- •1. Прочность и устойчивость оснований. Фазы напряженно-деформированного состояния грунтов по Герсеванову.
- •20Определение активного давления на вертикальную гладкую стенку при горизонтальной поверхности засыпки по Кулону.
- •21Закономерности компрессионногосжатия грунтов; основные зависимости. Закон уплотнения
- •22 Определение активного и пассивного давлений грунта на стену
- •23 Водопроницаемость грунтов. Закон фильтрации. Модель уплотнения во времени водонасыщенного грунта.
- •24 Модуль деформации грунтов. Методы определения
- •25 . Завис-ть между деф-и и напр-ми в условиях комп сж.
- •26 Определение осадки методом послойного суммирования.
- •27 Сущность теории фильтрац-й консолидации.
- •28 Метод Жемочкина
- •29 Осн пол. По теории местных упругих деформаций
- •30 Основные положения расчета оснований по пс.
- •31 Методика учета деформации слабого грунта.
- •32 Расчетное сопротивление грунта основания.
- •40. Характеристики просадочных грунтов.
- •43. Защита подвалов от подземных вод.
- •52. Основные принципы расчета ф-в машин с дин. Н.
- •Формулы
1. Прочность и устойчивость оснований. Фазы напряженно-деформированного состояния грунтов по Герсеванову.
Вопросы прочности грунтов имеют непосредственное отношение к оценке их несущей способности в основаниях сооружений, так как дают возможность теоретически определить величину опасных напряжений для данного грунта в данных условиях его загружения.
При возведении здания или сооружения наблюдается постоянное возрастание давления по подошве фундаментов. При таком характере воздействия в грунтовом основании, как и во всяком твердом теле, возникает напряженно-деформирующее состояние (НДС), которое адекватно интенсивности приложенной внешней нагрузки, причем возникает оно не только в точках контакта подошвы фундамента сооружения и грунта основания, но и на значительной глубине.
Распределение напряжений как под подошвой фундамента, так и на значительной глубине необходимо знать, так как прочность и устойчивость сооружений зависит от сопротивления (R) грунта, не только примыкающей к подошве, но и глубоколежащего.
При деформации грунтов под нагрузкой Н.М. Герсеванов выделил три фазы НДС:
I — фаза нормального уплотнения;
II — фаза сдвигов;
III — фаза выпирания грунта.
Зависимость вертикальных перемещений фундамента от действующего давления по его подошве изображена на рис. 6.5.
Рис. 6.5. Зависимость осадки 5 от давления Р (график Н.М. Герсеванова)
На графике (см. рис. 6.5) участок оа соответствует фазе уплотнения (I), при которой осадка пропорциональна приложенной нагрузке. Эта фаза обусловлена вертикальным перемещением частиц грунта вниз Р≤Pсr,1 (Pсr,1≈Рпроп.) (рис. 6.6,а).
Из-за концентрации напряжений под краями фундамента в начале фазы сдвигов (II) происходит разрушение грунта в локальных областях, т.е. происходят местные потери устойчивости. По мере роста внешней нагрузки нарушается линейная зависимость между осадкой и давлением. График S = ƒ(P) (см. рис. 6.5) на участке аб характеризуется значительной кривизной. При дальнейшем возрастании давления под подошвой фундамента формируется уплотненное ядро и при малейшем увеличении внешней нагрузки приведет к исчерпанию несущей способности. На рис. 6.5,б такое давление соответствует точке б, являющейся переходной от второй к третьей фазе НДС.
Давление, соответствующее началу появления областей пластических деформаций (сдвигов и разрушения грунта) под краями фундамента, называется начальным, или первым критическим, давлением (Pcr,1).
Начальное критическое давление определяется по формуле Н.П. Пузыревского:
(6.1)
где γ — удельный вес грунта основания; φ — угол внутреннего трения; d — глубина заложения подошвы фундамента; с — удельное сцепление.
Во второй фазе под краями фундамента формируются области пластических деформаций (разрушения грунта), которые развиваются в сторону и в глубину Pcr,1 < Р < R.
Согласно СНиП 2.02.01—83 наибольшая глубина развития области пластических деформаций под краями фундамента не должна превышать zmax = 0,25b. Среднее давление под подошвой фундамента, при котором под его краями в основании формируются области пластических деформаций на глубину zmax = 0,25b, приравнивается к расчетному сопротивлению Р = R.
При дальнейшем увеличении давления по подошве фундамента Р > R области (зоны) локального разрушения грунта развиваются в ширину и в глубину основания, при этом под подошвой фундамента формируется уплотненное ядро в виде клина (см. рис. 6.6,г). В определенный момент времени краевые области разрушения грунта основания смыкаются на глубине и в результате расклинивающего действия уплотненного ядра устанавливается такое состояние, при котором малейшее увеличение нагрузки приводит к потере несущей способности.
Таким образом, давление, соответствующее исчерпанию несущей способности грунта основания, называется предельным, или вторым критическим давлением (Pcr,2).
Второе критическое давление определяется по формуле
(6.2)
Если из массива грунта, находящегося под действием какой-либо нагрузки, выделить кубик (рис. 6.9), то на него будут действовать вертикальные и горизонтальные нормальные напряжения σх, σу, σz и три пары касательных напряжений — τxу и τух, τxz и τzx, τyz и τzy.
-
2 Типы,виды,разновидности песчаных и пылевато-глинистых грунтов.
По гран-составу выд-т 5 типов песчаных грунтов:
1. в грунте сод-ся частиц >2 мм – более 25% - песок гравелистый.
2. ч-ц >0,5 мм более 50% - песок крупный
3. ч-ц >0,25 мм более 50% - песок средний
4. ч-ц >0,1 мм 75% и более – песок мелкий
5. ч-ц >0,1 мм менее 75% - песок пылеватый.
По однородности мех состава: Umax=d50(d95/d5).
1) Umax<4 – однородный грунт. 2) 4<Umax<20 – среднеоднородный,
3) 20<Umax<40 – неоднородный, 4) Umax>40 – повыш неоднородности
По степени влажности Sr=w*(ρs/ρw):
1) 0<Sr≤0,5 – маловлажн, 2) 0,5<Sr≤0,8 – влажн, 3) 0,8<Sr≤1 водонасыщ.
Глинистые груты
Влажн при кот-й грунт переходит из тв-го сост в пласт наз вл-ю на границе пластичности (wp). Влажн при переходе из пл сост в текучее – наз влажн на границе текучести (wl)
Число пластичности Ip=wl-wp
1) 1<Ip<7 – супесь,
2) 7<Ip<17 – суглинок,
3) Ip>17 – глина.
Показатель текучести (консистенции) Il=(w-wp)/Ip.
Супеси
1) Твердые IL<0
2) Пластичные 0<IL<1
3) текучие IL>1
Суглинки и глины:
1) Твердые IL<0
2) Полутвердые 0<IL<0,25
3) Тугопластичные 0,25<IL≤0,5
4) Мягкопластичные 0,5<IL<0,75
5) Текучепластичные 0,75<IL<1,0
6) Текучие Il>1.
В состав природных грунтов входят разнообразнейшие элементы, которые при рассмотрении можно объединить в следующие три группы: 1 — твердые минеральные частицы; 2 — вода в различных видах и состояниях; 3 — газообразные включения. Кроме того, в состав некоторых грунтов входят органические и органо-минеральные соединения, также влияющие на физические свойства этих грунтов.
Поскольку свойства грунтов в значительной степени предопределяются размерами и минералогическим составом слагающих их твердых частиц, последние принято классифицировать по размерам,мм: галечный (>20), гравелистый (20-2), песчаные (2-0,05), пылеватые (0,05-0,005), глинистые (<0,005).
В некоторой степени учитывается и содержание глинистых минералов. Частицы крупнее 0,05 мм обычно имеют остроугольную или округлую форму, а более мелкие глинистые ‐ пластичную, иногда игольчатую. Песчаные частицы подразделяются на крупные, средние и мелкие.
Разделение частиц грунтов по категориям обусловливается тем, что грунты, состоящие из частиц одной категории, обладают специфическими свойствами.
Песчаные частицы слагают различные по крупности пески, которые обладают водопроницаемостью, не пластичны, имеют сравнительно жесткий, малосжимаемый при действии статической нагрузки скелет
По гранулометрическому составу различают песок: гравелистый, крупный, средней крупности, мелкий, пылеватый.
В зависимости от плотности сложения пески способны существенно уплотняться при динамических воздействиях Они характеризуются небольшой высотой капиллярного поднятия (до 0,5 м) и в сухом состоянии являются сыпучими телами.
Грунт, состоящий только из глинистых частиц, практически водонепроницаем, во влажном состоянии характеризуется высокой пластичностью, может обладать большой сжимаемостью при действии статической нагрузки, при динамических воздействиях не уплотняется, но может снижать прочность. После прекращения динамических воздействий прочность грунта постепенно частично или полностью восстанавливается, т. е. он обладает специфическими тиксотропными свойствами. Такой грунт при изменении содержания в нем воды меняет объем, набухает при увлажнении и получает усадку при высыхании.
3 Определение активного давления на вертикальную гладкую стенку при горизонтальной поверхности засыпки по Кулону.
Рассмотрим простейший случай, когда засыпка представлена идеально сыпучим грунтом . Поскольку принято, что стенка имеет абсолютно гладкую грань, т. е. трение грунта о стенку отсутствует (τ zx= 0), вертикальные и горизонтальные площадки являются главными. Тогда максимальное главное напряжение, действующее на горизонтальную площадку в точке контакта грунта со стенкой на глубине z от поверхности засыпки, будет равно σ =γ * z где γ – удельный вес грунта.
В пределах призмы обрушения ОАВ грунт находится в состоянии предельного равновесия. Следовательно, минимальное главное напряжение в этой точке 3 σ , равное активному давлению a σ , будет связано с максимальным главным напряжением условием предельного
равновесия. Условие предельного равновесия для сыпучих грунтов
Тогда с учетом формулы активное давление грунта на стенку в точке, расположенной на глубине z от поверхности засыпки,будет равно
Форма уравнения (6.14) показывает, что в рассматриваемом случае эпюра активного давления имеет вид треугольника. Подставив в это уравнение высоту стенки h , получиммаксимальную ординату эпюры активного давления:
Равнодействующая активного давления a E определится как площадь эпюры σa, т. е.
и будет приложена к стенке на расстоянии 1/3h от ее подошвы. Из анализа равновесия призмы обрушения несложно установить, что плоскость скольжения АВ будет наклонена к вертикали под углом π /4-ϕ/2
Отсюда можно
определить ширину призмы обрушения по
поверхности засыпки
4.Хар-ки физ. свойств грунтов и методы их определения.
Плотность – отношение массы тв.частиц гр-та к их объему. Эта хар-ка зав. только от плотности слагающих грунт минералов. Кроме того, различают еще несколько подобных хар-к, уч.содержание в гр-те воды, газов и т. д. (объемная масса скелета гр-та, объемная масса абсолютно сухого гр-та, объемная масса влажной породы).
Пл-ть гр-та опр. взвешиванием чаще всего по образцу, взятому в режущее кольцо, иногда парафинированием или другими методами, в т. ч. путем гамма-каротажа. Пл-ть тв. частиц находят с помощью пикнометра. Вл-ть гр-та уст. взвешиванием образца естеств влажности до и после высушивания (до постоянной массы) при температуре 105(±2) °С.
Влажность– содержание в гр-те того или иного количества воды. Вл-ть гр-та бывает весовой и объемной. Весовой вл-тью наз. отношение веса воды в образце гр-та к весу твердых частиц гр-та (скелета). Объемной вл-тью наз. отношение объема воды в образце гр-та к объему, занимаемому тв. частицами (скелетом гр-та). Для одного и того же гр-та весовая вл-ть меньше, чем его объемная вл-ть. Вл-ть гр-та может быть больше единицы. Разделение По величине удельного веса сухого гр-та можно делать предварительные выводы о пригодности данного гр-та для целей ст-ва. Грунты с удельным весом сухого гр-та в пределах 11 – 13 кН/м3, как правило, являются непригодными для целей ст-ва. Прочным гр-там соот. удельный вес в сухом состоянии в пределах 16 – 18 кН/м3.
Пористость– суммарный объем всех пор в единице объема гр-та, незав. от их величины, заполнения и характера взаимосвязи. Коэф. пористости равен отношению объема пустот к объему твердой фазы гр-та, выраженному в долях единицы. Коэф. пористости и пористость позволяют более широко оценить пригодность гр.-тов для целей ст-ва. При значении коэф-та пористости больше единицы гр-ты, как правило, непригодны для целей ст-ва. Прочным гр-там соот. значения коэф-тов пористости в пределах 0,4–0,6. Кроме этого, коэф-т пористости и показатель текучести явл. входными параметрами в нормативные таб., позволяющие опр. для предварит. расчетов прочностные и деф. хар-ки гр-та.
Степенью водонасыщения, или степенью влажности наз. отношение объема воды к объему пор. По степени влажности крупнообломочные и песчаные гр-ты подразделяются: Sr ≤ 0,5 – маловлажные, 0,5 <Sr ≤ 0,8 – влажные, 0,8 <Sr ≤ 1 – насыщенные водой.
Гр-ты наз. насыщенными водой при Sr > 0,8, потому что они не содержат воздуха, сообщающегося с атмосферой. Пылевато-глинистые гр-ты чаще всего имеют Sr > 0,8.
Пластичность – сп-ть гр-та изменять форму без нарушения сплошности под воздействием внешних усилий и сохранять приданную форму после устранения воздействия. Пластичность гр.-тов изменяется в зав-ти от кол-ва и качества находящейся в гр-те воды.
Консистенция– степень подвижности частиц гр-та, обусл. различным содерж. в нем воды. Пылевато глинистые гр-ты могут менять консистенцию (густоту теста) от твердой до текучей.
Для опр. консистенции гр-та находят хар-ые влажности, соответствующие границе раскатывания (пластичности) Wp и границе текучеcти WL (здесь Wp – вл-ть гр-та, при которой он теряет способность раскатываться в шнур диаметром 2...3 мм; WL – вл-ть гр-та, при которой стандартный конус погружается в образец на глубину 10 мм). Разность между этими влажностями наз. числом пластичности IP.
По показателю текучести устанавливают сост. (консистенцию) гр-та. Различают состояния: твердое (0 >IL); пластичное (0 ≤ IL < 1); текучее (IL ≥ 1).
Текучее и текучепластичное сост. гр-та делают его непригодным для целей ст-ва. Если полная влагоемкость гр-та Wsat превышает его вл-ть на границе текучести WL, это свидетельствует о непригодности гр-та для целей ст-ва при потенциальной подтопляемости территории. Физические хар-ки гр-та используются для анализа инж.-геолог. усл. площадки ст-ва с выводами о пригодности грунтов, слагающих сжимаемую толщу в основ. фу-тов.
Относительная просадочностьгр-та опр-ся на осн. испытаний обр-цов гр-та на сжатие без возможности бокового расширения.
5 Закономерности компрессионногосжатия грунтов; основные зависимости. Закон уплотнения
Сжимаемость грунтов обуслов. изменением их пористости вследствие переупаковки частиц, ползучестью водных оболочек, вытеснением воды из пор грунта. Сжатиеполностью водонасыщ. грунтов возможно только при условии вытеснения воды из поргрунта.
Исслед. грунт ненарушенной структуры, помещая его в одометр .Прикладываем нагрузку Р1 – произойдет уплотнение грунта, и коэффициент пористостистанет е1. Нагрузка Р2 – е2 и т. д. (4 – 5 ступеней).Затем будем снимать нагрузку и наблюдать за результатами. По результатам испытаний строим график компрессионной кривой (к. к.).
Из графика видно, что происходит необратимое уплотнение грунта. Нас интересует восновном только прямая ветвь к. к., обратная ветвь к. к. – возможность поднятия дна, приглубоких котлованах (рассматривается в основном в гидротехническом строительстве).Компрессионная кривая позволяет судить о сжимаемости грунта.
Изобразим снова компрессионную кривую
На небольшом участке рассмотрим приращение нагрузки Δ Р и получим соответствующее Δ е. Заменим дугу прямой и рассмотрим угол α .
Тангенс угла наклона касательной компрессионной кривой называется коэффициентом сжимаемости (mo), tg α = mо.
Еслиmo< 0,005 – грунт малосжимаемый,
mo= 0,005 ÷ 0,05 – грунт среднесжимаемый,
mo> 0,05 [МПа −1] – грунт сильносжимаемый.
Кроме этого используется коэффициент относительной сжимаемости
где eo– начальный коэффициент пористости [МПа–1].
Δ е = –tgα Δ Р
(–) показывает, что с увеличением нагрузки α уменьшается. α также может характеризовать сжимаемость.
Для фундаментов большинства зданий и сооружений характерно небольшое изменениедавлений. Поэтому для них применяют закон уплотнения грунта – изменение коэффициента пористости прямо пропорционально изменению давления.
6
.
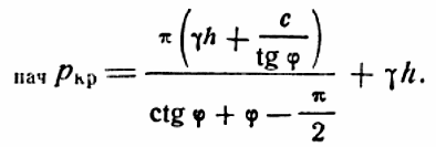
Критические давления на грунты основания.
Определение краевого критического
давления (задача Н.П. Пузыревского).
Пусть нагрузка, равномерно распределенная по полосе шириной Ь, расположена на глубине hот поверхности грунта и имеет интенсивность р (рис. 131). Боковую пригрузку от веса грунта выше плоскости приложения полосовой нагрузки заменяем действием сплошной равномерно распределенной нагрузки интенсивностью 7 А, где т — объемный вес грунта и h— глубина приложения полосовой нагрузки (глубина заложения фундамента).
Вертикальные
напр.
от действия собственного веса грунта
при горизонтальной ограничивающей
плоскости
равны:
где
z—
глубина расположения рассматриваемой
точки ниже плоскости приложения
нагрузки.
Горизонтальные
напряжения от действия собственного
веса грунта равны:
где
—
коэффициент бокового давления.
