя формулу интегрирования по частям, получаем:
Второй интеграл находим методом замены переменной.
Возвращаясь к переменной x, получаем
.
Находим изначальный интеграл:
Вывод. В ходе выполнения этой работы я научился вычислять пределы функции, проводить исследование функций с помощь производной. Закрепил навыки нахождения интегралов различными методами.
Практическая работа №2. Вычисление пределов функции. Применение производной к исследованию функции. Неопределенный интеграл. Нахождение неопределенных интегралов различными методами.
Цель работы. Сформировать навыки вычисления пределов последовательностей и пределов функций. Сформировать умение находить производные сложных функций, усвоить геометрический и физический смысл производной. Сформировать навыки нахождения неопределенных интегралов различными методами
Порядок выполнения работы:
