- •Управление качеством в строительстве
- •Санкт-Петербург
- •Оглавление
- •1.Общие положения
- •2.Методические указания к проведению практических занятий
- •3. Рекомендации по подготовке к занятиям
- •Занятие «Расчет показателей качества в строительстве» Задание 1
- •Методические указания
- •Задание 2
- •Методические указания
- •Задание 3
- •Методические указания
- •Занятие «Определение конкурентного строительного предприятия» Задание 1
- •Методические указания
- •Занятие «Расчет эффективности смк на строительном предприятии»
- •Методические указания
- •Занятие «Влияние качества на прибыль строительного предприятия» Задание 1
- •Методические указания
- •Занятие «Контрольный листок и гистограмма»
- •Исходные данные
- •Методические указания
- •Занятие «Диаграмма Парето»
- •Методические указания
- •Занятие «Диаграмма Исикавы»
- •Занятие «Контрольная карта Шухарта»
- •Методические указания
- •Занятие «Влияние качества на оплату труда персонала строительного предприятия» Задание 1
- •Методические указания
- •Задание 2
- •Методические указания
- •Занятие «Расчет затрат на качество на строительном предприятии» Задание
- •Занятие «Резервы снижения затрат на качество» Задание
- •Методические рекомендации
- •Занятие «Современные зарубежные и отечественные теории снижения затрат и повышения качества»
- •4. Рекомендуемая литература
Занятие «Расчет эффективности смк на строительном предприятии»
Исходная информация, условия и ограничения
За расчетный период принят один год работы строительного предприятия. Выручка от реализации строительно-монтажных работ (СМР), выполненных в отчетном году составила 100 000 тыс руб.
Плановая рентабельность по основной деятельности (выполнение СМР) принята на уровне 10 % от объема СМР.
Риск недополученной прибыли от функционированиясистемы менеджмента качества (СМК) состоит из 2-х типов рисков:
риск ненадежности участников проекта составляет 5%;
риск недополученных предусмотренных проектом доходов составляет 8%.
В отчетном году для оснащения СМК планируется приобрести еще один прибор для проверки качества строительных материалов на сумму 200 тыс руб.
Принято следующее распределение единовременных затрат и суммы штрафов по видам получения экономического эффекта:
на снижение издержек производства 80%;
на увеличение объемов производства 20%.
Налог на прибыль в отчетном году составляет 20%.
В табл. 9 приводятся показатели, обеспечивающие снижение издержек строительного производства при функционировании СМК.
В табл. 10 приводятся показатели, обеспечивающие рост объемов строительно-монтажных работ в результате функционирования СМК.
Определите
Прибыль строительного предприятия в результате функционирования СМК за один год работы.
Долю прибыли, полученную от функционирования системы менеджмента качества (СМК), в общей прибыли.
Долю прибыли в общем объеме СМР.
Таблица 9
Затраты и результаты функционирования СМК,
обеспечивающие снижение издержек
№№ |
Направления формирования экономического эффекта |
Снижение издержек на 1 млн руб. СМР, тыс руб. |
Текущие затраты на работу СМК на 1 млнруб., тыс руб. |
1 |
Сокращение потерь за счет качества проекта |
35 |
9 |
2 |
Сокращение потерь от брака |
48 |
20 |
3 |
Снижение издержек на гарантийное обслуживание |
11 |
7 |
4 |
Повышение уровня компетентности персонала |
6 |
6 |
Итого по направлению «снижение издержек» |
100 |
42 |
|
Таблица 10
Затраты и результаты функционирования СМК,
обеспечивающие рост объемов СМР
№№ |
Направления формирования экономического эффекта СМК |
Увеличение объема на 1 млн. руб. СМР, тыс.руб. |
Текущие затраты на работу СМК на 1 млн. руб., тыс.руб. |
1 |
Повышение качества принимаемых решений, |
70 |
7 |
2 |
Обеспечение конкурентоспособности и рейтинга СМО, |
75 |
6 |
Итого по направлению «рост объемов СМР» |
145 |
13 |
|
Методические указания
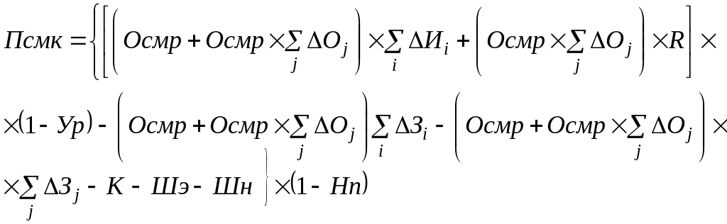
Прибыль строительного предприятия в результате функционирования СМК за один год его работы определяется по формуле 10:
(10)
где
–
годовая прибыль предприятия, полученная
в результате реализации процедур СМК,
млнруб.;
–
годовой объем строительно-монтажных
работ строительного предприятия, млн
руб.;
– прирост объемов СМР при реализации
-ой
процедуры СМК на один млн. руб., млн руб.;
– снижение издержек строительного
производства при реализации
-ой
процедуры СМК на один млн. руб., млн
руб.;
–
плановая рентабельность строительной
организации, %;
– уровень риска недополученной прибыли
строительнымпредприятием, %;
– прирост затрат при реализации
-ой
процедуры (обеспечивающей снижение
издержек) СМК на один млн. руб. СМР, млн
руб.;
– прирост затрат при реализации
-ой
процедуры (обеспечивающей увеличение
объемов) СМК на один млн. руб. СМР, млн.
руб.;
– единовременные вложения на создание
и развитие СМК текущем году, млн.руб.;
– объем штрафов в отчетном году по
условиям несоблюдения экологических
требований при строительстве, млн руб.;
– объем штрафов в отчетном году,
налагаемых Инспекцией Госархстройнадзора,
млн руб.;
– налог на прибыль, %.
Доля прибыли, полученная от функционирования СМК, в общей прибыли, определяется по формуле 11:
,
(11)
где
– доля прибыли, полученная от
функционирования СМК, %;
–
чистая прибыль
СМО, полученная по результатам года,
млн руб.
Чистая прибыль СМО ( ) определяется по формуле 12:
,
(12)
где – уровень рентабельности, %;
– налог на прибыль.
Результаты расчета заносятся в табл.11.
Таблица 11
Результаты расчетов
Расчетные показатели |
Количественное значение показателя, % |
Прибыль от внедрения СМК, млн. руб. |
Псмк |
Доля прибыли в общем объеме СМР |
УПсмр |
Доля прибыли от внедрения СМК в общей прибыли организации ( ) |
УП смк |