Величину главных напряжений в любой точке определим, используя формулу (71) с добавлением напряжений от собственного веса грунта:
Интенсивность
внешней полосообразной нагрузки р
уменьшена
на величину
,
так как на уровне подошвы фундамента
собственный вес грунта учитывается как
сплошная нагрузка.
Если в условие
предельного равновесия подставить
значения выражений (а), то получим
следующее уравнение:
Решим это уравнение
относительно z:
Полученное выражение представляет собой уравнение граничной линии области предельного равновесия. Определим максимальную ординату граничной линии.
В
виду
того что в соот.с
поставленной задачей необходимо
опр.
величину
интенсивности нагрузки р,
при которой
в грунте первоначально появляются
площадки сдвига, объем области
пред.равновесия
сл. считать равным 0,
Для этого в уравнении (в) необходимо
допустить, что zmax=
0 - При таком условии из ур-ния
(в) получим искомую интенсивность
нагрузки р,
которую
можно назвать начальной
критической нагрузкой.Обозначив
интенсивность начальной критической
нагрузки нач.pкр
и решая
уравнение (в), получим.Данная
формула впервые получена Н. П. Пузыревским1
(без
члена, учитывающего влияние сцепления)
и Н. М. Герсе-вановым 2
7. ОПРЕДЕЛЕНИЕ АКТИВНОГО И ПАССИВНОГО ДАВЛЕНИЙ ГРУНТА НА СТЕНУ
Бок-е давл грунта на фун-т опр-ся с учётом временной нагрузки на пов-ти планировки инт-тью 10 кН/м2. Действие врем нагрузки заменяется эквивалентным весом грунта засыпки пазух фун-та приведённой толщиной. При этом боковое давление грунта на отметке планировки
б1 = б2 = IIhпрtg2(45 - /2);
на отметке подошвы фундамента
б1 = II(d + hпр)tg2(45 - /2); б2 = II(d1 + hпр)tg2(45 - /2).
Равнодействующие бокового давления грунта засыпки на стену подвала расчётной длиной 1 м E0II(1) = d(б1 + б1)/2; E0II(2) = d1(б2 + б2)/2
Точки приложения равнодействующих
de1 = d/3 (2б1 + б1)/(б1 + б1)
de2 = d1/3 (2б2 + б2)/(б2 + б2)
8.Определение напряжений в массиве грунта от действия собственного веса.
Фактическое
напряженное состояние грунтов основания
при современных методахизысканий точно
определить не представляется возможным.
Вертикальные напряжения от собственного
веса грунта называют бытовыми
давлениями, аграфик
их изменения по глубине – эпюрой
бытовых давлений. Напряжения
от собственного веса грунта определяются
на основании следующих упрощающих
гипотез: 1) напряженным состоянием грунта
при действии его собственного веса
является осесимметричное компрессионное
сжатие; 2) вертикальные напряжения в
грунте определяются суммированиемнапряжений
от веса элементарных слоев грунта; 3)
грунт, находящийся ниже уровня грунтовых
вод, испытывает взвешивающее действие
воды; 4) слой грунта, находящийся ниже
водоносного слоя, называется водоупором
и испытывает
на своей поверхности гидростатическое
давление водяного столба.Определяем
напряжение от собственного веса грунта
(природного или бытового) поформуле
где
n –
число слоев грунта в пределах глубины
z;
γi–
удельный вес грунта i-го
слоя, кН/м3;hi
– толщина
или мощность этого слоя, м.
Удельный вес водопроницаемых грунтов, залегающих ниже уровня грунтовых вод,принимается с учетом взвешивающего действия воды согласно выражению
γsb=(γs – γw)/(1+e),е – коэффициент пористости.
Формула используется для вычисления бытовых давлений на границах геологическихслоев, на линии уровня грунтовых вод и на границе водоупора. В остальных сечениях бытовые давления могут быть определены по линейной интерполяции. На рис. 4.11 представленыхарактерные эпюры бытовых давлений в грунтовом массиве. На границах геологических
слоев угол наклона эпюры, как правило, изменяется в связи с изменением величины удельного веса грунта. На линии уровня грунтовых вод (WL) имеет место самый заметный перегибэпюры, вызванный уменьшением удельного веса грунта во взвешенном состоянии. На границе водоупора эпюра имеет скачок на величину гидростатического давления от веса столбаводы над водоупором.Деформации от действия веса природного грунта считаются давно стабилизировавшимися. Исключение составляют случаи действия свежеотсыпанной насыпи или пониженияуровня подземных вод. При большой мощности толщи насыщенных водой сильносжимаемых грунтов, обладающих ползучестью, иногда приходится считаться с незавершеннойфильтрационной консолидацией и консолидацией ползучести.
Рис. 4.11. Характерные эпюры распределения бытовых напряжений в массиве грунта:а – однородный массив; б – массив, представленный тремя инженерно-геологическими элементами;в – то же, но при этом третий слой является водоупором; HwL – расстояние от водоупора до уровнягрунтовых вод
9. Сопротивление грунтов сдвигу. Закон Кулона. Характеристики прочности грунтов.
Сдвиг– процесс изменения расположения частиц грунта под действием внешних сил. Грунты в основании сооружений, а также при неодинаковых отметках их поверхности испытывают воздействие не только нормальных, но и касательных напряжений. Когда касательные напряжения по какой-либо поверхности в грунте достигают его предельного сопротивления, происходит сдвиг одной части массива грунта по другой.
Невозможно определить прочностные характеристики грунта в опыте на компрессионное сжатие. По этой причине используют схемы испытаний, в которых нагружение сопровождается развитием сдвиговых напряжений и деформаций. Сопротивление грунта сдвигу (предельное) может быть установлено испытанием его образцов на прямой сдвиг (срез) путем трехосного сжатия, вдавливанием штампа с шаровой или конусообразной поверхностью, по результатам среза грунта крыльчаткой по цилиндрической поверхности и другими способами.
Если понятие прочности связного грунта не выходит за рамки традиционных представлений о прочности строительных материалов, то понятие прочности несвязных (сыпучих) грунтов требует дополнительных пояснений.
