- •Задача 2. Решить задачу графическим методом.
- •Расчетно-графическая работа 2. Задача 4. Простой симплексный метод
- •Задача № 5. Симплексный метод с искусственным базисом. Решить симплекс-методом задачу лп:
- •Расчетно-графическая работа 4. Задача 6.Транспортная задача.
- •Задача 2.
- •Задача 3.
- •Расчетно-графическая работа 2. Задача 4. Простой симплексный метод
- •Задача № 5. Симплексный метод с искусственным базисом. Решить симплекс-методом задачу лп:
- •Расчетно-графическая работа 4. Задача 6. Транспортная задача.
- •Задача 2. Решить задачу графическим методом.
- •Задача 3.
- •Расчетно-графическая работа 2. Задача 4. Простой симплексный метод
- •Задача № 5. Симплексный метод с искусственным базисом.
- •Расчетно-графическая работа 4. Задача 6. Транспортная задача.
- •Задача 2.
- •Задача 3.
- •Расчетно-графическая работа 2. Задача 4. Простой симплексный метод
- •Задача № 5. Симплексный метод с искусственным базисом.
- •Расчетно-графическая работа 4. Задача 6. Транспортная задача.
- •Задача 2.
- •Задача 3.
- •Расчетно-графическая работа 2. Задача 4. Простой симплексный метод .
- •Задача № 5. Симплексный метод с искусственным базисом.
- •Расчетно-графическая работа 4. Задача 6. Транспортная задача.
- •Задача 2.
- •Задача 3.
- •Расчетно-графическая работа 2. Задача 4. Простой симплексный метод
- •Задача № 5. Симплексный метод с искусственным базисом.
- •Расчетно-графическая работа 4. Задача 6. Транспортная задача.
- •Задача 2.
- •Задача 3.
- •Расчетно-графическая работа 2. Задача 4. Простой симплексный метод
- •Задача № 5. Симплексный метод с искусственным базисом.
- •Расчетно-графическая работа 4. Задача 6. Транспортная задача.
- •Задача 2. Решить задачу графическим методом.
- •Задача 3.
- •Расчетно-графическая работа 2. Задача 4. Простой симплексный метод.
- •Задача № 5. Симплексный метод с искусственным базисом.
- •Расчетно-графическая работа 4. Задача 6. Транспортная задача.
- •Задача 2.
- •Задача 3.
- •Расчетно-графическая работа 2. Задача 4. Простой симплексный метод.
- •Задача № 5. Симплексный метод с искусственным базисом.
- •Расчетно-графическая работа 4. Задача 6. Транспортная задача.
- •Задача 2. Решить задачу графическим методом.
- •Задача 3.
- •Расчетно-графическая работа 2. Задача 4. Простой симплексный метод.
- •Задача № 5. Симплексный метод с искусственным базисом.
- •Расчетно-графическая работа 4. Задача 6. Транспортная задача.
- •Задача 2.
- •Задача 3.
- •Расчетно-графическая работа 2. Задача 4. Простой симплексный метод.
- •Задача № 5. Симплексный метод с искусственным базисом.
- •Расчетно-графическая работа 4. Задача 6. Транспортная задача.
- •Задача 2.
- •Расчетно-графическая работа 2. Задача 4. Простой симплексный метод.
- •Задача № 5. Симплексный метод с искусственным базисом.
- •Расчетно-графическая работа 4. Задача 6. Транспортная задача.
- •Задача 2.
- •Задача 3.
- •Расчетно-графическая работа 2. Задача 4. Простой симплексный метод.
- •Задача № 5. Симплексный метод с искусственным базисом.
- •Расчетно-графическая работа 4. Задача 6. Транспортная задача.
- •Задача 2. Решить задачу графическим методом.
- •Задача 3.
- •Расчетно-графическая работа 2. Задача 4. Простой симплексный метод.
- •Задача № 5. Симплексный метод с искусственным базисом.
- •Расчетно-графическая работа 4. Задача 6. Транспортная задача.
- •Задача 2.
- •Задача 3.
- •Расчетно-графическая работа 2. Задача 4. Простой симплексный метод.
- •Задача № 5. Симплексный метод с искусственным методом.
- •Расчетно-графическая работа 4. Задача 6. Транспортная задача.
- •Задача 2.
- •Задача 3.
- •Расчетно-графическая работа 2. Задача 4. Простой симплексный метод.
