Добавил:
Upload Опубликованный материал нарушает ваши авторские права? Сообщите нам.
Вуз: Предмет: Файл:
ИнтегрИсч_ДУ.doc
Скачиваний:
2
Добавлен:
01.07.2025
Размер:
2.79 Mб
Скачать

Вариант 1

1. Найти интеграл, используя свойства линейности:

1) 2)

3) 4)

5) 6)

7) 8)

9) 10)

2. Найти интеграл методом подстановки:

1) 2)

3) 4)

5) 6)

7) 8)

9) 10)

11) 12)

3. Интегрирование по частям:

1) 2) 3)

4. Найти интегралы:

1) 2) 3)

5. Найти интегралы от рациональных дробей:

1) 2) 3)

6. Вычислить интегралы:

1) 2) 3)

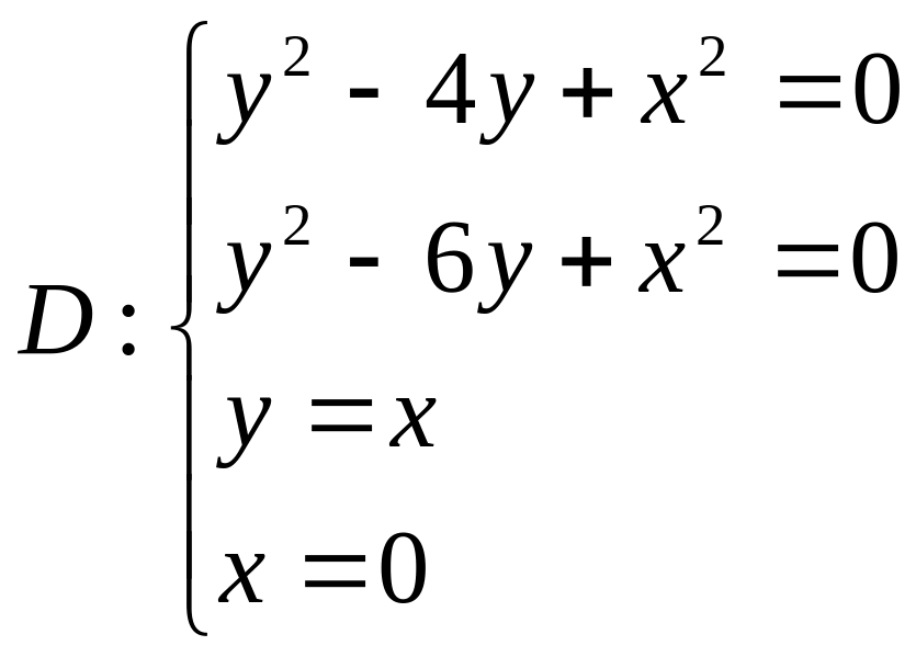
7. Вычислить площадь плоских фигуры, ограниченной линиями:

8. Вычислить двойные интегралы:

9. Перейти к полярным координатам и в пункте б) вычислить двойной интеграл:

а) б)

10. Решить дифференциальные уравнения 2-го порядка:

1

2

3

4

5

6

7

8

9

10

11. Решить линейные дифференциальные уравнения с постоянными коэффициентами:

а) однородные: б) неоднородные:

1 1

2 2

3 3

Вариант 2

1. Найти интегралы, используя свойство линейности:

1). 2). 3). 4). 5). 6). 7). 8). 9). 10).

2. Найти интегралы методом подстановки:

1). 2). 3). 4). 5). 6). 7). 8). 9). 10). 11). 12).

3. Интегрирование по частям:

1). 2). 3).

4. Найти интегралы:

1). 2). 3).

5. Найти интегралы от рациональных дробей:

1). 2). 3). 6. Вычислить интегралы: 1). 2). 3).

7. Вычислить площадь плоской фигуры, ограниченной линиями: а). и осью абсцисс б).

8. Вычислить двойные интегралы: а) б) в)

9. Перейти к полярным координатам и в пункте б) вычислить двойной интеграл:

а). б).