Механизм прочности несвязных грунтов заключается в следующем. Под действием сжимающих напряжений в грунте, в том числе вызванных его собственным весом, на контактных поверхностях минеральных частиц возникают силы трения, препятствующие взаимным перемещениям частиц. Кроме этого, между минеральными частицами, пересекающими условную плоскость, имеются зоны зацепления (взаимного проникновения), создающие нагельный эффект.
Таким образом, при сдвиге грунта по фиксированной плоскости возникает реакция, равная сумме сил трения по контактным поверхностям минеральных частиц. После преодоления сил трения происходит сдвиг грунта по фиксированной плоскости. При наличии зацепления между частицами сдвиг сопровождается переупаковкой минеральных частиц скелета грунта (рис. 3.6). Переупаковка скелета вызывает вначале доуплотнение грунта (дилатация), а при дальнейшем сдвиге – разуплотнение грунта (контракция). В предельном состоянии сдвиг грунта по фиксированной плоскости происходит без увеличения сдвигающей нагрузки.
Предельное сопротивление грунтов сдвигу есть функция первой степени нормального напряжения.
τ = σ · tgφ + c,
где τ – сопротивление сдвигу; σ – нормальное напряжение (давление); φ – угол внутреннего трения грунта, определяет прочность грунта (для сыпучих грунтов практически совпадает с углом естественного откоса); tgφ – коэффициент внутреннего трения; c – сцепление грунта (характерно для глинистых грунтов).
Характерные графики сопротивления сдвигу для различных грунтов.
1. Сыпучие грунты
τ = σ · tgφ + c, для сыпучих грунтов практически отсутствует сцепление, c = 0, следовательно, формула универсального закона сдвига примет вид τ = σ · tgφ.
2. Для обычных глинистых грунтов
τ = σ · tgφ + c, есть и сцепление, и внутреннее трение в грунте; формула соответствует универсальному закону сдвига.
Рис. 3.9. График зависимости сопротивления сдвигу от вертикального напряжения для обычных глинистых грунтов
3. Глина, насыщенная водой
τ = σ · tgφ + c, для глины, насыщенной водой, внутреннее трение практически отсутствует, угол внутреннего трения стремится к нулю φ→0 tg0 = 0, следовательно, формула универсального закона сдвига примет вид τ = c.
Рис. 3.10. График зависимости сопротивления сдвигу от вертикального напряжения для глины, насыщенной водой
Для определения сопротивления грунта сдвигу сейчас существует довольно много приборов:
• односрезные сдвиговые приборы;
• 2-срезные сдвиговые приборы;
• приборы 3-осного сжатия (стабилометры);
• зондирование;
• искусственное обрушение откосов;
• лопастные испытания (крыльчатка);
• метод шарикового штампа.
Уравнение τui = σi∙tgφуказывает на линейную зависимость между касательными и нормальными напряжениями при сдвиге в грунте. В настоящее время доказано, что природа сил сопротивления грунта сдвигу имеет сложный характер, а потому простое их разделение на трение и сцепление является условным. Однако, учитывая, что многочисленные опыты хорошо подтверждают представленную уравнением τui = σi∙tgφпростую зависимость, пока считают возможным пользоваться указанными понятиями.
Зависимость τui = σi∙tgφ установлена Ш. Кулоном еще в 1773 г. Она выражает закон сопротивления сыпучих грунтов сдвигу, который формулируется так: предельное сопротивление сыпучих грунтов сдвигу прямо пропорционально нормальному напряжению. Этот закон называется законом Кулона.
10Опред-е напряж-й в массиве ГР от д-я на его пов-ти равномерно распред-й нагр-киК поверх-ти лин-но-деф-го полупр-ва в пределах площ А прилож распред давление. Загружен-ю пл-дь можно разбить на небольшие прямоуг-ки со сторонами bi и li и более сложные фигуры по ее контуру. С некот-м прибл. давл-е, распред-е в пределах i-го прямоуг-ка, можно зам-ть равнод-щей Ni, прилож-й в ц. т. этого давл-я. Вертик сжим напряж. от действия силы Pi составит σ(zi)=KiPi/z^2. Суммирая получим σ(z)=ΣKiPi/z^2.
Ki – коэф-т зависит от отношения ri/z. Точность увел-ся с уменьш b и l.
В наст-е время строг-е реш-е задачи получ для прямоуг-й площадки загр-ки
Сжим-е напр-е σ(z) в любой точке, лежащ на вертикали по углом загруж прямоугольн со сторонами l и b равно
где
α=l/b,
β=z/b,
(D/2)^2=R^2=l^2+b^2+z^2.
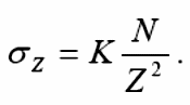
11. Распределение вертикальных напряжений в линейно-деформируемой среде при действии на ее поверхности сосредоточенной силы (задачи Буссинеска)
Определение напряжений Z σ в массиве грунта при действии единичной вертикальной силы N, приложенной к границе грунтового основания.
Решение задачи Буссинеска.
Основано на следующих гипотезах (впоследствии подтвержденных точными решениями): а) нормальные напряжения на площадках, касательных к сферической поверхности с центром в точке приложения силы, являются главными напряжениями. По этой причине касательные напряжения на указанных площадках отсутствуют; б) нормальные напряжения, лежащие в вертикальной плоскости, на площадках, нормальных к сферической поверхности с центром в точке приложения силы, равны нулю; в) нормальные напряжения на площадках, касательных к сферической поверхности с центром в точке приложения силы, прямо пропорциональны косинусу угла видимости и обратно пропорциональны квадрату радиуса сферы. Под углом видимости понимается угол между радиусом сферы, проведенным в центр площадки, и центральной вертикальной осью сферы.
Постулированные гипотезы позволяют получить замкнутые аналитические решения о распределении напряжений в полупространстве от действия вертикальной силы на его границе, основанные исключительно на уравнениях равновесия. Решение задачи поясняется графическими построениями на рис. 4.5, на котором представлены вертикальный разрез полупространства и его сечения горизонтальными плоскостями.