- •Задача № 5. Симплексный метод с искусственным базисом.
- •Расчетно-графическая работа 4. Задача 6. Транспортная задача.
- •Задача 3.
- •Расчетно-графическая работа 2. Задача 4. Простой симплексный метод.
- •Задача № 5. Симплексный метод с искусственным базисом.
- •Расчетно-графическая работа 4. Задача 6. Транспортная задача.
- •Задача 2.
- •Задача 3.
- •Расчетно-графическая работа 2. Задача 4. Простой симплексный метод.
- •Задача № 5. Симплексный метод с искусственным базисом.
- •Расчетно-графическая работа 4. Задача 6. Транспортная задача.
- •Задача 2.
- •Задача 3.
- •Расчетно-графическая работа 2. Задача 4. Простой симплексный метод.
- •Задача № 5. Симплексный метод с искусственным базисом.
- •Расчетно-графическая работа 4. Задача 6. Транспортная задача.
- •Задача 2.
- •Задача 3.
- •Расчетно-графическая работа 2. Задача 4. Простой симплексный метод.
- •Задача № 5. Симплексный метод с искусственным базисом.
- •Расчетно-графическая работа 5. Задача 6. Транспортная задача.
- •Задача 2. Решить задачу графическим методом.
- •Задача 3.
- •Расчетно-графическая работа 2. Задача 4. Простой симплексный метод
- •Задача № 5. Симплексный метод с искусственным базисом. Решить симплекс-методом задачу лп:
- •Расчетно-графическая работа 4. Задача 6. Транспортная задача.
- •Задача 2.
- •Задача 3.
- •Расчетно-графическая работа 2. Задача 4. Простой симплексный метод
- •Задача № 5. Симплексный метод с искусственным базисом. Решить симплекс-методом задачу лп:
- •Расчетно-графическая работа 4. Задача 6.Транспортная задача.
- •Задача 2. Решить задачу графическим методом.
- •Задача 3.
- •Расчетно-графическая работа 2. Задача 4. Простой симплексный метод
- •Задача № 5. Симплексный метод с искусственным базисом.
- •Расчетно-графическая работа 4. Задача 6. Транспортная задача.
- •Задача 2.
- •Задача 3.
- •Расчетно-графическая работа 2. Задача 4. Простой симплексный метод
- •Задача № 5. Симплексный метод с искусственным базисом.
- •Расчетно-графическая работа 4. Задача 6. Транспортная задача.
- •Задача 2.
- •Задача 3.
- •Расчетно-графическая работа 2. Задача 4. Простой симплексный метод.
- •Задача № 5. Симплексный метод с искусственным базисом.
- •Расчетно-графическая работа 4. Задача 6. Транспортная задача.
- •Задача 2.
- •Задача 3.
- •Расчетно-графическая работа 2. Задача 4. Простой симплексный метод
- •Задача № 5. Симплексный метод с искусственным базисом.
- •Расчетно-графическая работа 4. Задача 6. Транспортная задача.
- •Задача 2.
- •Задача 3.
- •Расчетно-графическая работа 2. Задача 4. Простой симплексный метод
- •Задача № 5. Симплексный метод с искусственным базисом.
- •Расчетно-графическая работа 4. Задача 6. Транспортная задача.
- •Задача 2.
- •Задача 3.
- •Расчетно-графическая работа 2. Задача 4. Простой симплексный метод.
- •Задача № 5. Симплексный метод с искусственным базисом.
- •Расчетно-графическая работа 4. Задача 6. Транспортная задача.
- •Задача 2.
- •Задача 3.
- •Расчетно-графическая работа 2. Задача 4. Простой симплексный метод.
- •Задача № 5. Симплексный метод с искусственным базисом.
- •Расчетно-графическая работа 4. Задача 6. Транспортная задача.
- •Задача 2.
- •Задача 3.
- •Расчетно-графическая работа 2. Задача 4. Простой симплексный метод.
- •Задача № 5. Симплексный метод с искусственным базисом.
- •Расчетно-графическая работа 4. Задача 6. Транспортная задача.
Расчетно-графическая работа 1
Вариант 1
Задача 1.
