НОУ ВПО ИНСТИТУТ ЗАКОНОВЕДЕНИЯ И УПРАВЛЕНИЯ
ВСЕРОССИЙСКОЙ ПОЛИЦЕЙСКОЙ АССОЦИАЦИИ
КАФЕДРА ЕСТЕСТВЕННОНАУЧНЫХ ДИСЦИПЛИН И
ИНФОРМАЦИОННЫХ ТЕХНОЛОГИЙ
«У Т В Е Р Ж Д А Ю»
Проректор
Института законоведения и управления
Всероссийской полицейской ассоциации
по учебной работе
__________________А.Ю. Соловьев
«____»__________________2012 г.
МАТЕМАТИКА
Методические указания для выполнения контрольно-курсовой работы
для студентов заочной формы обучения
(1 семестр, бакалавр)
Тула 2012
Составил: доцент,
кандидат физико-математических наук К.Н. Рождественский
Методические указания для выполнения контрольно-курсовой работы по дисциплине «Математика» для студентов заочной формы обучения специальности 080400.62 «Управление персоналом» обсуждены и одобрены на заседании кафедры естественно – научных дисциплин и информационных технологий
« 9 »октября 2012; протокол № 2.
ПРАВИЛА ВЫПОЛНЕНИЯ И ОФОРМЛЕНИЯ КОНТРОЛЬНОЙ РАБОТЫ
Настоящее пособие предназначено для студентов заочного отделения института законоведения и управления всероссийской полицейской ассоциации, для которых учебным планом предусмотрено изучение курса математики в объеме 360 учебных часов. Контрольная работа охватывают следующие темы курса математики: «Векторная и линейная алгебра с элементами аналитической геометрии», «Введение в математический анализ».
Пособие содержит задания по выполнению контрольной работы, краткий теоретический и справочный материал, а также решения некоторых задач, тщательный разбор которых поможет студенту-заочнику выполнить данную контрольную работу. Контрольная работа составлена по десятивариантной системе. Это позволило отразить в них более широкий круг вопросов программы. В качестве методического руководства также следует рассматривать рабочую тетрадь, работа с которой позволит студентам-заочникам повысить степень своей подготовленности по каждой теме курса математики.
Контрольная работа должна быть выполнена в отдельной тетради, на обложке тетради должны быть указаны фамилия студента, его инициалы, полный учебный шифр, номер варианта контрольной работы, название дисциплины. В работу должны быть включены все задачи, указанные в задании по варианту. Контрольные работы, содержащие не все задачи задания, а также задачи не своего варианта, не зачитываются.
Задачи контрольной работы следует располагать в порядке номеров, указанных в заданиях, сохраняя номера задач. Перед решением каждой задачи надо полностью переписать ее условие.
Решения задач следует излагать подробно и аккуратно, объясняя и мотивируя все действия по ходу решения и делая необходимые чертежи.
Чертежи и графики должны быть выполнены с указанием единиц масштаба, координатных осей и других элементов чертежа. Объяснения к задачам должны соответствовать тем обозначениям, которые даны на чертеже.
Для замечаний преподавателя необходимо на каждой странице оставлять поля шириной 2–3 см.
После получения рецензии на сданную на проверку работы студент должен исправить все отмеченные ошибки и недочеты. Поэтому рекомендуется при выполнении контрольной работы оставлять в конце тетради несколько чистых листов для всех дополнений и исправлений в соответствии с указаниями рецензента.
Вносить исправления в текст работы после ее рецензирования запрещается.
Студент выполняет вариант контрольной работы, совпадающий с последней цифрой его учебного шифра. Требуется представить решение семи указанных ниже задач. Таким образом, например, студент, имеющий шифр ***6, должен решить задачи №№1(а,б,в,г,д), 2, 3(а,б,в), 4(а,б,в), 5(а,б,в,г) с данными под №6.
График выполнения контрольной работы
Выдача |
Установочная сессия |
Сдача |
Не позднее 10 дней до сессии1 |
Контроль |
Зачет |
Задача 1.
Даны вершины треугольника АВС.
Найти: а) длину стороны АВ; б) уравнения сторон АВ и АС и их угловые коэффициенты; в) внутренний угол А в радианах с точностью до 0,01; г) уравнение высоты СD и ее длину; д) уравнение окружности, для которой высота СD есть диаметр.
А(–5; 0), В(7; 9), С(5; –5).
А(–7; 2), В(5; 11), С(3; –3).
А(–5; –3), В(7; 6), С(5; –8).
А(–6; –2), В(6; 7), С(4; –7).
А(–8; –4), В(4; 5), С(2; –9).
А(0; –1), В(12; 8), С(10; –6).
А(–6; 1), В(6; 10), С(4; –4).
А(–2; –4), В(10; 5), С(8; –9).
А(–3; 0), В(9; 9), С(7; –5).
А(–9; –2), В(3; 7), С(1; –7).
Задача 2.
Составить
уравнение линии, для каждой точки которой
отношение расстояний до точки А(х1;
у1)
и до прямой
равно числу ε.
Полученное уравнение привести к
простейшему виду и построить
кривую.
А(4; 0), а = 9,
.А(–8; 0), а = –2,
.А(4; 0), а = 1, .
А(9; 0), а = 4,
.А(–1; 0), а = –4,
.
Составить
уравнение линии, для каждой точки которой
ее расстояние до точки А(х1;
у1)
равно расстоянию до прямой
.
Полученное уравнение привести к
простейшему виду и построить
кривую.
А(2; 1), b = –1.
А(–2; –2), b = –4.
А(2; –1), b = 2.
А(2; –1), b = 1.
А(4; –1), b = 1.
Задача 3.
В
задачах 1–10 даны координаты точек А,
В,
С.
Требуется: а) записать векторы
и
и найти модули этих векторов; б) найти
угол между векторами
и
;
в) составить уравнение плоскости,
проходящей через точку С
перпендикулярно вектору
и изобразить ее на чертеже, используя
уравнение плоскости «в отрезках».
А(7; –4; 1), В(12; –3; 1), С(10; 1; 5).
А(0; –3; 3), В(5; –2; 3), С(3; 2; 7).
А(–2; –1; –2), В(3; 0; –2), С(1; 4; 2).
А(–6; 0; 0), В(–1; 1; 0), С(–3; 5; 4).
А(–2; –3; –8), В(3; –2; –8), С(1; 2; –4).
А(1; 0; –1), В(6; 1; –1), С(4; 5; 3).
А(–1; 4; 1), В(4; 5; 1), С(2; 9; 5).
А(3; –6; –3), В(8; –5; –3), С(6; –1; 1).
А(1; 0; 0), В(6; 1; 0), С(4; 5; 4).
А(2; –8; –2), В(7; –7; –2), С(5; –3; 2).
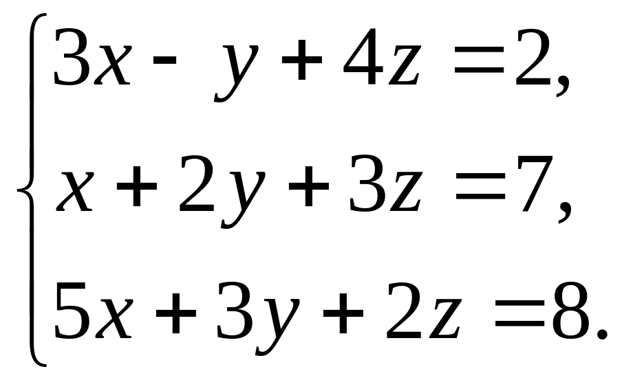
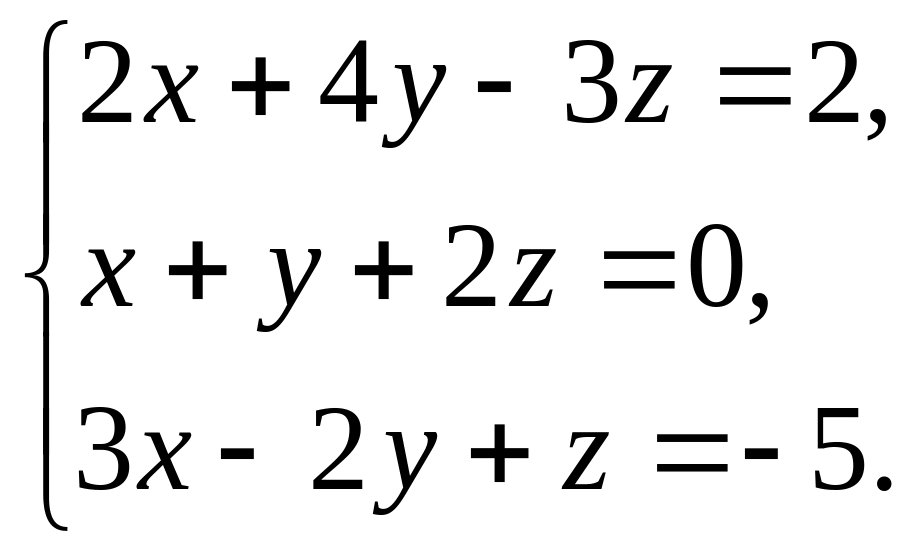
Задача 4.
Систему уравнений записать в матричной форме и решить: а) с помощью обратной матрицы, б) с помощью правила Крамера и в) методом Гаусса.
1.
2.
3.
4.
5.
6.
7.
8.
9.
10.
Задача 5.
Найти указанные пределы.
1.
а)
; б)
;
в)
; г)
.
2.
а)
; б)
;
в)
; г)
.
3.
а)
; б)
;
в)
; г)
.
4.
а)
; б)
;
в)
; г)
.
5.
а)
; б)
;
в)
; г)
.
6.
а)
; б)
;
в)
; г)
.
7.
а)
; б)
;
в)
; г)
.
8.
а)
; б)
;
в)
; г)
.
9.
а)
; б)
;
в)
; г)
.
10.
а)
; б)
;
в)
; г)
.
ПРИМЕРЫ РЕШЕНИЯ ЗАДАЧ
Задача 1. Даны вершины треугольника АВС: А(–4; 8), В(5; –4), С(10; 6).
Найти: 1) длину стороны АВ; 2) уравнения сторон АВ и АС и их угловые коэффициенты; 3) внутренний угол А в радианах с точностью до 0,01; 4) уравнение высоты СD и ее длину; 5) уравнение окружности, для которой высота СD есть диаметр.
Решение.
1.
Расстояние
между точками
и
определяется по формуле:
. (1)
Подставив в эту формулу координаты точек А и В, имеем:
.
2. Уравнение прямой, проходящей через точки и , имеет вид:
. (2)
Подставив в (2) координаты точек:
Для
нахождение углового коэффициента
прямой АВ
разрешим полученное уравнение относительно
у:
.
Отсюда
.
Подставив в формулу (2) координаты точек
А
и С,
получим уравнение прямой АС.
Отсюда
.
3.
Угол
между двумя прямыми, угловые коэффициенты
которых равны
и
,
определяется по формуле:
. (3)
Угол
А,
образованный прямыми АВ
и АС,
найдем по формуле (3), подставив в нее
,
.
,
рад.
4.
Так как высота
перпендикулярна стороне
,
то угловые коэффициенты этих прямых
обратны по величине и противоположны
по знаку, т.е.
.
Уравнение
прямой, проходящей через данную точку
в заданном угловым коэффициентом
направлении, имеет вид:
. (4)
Подставив
в (4) координаты точки С
и
,
получим уравнение высоты
:
. (5)
Для
нахождения длины
определим координаты точки
,
решив систему уравнений (АВ)
и (
):
откуда
,
то есть
.
Подставив в формулу (1) координаты точек С и , находим:
.
5.
Уравнение окружности радиуса
с центром в точке
имеет вид:
. (6)
Так как является диметром искомой окружности, то ее центр Е есть середина отрезка . Воспользовавшись формулами деления отрезка пополам, получим:
Следовательно,
и
.
Используя формулу (6), получаем уравнение
искомой окружности:
.
На
рис. 1 в декартовой прямоугольной системе
координат
изображен треугольник
,
высота
,
окружность с центром в точке Е.
Задача
2. Составить
уравнение линии, для каждой точки которой
отношение расстояний до точки
и до прямой
равно числу
.
Полученное уравнение привести к
простейшему виду и построить кривую.
Решение.
Пусть
– текущая (произвольная) точка искомого
геометрического множества точек. Опустим
перпендикуляр
на прямую
(рис. 2). Тогда
.
По условию задачи
.
По формуле (1) из предыдущей задачи
.
Тогда
Полученное
уравнение представляет собой эллипс
вида
,
где
.
Определим
фокусы эллипса
и
.
Для эллипса справедливо равенство
,
откуда
и
.
То есть
и
– фокусы эллипса (точки
и А
совпадают).
Эксцентриситет
эллипса
.
у
М В
F1 А
-6 –3 0 3 6 12 х
Рис. 2
Задача
3. Составить
уравнение геометрического места точек,
отношение расстояний которых до точки
и до прямой
равно числу
.
Решение.
Пусть
– произвольная точка искомого
геометрического множества точек. Опустим
перпендикуляр
на прямую
и определим координаты точки В
(рис. 3). Очевидно, что абсцисса точки
равна
(так как точка В
лежит на прямой
),
а ордината точки В
равна ординате точки М.
Следовательно, имеем:
.
у
3 В М
–4 0 4 А х
-3
Рис. 3
По
условию задачи
;
так как
,
то получаем:
Полученное
уравнение представляет собой гиперболу
вида
,
где
.
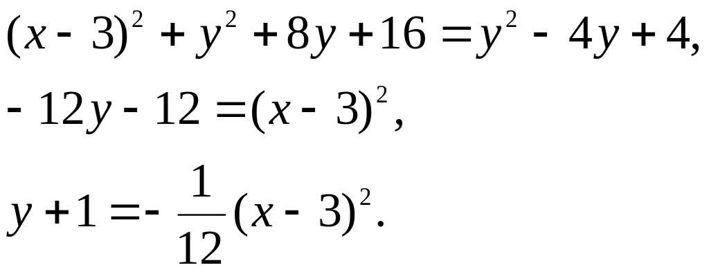
Задача
4. Составить
уравнение линии, для каждой точки которой
ее расстояние до точки
равно расстоянию до прямой
.
Полученное уравнение привести к
простейшему виду и построить кривую.
Решение.
– текущая
точка искомой кривой. Опустим из точки
М
перпендикуляр МВ
на прямую
(рис. 4). Тогда
.
Так как
,
то
или
y
У’
2 B
0 3 х
Х’
–4 А
M
Рис. 4
Полученное
уравнение определяет параболу с вершиной
в точке
.
Для приведения уравнения параболы к
простейшему (каноническому) виду положим
,
.
Тогда в системе координат
уравнение параболы принимает следующий
вид:
.
В системе координат
строим параболу.
Задача 5. Даны координаты трех точек:
А(3; 0; –5), В(6; 2; 1), С(12; –12; 3).
Требуется: 1) записать векторы и в системе орт и найти модули этих векторов; 2) найти угол между векторами и ; 3) составить уравнение плоскости, проходящей через точку С перпендикулярно вектору .
Решение.
1)
Если даны точки
и
,
то вектор
через орты
выражается следующим образом:
.
Подставляя в эту формулу координаты точек А и В, имеем:
.
Аналогично
.
Модуль вектора вычисляется по формуле
.
Подставляя
в формулу найденные ранее координаты
векторов
и
,
находим их модули:
,
.
2)
Косинус угла
,
образованного векторами
и
,
равен их скалярному произведению,
деленному на произведение их модулей
.
Так как скалярное произведение двух векторов, заданных своими координатами, равно сумме попарных произведений одноименных координат, то
.
Тогда
.
3)
Уравнение плоскости, проходящей через
точку
перпендикулярно вектору
,
имеет вид
.
По
условию задачи искомая плоскость
проходит через точку
перпендикулярно
вектору
.
Подставляя
,
получим:
– искомое уравнение плоскости.
Перенеся свободный член -30 в правую часть тождества и разделив на 30 все члены выражения, получим уравнение плоскости «в отрезках»:
.
Строим чертеж.
Задача 6, а. Данную систему уравнений записать в матричной форме и решить ее с помощью обратной матрицы:
Решение.