Начало прямоугольной декартовой системы координат разместим в точке приложения вертикальной силы Р на границе полупространства. Ось z направим по вертикали вниз, ось x – по горизонтали вправо, а ось y – перпендикулярно плоскости чертежа. Относительно начала осей координат построена полусфера радиусом R, пересечение которой с вертикальной плоскостью, проходящей через центральную ось, образует полуокружность такого же радиуса. В сечении полусферы горизонтальной плоскостью на глубине z образуется окружность радиусом r. Угол видимости радиуса r на вертикальном разрезе обозначим β. В сечении полусферы горизонтальной плоскостью на глубине z – dz образуется окружность радиусом r + dr с углом видимости на вертикальном разрезе β + dβ. Рассмотрим равновесие сферического кольца, выделенного из полусферы двумя горизонтальными плоскостями на глубине z и z – dz. С учетом того, что длина образующей сферического кольца равна R·dβ, площадь его поверхности определится формулой: S = 2⋅π⋅r⋅R⋅dβ. На поверхности сферического кольца действуют нормальные напряжения σR, а касательные напряжения, в соответствии с гипотезой а), отсутствуют.
Практический интерес представляют напряжения на горизонтальной площадке, наклоненной к площадке, на которой действуют напряжения σR, под углом β. В соответствии с гипотезой б) главный вектор напряжений на горизонтальной площадке σ′R совпадает по направлению с вектором напряжения σR, а его модуль равен σ′R = σR ⋅ cosβ. Проекции главного вектора напряжений σ′R на координатные оси являются компонентами тензора напряжений на горизонтальной площадке. Поскольку главный вектор напряжений σ′R совпадает по направлению с радиусом вектором R, направляющие косинусы вектора напряжений определяются формулами:
В дальнейшем для практических расчетов расчетную схему задачи приводят к более простому виду (рис.4.6). Вертикальные напряжения в расчетной точке М определяют по формуле
Коэффициент К, зависящий от безразмерного параметра r/z, приводится в справочных данных.
Z – глубина точки;
r –
расстояние от точки до линии действия
силы;
М – рассматриваемая точка; N – сосредоточенная вертикальная сила.
12. Водопроницаемость грунтов. Закон фильтрации. Модель уплотнения во времени водонасыщенного грунта.
Водопроницаемость связана с уплотнением грунта, так как при уплотнении из грунта в первую очередь извлекается влага. В строительстве фильтрационные свойства грунта связаны: 1. С инженерными задачами (фильтрация берегов в результате строительства плотин). 2. С вопросами временного понижения уровня грунтовых вод для осушения котлованов и последующего возможного устройства дренажных систем.
Фильтрацией называют движение свободной воды в порах грунта в условиях, когда поток воды почти полностью заполняет поры грунта, т. е. содержится относительно небольшое количество газа, защемленного в скелете грунта.
Закон ламинарной фильтрации Дарси устанавливает зависимость скорости фильтрации поровой воды от градиента гидравлического напора. Движение поровой воды называют фильтрацией, а связанные с этим процессы – фильтрационными. Рассматриваются такие скорости, при которых не наблюдаются завихрения гидравлического потока. Такое движение характеризуется как спокойное, или ламинарное. Гидравлическим напором называют давление в поровой воде, выраженное в единицах высоты эквивалентного водяного столба:
H = P γw, ( 3.7)
где γw – удельный вес воды. Градиентом гидравлического напора называют безразмерную величину, равную отношению разности гидравлических напоров на входе и выходе фильтрационного потока к длине пути фильтрации поровой воды (рис. 3.11, б):
i(Hвх - Hвых) / L= tg j (3.8)
Рис. 3.11. Схемы фильтрации поровой воды:
а – в приборе Дарси; б – в грунтовом массиве; 1 – песок; 2 – сетка;
3, 4 – уровни воды на входе и выходе; j – угол наклона потока
В опытах (рис. 3.11, а) Дарси измерял расход воды Q (м3) при фильтрации ее через цилиндр с песком площадью поперечного сечения А. Им получена следующая экспериментальная зависимость:
Q = k f ⋅i ⋅A⋅t , (3.9)
где kf – коэффициент пропорциональности, названный коэффициентом фильтрации; t – время фильтрации.
Определим понятие скорости фильтрации ϑ f (м/с) как расход поровой воды через единицу поперечного сечения в единицу времени. Тогда из экспериментальной зависимости Дарси будем иметь: ϑ f = k fi (3.10)
Формула известна как закон ламинарной фильтрации Дарси, который можно сформулировать следующим образом: скорость фильтрации поровой воды прямо пропорциональна градиенту гидравлического напора. Коэффициент фильтрации kf , входящий в формулу (3.10), можно трактовать как скорость фильтрации поровой воды при градиенте гидравлического напора (говорят также, гидравлическом градиенте), равном единице. В соответствии с рисунком (3.11, б) единичномузначению градиента гидравлического напора соответствует угол наклона поверхности грунтового потока к горизонтальной плоскости j = 45°. Из приведенного выше определения следует, что коэффициент фильтрации имеет размерность скорости (м/с). В справочных материалах коэффициент фильтрации чаще всего приводится в метрах, деленных на сутки. Значения коэффициента фильтрации зависят от вида грунта и изменяются в широких пределах от 0,001 м/сутки для глин до 100 м/сутки для песков. В формуле (3.10) фигурирует фиктивная скорость фильтрации, отнесенная к полному сечению грунта, включающему как сечения пор, так и сечения минеральных частиц. Так как фильтрация происходит только по сечениям пор, действительная скорость фильтрации выше фиктивной. Она может быть вычислена через пористость грунта: V = ϑ f / n. Действительная скорость учитывается при анализе суффозионных процессов в грунтах. Реальные грунты обладают начальным гидравлическим сопротивлением. Это означает, что фильтрационные процессы протекают лишь при гидравлических градиентах, больших определенной величины. Эту величину называют начальным гидравлическим градиентом i0. Величина начального гидравлического градиента, как и коэффициент фильтрации, зависит от вида грунта. С учетом сделанного замечания запишем окончательное выражение для закона ламинарной фильтрации Дарси:
ϑf =kf (i-i0) (3.11)
13. Методы «угловых точек» определения напряжений в массиве грунта. Использование этого метода в расчетах оснований фундаментов.
Если закон распределения давления по поверхности изотропного линейно деформируемого полупространства известен, то элементарное суммирование можно заменить интегрированием.