Составить математическую модель задачи
В фармацевтической фирме изготавливают 5 видов лекарств: аспирин, анальгин, эналаприл, стугерон и винпоцетин. При изготовлении каждого вида препарата используется (кроме прочих) 4 вида исходных компонентов А, В, С и Д, количество которых на складе ограничено. Компонент А можно расходовать в количестве не более 5 кг; компонент В – не более 3 кг, С – не более 8 кг и Д – не более 0,5 кг. На изготовление 1 упаковки аспирина расходуются 0,5 г компонента А; 0,2 г компонента В и 0,01 г С; для изготовление 1 упаковки анальгина соответственно: А – 0,7 г; В – 0,1 г и С – 0,06 г; для эналаприла: В – 0,3 г; С – 0,075 г; Д – 0,1 г; для стугерона: А – 0,085 г; С – 0,4 г; Д – 0,02 г; для винпоцетина: С – 0,33 г и Д – 0,5 г. Прибыль от производства 1 упаковки (10 таблеток) каждого лекарства составляет соответственно: 2 усл. ден. ед., 5,5 усл. ден. ед., 40 усл. ден. ед., 7 усл. ден. ед. и 36 усл. ден. ед.
Сколько упаковок лекарства надо изготовить, чтобы получить максимальную прибыль?
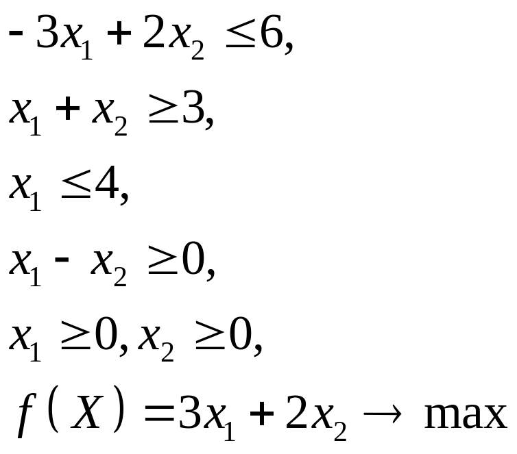
Задача 2. Решить задачу графическим методом.
Задача 3.
Решить графическим методом задачу линейного программирования, подвергнув систему ограничений задачи преобразованиям Жордана-Гаусса. Система ограничений задачи имеет вид:
Целевая функция задачи:
Коэффициенты
приведены в таблице:
№ варианта |
|
|
|
|
|
|
|
|
|
|
|
|
1 |
8 |
-1 |
3 |
5 |
1 |
16 |
4 |
1 |
6 |
1 |
-2 |
10 |
|
|
|
|
|
|
|
|
|
|
|
|
|
2 |
-3 |
-7 |
3 |
7 |
2 |
-5 |
2 |
0 |
1 |
7 |
Расчетно-графическая работа 2. Задача 4. Простой симплексный метод
Составить математическую модель задачи и решить ее двумя методами:
а) симплекс-методом, б) графически. Убедиться в том, что ответы,
полученные разными методами, совпадают.
В цехе имеются три группы станков В1, В2, В3 в количествах b1, b2, b3 соответственно, на которых требуется изготовить изделия двух видов А1 и А2. Известно, что каждое изделие вида А1 обрабатывается на а11 станках группы В1, а21 станках группы В2 и на а31 станках группы В3. Каждое изделие вида А2 обрабатывается соответственно на а21, а22, а32 станках каждой группы. Прибыль от одного изделия вида А1 составляет с1 руб., вида А2 – с2 руб.
Условия задачи можно кратко записать в виде следующей таблицы:
-
Виды
станков
Виды изделий
Станочный
парк
А1
А2
В1
а11
а12
b1
В2
а21
а22
b2
В3
а31
а32
b3
Прибыль
с1
с2
Сколько изделий каждого вида должен изготавливать цех, чтобы получить наибольшую прибыль?
а11 = 2; а12 = 5; а21 = 4; а22 = 3; а31 = 1; а32 = 2;
b1 = 70; b2 = 75; b3 = 30; c1 = 8; c2 = 10.
Задача № 5. Симплексный метод с искусственным базисом. Решить симплекс-методом задачу лп:
Составить двойственную задачу. Найти ее решение.
№ варианта |
|
|
|
|
|
|
|
|
|
1 |
2 |
-1 |
3 |
6 |
5 |
-1 |
4 |
1 |
3 |
|
|
|
|
|
b3 |
|
|
|
|
6 |
5 |
-1 |
2 |
9 |
3 |
10 |
3 |
4 |
24 |