Обозначим
через А
– матрицу коэффициентов при неизвестных;
Х
– матрицу-столбец неизвестных
;
Н
– матрицу-столбец свободных членов:
С учетом этих обозначений данная система уравнений принимает следующую матричную форму:
. (1)
Если
матрица А
– невырожденная (ее определитель
отличен от нуля), то она имеет обратную
матрицу
.
Умножив обе части уравнения (1) на
,
получим:
. (2)
Но
(Е
– единичная матрица), а
,
поэтому
.
Равенство
(2) называется матричной записью решения
системы линейных уравнений. Для нахождения
решения системы уравнений необходимо
вычислить обратную матрицу
.
Пусть имеем невырожденную матрицу
.
Тогда
,
где
– алгебраическое дополнение элемента
в определителе матрицы А,
которое является произведением
на минор (определитель) второго порядка,
полученный вычеркиванием
-ой
строки и
-го
столбца в определителе матрицы А.
Вычислим
определитель
и алгебраические дополнения
элементов матрицы А.
– следовательно матрица А
имеет обратную матрицу
.
Тогда
.
По формуле (2) находим решение данной системы уравнений в матричной форме:
Откуда
получаем решение
Задача 6, б. Решить систему по формулам Крамера
Решение.
Задача
6, в. Решить
систему линейных уравнений методом
Гаусса, выполнить проверку:
.
(2)
Решение.
Составим расширенную матрицу и выполним над ней элементарные преобразования, указанные в методе Гаусса.
Метод Гаусса решения системы (2) состоит в следующем:
Разделим
все члены первого уравнения на
,
а затем, умножив полученное уравнение
на
, вычтем его соответственно из второго
и третьего уравнений системы (2). Тогда
из второго и третьего уравнений
неизвестное
будет исключено, и получится система
вида:
(3)
Теперь
разделим второе уравнение системы (3)
на
, умножим полученное уравнение на
и вычтем из третьего уравнения. Тогда
из третьего уравнения неизвестное
будет исключено и получится система
треугольного вида:
(4)
Из
последнего уравнения системы (4) находим
.
Подставляя найденное
во второе уравнение, находим
.
Наконец, подставляя найденное значение
в
первое уравнение, находим
.
Последней матрице соответствует ступенчатая система уравнений:
,
равносильная исходной.
Из этой системы последовательно находим:
Таким
образом:
.
Выполним проверку, подставив найденные значения в исходную систему:
,
Каждое
уравнение системы обращается в верное
равенство, следовательно,
–
единственное решение системы.
Задача 7. Вычислить пределы:
а)
; б)
;
в)
; г)
.
Решение.
а)
Подстановка предельного значения
аргумента
приводит к неопределенному выражению
вида
.
Для
устранения этой неопределенности
разложим числитель и знаменатель дроби
на множители и сократим дробь на множитель
.
Такое сокращение возможно, так как
множитель
отличен от нуля при
:
б)
При
выражение
дает неопределенность вида
.
Для ее устранения умножим и разделим
это выражение на
:
в)
Обозначим
.
Тогда
и
при
.
Применяя свойства пределов и формулу
первого замечательного предела
,
имеем:
г)
При
выражение
является неопределенностью вида
.
Для устранения этой неопределенности
представим основание степени в виде
суммы 1 и бесконечно малой при
величины и применим формулу второго
замечательного предела:
.
Тогда имеем:
.
Пусть
.
Тогда
и
при
.
Переходя к переменной у,
получим:
.
Справочные формулы Определители
1. Определителем 2-го порядка называется число, вычисляемое по формуле
,
где аij называется элементом определителя; первый индекс i указывает номер строки, а второй индекс j – номер столбца.
2. Определителем 3-го порядка называется число, вычисляемое по формуле (правило треугольников)
а11 а12 а13
а21 а22 а23 = а11 а22 а33 + а21 а32 а13 + а12 а23 а31 – а31 а22 а13 – а21 а12 а33 –
а31 а32 а33 -а32 а23 а11 .
3.
Минором Мij
элемента аij
определителя
называется определитель, полученный
из данного путем вычеркивания элементов
i-ой строки и j-го
столбца (на пересечении которых находится
элемент аij).