–
при разворачивании
этого интеграла получается очень
громоздкая формула, поэтому при равномерно
распределенном давлении после
интегрирования по прямоугольной площади
загружения значения для точек,
расположенных под центром прямоугольной
площади загружения (рис. 4.9,а), получим:
Где
– принимается по таблице 4.2; Р
– равномерно
распределенное давление.
Рис. 4.9. Расчетные схемы к определению напряжений Z σ при действии местного равномерно распределенного давления: а – для точек, расположенных под центром прямоугольной площади загружения; б – под угловыми точками прямоугольной площади загружения
При нахождении Z
σ под угловыми
точками прямоугольной площади загружения
(например, под точкой М)
(рис. 4.9, б), значения
(а не 2·Z,
т. к. в1=2в),
также можно принимать по таблице 4.2.
Напряжение под угловыми точками определяют по формуле
Для определения вертикального напряжения Z σ в любой точке полупространства можно воспользоваться выражением Z σ = 0,25 ⋅α 'Р . Действительно, если проекция рассматриваемой точки М' на горизонтальную поверхность полупространства (точка М) располагается в пределах площади загружения (рис. 4.10, а), то эту площадь можно разбить на четыре прямоугольника (I – Meaf, II – Mfbg, III – Mgch, IV – Mhde) так, чтобы точка М была угловой точкой каждого из них.
Рис. 4.10. Расчетные схемы к определению напряжений Z σ при действии местного равномерно распределенного давления: а – для точек, расположенных внутри прямоугольной площади загружения; б – под точками, расположенными вне прямоугольной площади загружения
Тогда напряжение Z σ найдем суммированием напряжений под угловыми точками четырех площадей загружения:
где α1’, α2’,α3’,α4’ – коэффициенты, принимаемые по таблице в зависимости от отношения сторон площадей загружения I, II, III, IV и отношения Z (глубины расположения точки М') к ширине каждой из этих площадей.
Когда проекция точки М' на горизонтальную поверхность полупространства (точка М) располагается вне пределов площади загружения (рис. 4.6, б), точку М аналогично можно представить как угловую точку фиктивных площадей загружения I, II, III, IV. При этом в пределах площадей II и IV фиктивная нагрузка прикладывается в обратном направлении.
Напряжение определяется по выражению
Обобщая формулы, можно дать следующее определение методу угловых точек: напряжение в произвольной точке от нагрузки, распределенной по прямоугольной площади, равно алгебраической сумме напряжений в угловых точках прямоугольников, для которых рассматриваемая точка является угловой, при этом алгебраическая сумма площадей этих прямоугольников с учетом знаков в формуле суммирования напряжений должна совпадать с фактической площадью нагрузки. Так, пользуясь методом угловых точек, можно найти напряжение σzв любой точке полупространства, к поверхности которого приложена равномерно распределенная нагрузка в пределах прямоугольной площади.
14 Методы определения характеристик прочности грунтов
Осн-ми пар-ми мех св-в гр, определяющими несущую сп-ть основ-й и их деф-ции, явл-ся проч-ные и деф-ные хар-ки гр (угол внутр трения , удельное сцепление с, модуль деф-циигрунтов Е, предел прочности на одноосное сжатие скальных грунтов Rcи т.п.).
Хар-ки ГР природного сложения, а также иск-го происх-я, д-ны опр-ся, как правило, на основе их непосред-х испытаний в полевых или лаб-х условиях с учетом возм-го изм-я влажности грунтов в пр-се стр-ва и экспл-и сооружений.
Нормативные и расчетные значения хар-к ГР уст-ся на основе стат обр-ки рез-в исп-й по методике, изложенной в ГОСТ 20522-75.
Нормат значение какой-либо хар-ки физ или деф состояния грунта уст-т по данным частных определ, как среднеарифм вел-ну.
Xn=1/nΣXi.
Хар-ки, исп-е при расчетах опред-т по формуле: X=Xn/γ(g), где γg – коэф-т надежности по грунту.
Так же воз-но выч-е на основе значений хар-к физ свойств грунтов, определяя тип грунта и его разновидность, а затем исползовать таблицы СНБ.
Лабораторные испытания:
Согласно СНБ:
Метод полевого испытания динамическим зондированием
Метод полевого испытания статическим зондированием
Методы полевых испытаний сваями
Различные лабораторные методы:
- одноплоскостного среза, одноосного сжатия, трехосного сжатия, компрессионного сжатия - для немерзлых грунтов;
- испытание шариковым штампом, одноплоскостного среза по поверхности смерзания, одноосного сжатия, компрессионного сжатия - для мерзлых грунтов.
15. Расчет осадки фундамента по методу эквивалентного слоя
Во многих случаях осадки фундаментов можно рассчитывать простым методом эквивалентного слоя, разработанным Н. А. Цытовичем. Основные допущения этого метода при мощном слое однородного грунта:
грунт однороден в пределах полупространства; грунт представляет собой линейно деформируемое тело, т. е, деформации его пропорциональны напряжениям; деформации грунта в пределах полупространства принимаются по теории упругости.
Из теории упругости известно, что осадка поверхности линейно деформируемого полупространства может быть найдена по формуле Шлейхера:
где
— коэффициент осадки, зависящий от
формы площади загружения, жесткости
фундамента и места расположения точки
поверхности грунта, в которой определяется
осадка.
Согласно выражению (2.13),
где h— толщина слоя грунта, к поверхности которого приложена сплошная нагрузка интенсивностью р.
Поскольку р в формуле (7.1) имеет то же значение, что и ро в формуле (7.13), произведение Avωbможно рассматривать как толщину эквивалентного слоя he, осадка поверхности которого при сплошной нагрузке равна осадке фундамента:
he= Avωb(7.14)
С учетом этого получим окончательное выражение для определения осадки фундамента
s= hemvp0(7.16)
Таким образом, определив по (7.14) толщину эквивалентного слоя he, по формуле (7.15) легко найти осадку фундамента, точно соответствующую осадке поверхности бесконечного полупространства под действием местной нагрузки, вычисляемой по (7.11). Произведение Avω, называемое коэффициентом эквивалентного слоя для абсолютно жестких фундаментов, приведено в табл. 7.2 (ее нет, и не ищите в шпорах).