4. Алгебраическим дополнением Аij элемента аij данного определителя называется минор этого элемента, взятый со знаком (–1) i+j, т.е. Аij = (–1) i+j· Мij.
аi1 Аi1+ аi2 Аi2 + …+ аin Аin =
(разложение по элементам i-й строки, i = 1, 2,…, n);
а1j А1 j + а2 j А2 j + …+ аnj Аnj =
(разложение
по элементам j-го
столбца, j= 1,2,..,n).
Свойства определителей
Замена всех строк соответствующими столбцами (транспонирование) не меняет значение определителя.
В дальнейшем строку или столбец будем называть рядом определителя.
Перестановка двух параллельных рядов меняет знак определителя.
Общий множитель всех элементов какого-нибудь ряда можно выносить за знак определителя.
Если все элементы какого-нибудь ряда равны нулю, то определитель равен нулю.
Определитель с двумя пропорциональными (равными) параллельными рядами равен нулю.
Сумма произведений элементов какого-нибудь ряда на алгебраические дополнения элементов параллельного ряда равна нулю.
Определитель не изменится, если к элементам какого-нибудь ряда прибавить элементы параллельного ряда, предварительно умноженные на одно и то же число.
Матрицы, операции над ними
1. Матрицей размера m n называется прямоугольная таблица чисел, содержащая m строк и n столбцов.
Числа, составляющие матрицу, будем называть элементами матрицы аij, где i – номер строки, j – номер столбца или, в сокращенной записи, А=(аij); i = 1, 2,…, m; j = 1, 2,…, n.
Виды матриц
Матрица, состоящая из одной строки, называется матрицей-строкой (вектором-строкой), а из одного столбца – матрицей-столбцом (вектором-столбцом):
А = (а11; а12, …, а1n) – матрица-строка;
1
n
b11
В = b21 – матрица-столбец
… m 1
bm1
Матрица называется квадратной, если число ее строк равно числу столбцов.
Квадратная матрица А называется невырожденной, если
0.Квадратная матрица называется диагональной, если все ее недиагональные элементы равны нулю.
Диагональная матрица называется единичной, если все диагональные элементы равны единице, и обозначается Е.
Матрица любого размера называется нулевой, или нуль-матрицей, если все ее элементы равны нулю, и обозначается (0).
Матрица А называется треугольной (ступенчатой, если m n), если ниже ее главной диагонали все элементы равны нулю.
Операции над матрицами
1
В = ·А
bij
= аij
,
где i = 1, 2,…, m; j = 1, 2,…, n.
2. Суммой двух матриц А и В одинакового размера mn называется матрица С, элементы которой cij = аij+ bij, т.е.
С = А+В
cij
= аij+ bij
где i = 1, 2,…, m; j = 1, 2,…, n,
причем А+В = В+А; (А+В)+С = А+(В+С); (А+В) = А+В.
3. Разность двух матриц одинакового размера определяется через предыдущие операции: А – В = А + (–1)·В
4. Произведением матрицы А размера (mk) на матрицу В размера (kn) называется матрица С размера (mn), элемент которой
сij =
аisbsj
, для i = 1, 2,…, m;
j = 1, 2,…, n;
т.е.
А·В
= С
cij
= аi1b1j
+ аi2b2j+…+
аiкbкj mk
kn
mn
Свойства умножения матриц
А·В В·А – (в общем случае)
(А·В)·С = А·(В·С) – сочетательный закон.
(А·В) = (А) В = А·(В)
А·(В+С) = А·В + А·С
5) А·Е = Е·А = А,
где Е – единичная матрица того же размера, что и матрица А.
6
)
Если С = А·В,
то С = А· В
, где А и В квадратные матрицы.
5. Целой положительной степенью Аm (m>1) квадратной матрицы А называется произведение m матриц, равных А, т.е. Аm = А·А·…·А
m раз
6. Транспонирование матрицы – переход от матрицы А к матрице АТ, в которой строки и столбцы поменялись местами с сохранением порядка. Матрица АТ называется транспонированной относительно матрицы А.
7. Матрица А -1 называется обратной по отношению к квадратной матрице А, если при умножении этой матрицы на данную как справа, так и слева получается единичная матрица, т.е. А-1·А = А·А-1 = Е.