16Боковое давление грунта в предельно-напряженном состоянии.
При провед компр-х испыт в одометрах образец грунта, наход-сь в жестк кольце, не м-т расш-ся в стор-ны. При этом он оказ-т на стенки кольца горизонт давление, кот-е соотв-т гор-м напр-м σ(x)= σ(y). Вертик норм напр-е σ(z) = инт-ти прилож нагр-ки p(σ(z)=p). Поск-ку бок-е расшир отсут, относит горизонт деф-и ε(х)= ε(у)=0.
Т.к. в пред-х небольш измен давл ГР м-но рассм-ть, как лин деф-е тела, аналог-е выр-е м-но напис-ть и для зав-ти м-ду напр-ми и деф-ми гр-та в одометре. В таком сл-е имеем:
ε(х)= σ(x)/E(0)-(ν/E(0))/(σ(x)+ σ(z)).E – мод деф, ν- к Пуас.
Т.к σ(x)= σ(y), σ(z)= p, ε(x)=0 и произведя преобр получим:
σ(x)= σ(y)=(ν/(1- ν))*p=ξ*p.
Где ξ – коэф-т бок давл грунта, при отсут гор-х перемещ.
17Осн-ми пар-ми мех св-в гр, определяющими несущую сп-ть основ-й и их деф-ции, явл-ся проч-ные и деф-ные хар-ки гр (угол внутр трения , удельное сцепление с, модуль деф-циигрунтов Е, предел прочности на одноосное сжатие скальных грунтов Rcи т.п.).
Хар-ки ГР природного сложения, а также иск-го происх-я, д-ны опр-ся, как правило, на основе их непосред-х испытаний в полевых или лаб-х условиях с учетом возм-го изм-я влажности грунтов в пр-се стр-ва и экспл-и сооружений.
Нормативные и расчетные значения хар-к ГР уст-ся на основе стат обр-ки рез-в исп-й по методике, изложенной в ГОСТ 20522-75.
Нормат значение какой-либо хар-ки физ или деф состояния грунта уст-т по данным частных определ, как среднеарифм вел-ну.
Xn=1/nΣXi.
Хар-ки, исп-е при расчетах опред-т по формуле: X=Xn/γ(g), где γg – коэф-т надежности по грунту.
Так же воз-но выч-е на основе значений хар-к физ свойств грунтов, определяя тип грунта и его разновидность, а затем исползовать таблицы СНБ.
Лабораторные испытания:
Согласно СНБ:
Метод полевого испытания динамическим зондированием
Метод полевого испытания статическим зондированием
Методы полевых испытаний сваями
Различные лабораторные методы:
- одноплоскостного среза, одноосного сжатия, трехосного сжатия, компрессионного сжатия - для немерзлых грунтов;
- испытание шариковым штампом, одноплоскостного среза по поверхности смерзания, одноосного сжатия, компрессионного сжатия - для мерзлых грунтов.
18 Сущность решения Фламана. Распред напряж в масс.
Плоская задача – такое НС, когда напр-я распр-ся в одной пл-ти и не зав-т от коорд-т, перпенд-х к этой пл-ти. Составл-е напряж-й σ(z), σ(y), τ не зав-т от деф-х хар-к (E, ν).
РИС1
σz=-2P*cos^2(β)/(πR), β – угол м-ду верт и напр-м на точку
р – сосредоточ сила на един длины. β1+β2=2β
Получим: σz=-P/π*(β1+1/2*sin(2β1)-(+β2)-1/2*sin(+2β2))
β2 – со зн-м (+) – для точек, нах-ся за пред-ми нагр-ки.
σy=-P/π*(β1-1/2*sin(2β1)-(+β2)+1/2*sin(+2β2))
Так же можно пол-ть формулы гл-х напряж, завис от β.
σ1=- P/π*(2β+sin2β), σ2=- P/π*(2β-sin2β). Эти выр-я д-т возм-ть постр-ть эллипсы, хар-е вел-ны и напр-е напр-й.
Эллипсы всегда ориент-ны по бисс-се угла вид-ти.
РИС2
19 Законом-ти сопротивл грунта сдвигу. Закон Кулона
Закон Кулона: Предельное сопротивление грунтов сдвигу есть функция первой степени нормального напряжения.τ = σ · tgφ + c,
где τ – сопр-ние сдвигу; σ – норм-е напр-е (давл-е); φ – угол внутр-го трения ГР, опр-т пр-ть ГР (для сыпучих ГР прак-ки совпадает с углом естеств-го откоса); tgφ – коэф внутр трения; c – сцепление грунта (характерно для глинистых грунтов).
Для сыпучих грунтов (песков):φ = 24° ÷ 40° мелкие-крупные
Для глинистых грунтов: φ = f(W) φ = 0 ÷ 45о
Характерные графики сопр-я сдвигу для различных грунтов.
1. Сыпучие грунты
τ = σ · tgφ + c, для сып грунтов практически отсутствует сцепление, c = 0, сл-но, ф-ла универсального з-на сдвига пр-т вид τ = σ · tgφ.
2. Для обычных глинистых грунтов
τ = σ · tgφ + c, есть и сцепление, и внутреннее трение в грунте; формула соответствует универсальному закону сдвига.
3. Глина, насыщенная водой
τ = σ · tgφ + c, для глины, насыщенной водой, внутреннее трение практически отсутствует, угол внутреннего трения стремится к нулю φ→0 tg0 = 0, след-но, формула универсального закона сдвига пр-т вид τ = c.
Мех-м пр-ти несвязных ГР закл-ся в след-м. Под действием сжим-х напр-й в ГР, в том числе вызв-х его собств-м весом, на контактных пов-тях мин-х частиц возникают силы трения, преп-е взаимным перем-м частиц. Кроме этого, между мин-ми част-ми, пересек-ми условную плоскость, имеются зоны зацепления (взаимного проникновения).
Т.е. в сыпучих ГР сопротивл сдвигу возм-но только как сопротивл трению ч-ц м-ду собой, в связн же грунтах, ч-цы связаны м-ду собой пленками воды, коллоидными св-ми. След-но сопротивл связн-х грунтов сдвигу склад-ся из трения частиц и сил сцепления.
