2. Тунне́льный эффект, туннели́рование — преодоление микрочастицей потенциального барьера в случае, когда её полная энергия (остающаяся при туннелировании неизменной) меньше высоты барьера.
Туннельный эффект принято характеризовать так называемым коэффициентом прозрачности барьера:
|
|
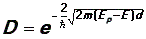
Коэффициент прозрачности характеризует вероятность прохождения частицы сквозь барьер. Эта вероятность очень сильно зависит от толщины барьера d: чем толще барьер, тем меньше вероятность туннельного эффекта. Туннельный эффект используется в электронике (туннельные диоды, автоэлектронная эмиссия). Природа a -распада также связана с туннельным эффектом.
3. Эффе́кт Га́нна — явление возникновения осцилляций тока (~ 109—1010 Гц) в однородном многодолинном полупроводнике при приложении к нему сильного электрического поля. Впервые этот эффект наблюдался Джоном Ганном в 1963 г. на арсениде галлия, затем явление осцилляций тока было обнаружено в фосфиде индия, фосфиде галлия и ряде других полупроводниковых соединений.
Диод Ганна — тип полупроводниковых диодов, использующийся для генерации и преобразования колебаний в диапазоне СВЧ. В отличие от других типов диодов, принцип действия диода Ганна основан не на свойствах p-n-переходов, а на собственных объёмных свойствах полупроводника.
4. Эффе́кт Хо́лла — явление возникновения поперечной разности потенциалов (называемой также холловским напряжением) при помещении проводника с постоянным током в магнитное поле. Открыт Эдвином Холлом в 1879 году в тонких пластинках золота.
Эффект Холла, в некоторых случаях, позволяет определить тип носителей заряда (электронный или дырочный) в металле или полупроводнике, что делает его достаточно хорошим методом исследования свойств полупроводников.
На основе эффекта Холла работают датчики Холла: приборы, измеряющие напряжённость магнитного поля. Датчики Холла получили очень большое распространение в бесколлекторных, или вентильных, электродвигателях (сервомоторах). Датчики закрепляются непосредственно на статоре двигателя и выступают в роли ДПР (датчика положения ротора). ДПР реализует обратную связь по положению ротора, выполняет ту же функцию, что и коллектор в коллекторном ДПТ.
Также на основе эффекта Холла работают некоторые виды ионных реактивных двигателей.
Также датчики на основе эффекта Холла широко используются в смартфонах в качестве физической основы работы электронного компаса.
5. Дио́д — электронный элемент, обладающий различной проводимостью в зависимости от направления электрического поля. Электрод диода, подключаемый к положительному полюсу источника тока, когда диод открыт (то есть имеет маленькое сопротивление), называют анодом, подключаемый к отрицательному полюсу — катодом.
Диоды бывают электровакуумными (кенотроны), газонаполненными (газотроны, игнитроны, стабилитроны),полупроводниковыми и др. В настоящее время в подавляющем большинстве случаев применяются полупроводниковые диоды.
Ламповые диоды
Ламповые диоды представляют собой радиолампу с двумя рабочими электродами, один из которых подогревается (проходящим через него током из специальной цепи накала или отдельной нитью накала). Благодаря этому, часть электронов покидает поверхность разогретого электрода (катода) и под действием электрического поля движется к другому электроду — аноду. Если же поле направлено в противоположную сторону, электрическое поле препятствует этим электронам и тока (практически) нет.
Полупроводниковые диоды
Полупроводниковые диоды используют свойство односторонней проводимости p-n перехода — контакта между полупроводниками с разным типом примесной проводимости, либо между полупроводником и металлом (Диод Шоттки).
Специальные типы диодов
Туннельные диоды (диоды Лео Эсаки). Диоды, существенно использующие квантовомеханические эффекты. Имеют область т. н. «отрицательного сопротивления» на вольт-амперной характеристике. Применяются как усилители, генераторы и пр.
Варикапы (диоды Джона Джеумма). Используется то, что запертый p—n-переход обладает большой ёмкостью, причём ёмкость зависит от приложенного обратного напряжения. Применяются в качестве конденсаторов переменной ёмкости.
Светодиоды (диоды Генри Раунда). В отличие от обычных диодов, при рекомбинации электронов и дырок в переходе излучают свет в видимом диапазоне, а не в инфракрасном. Однако выпускаются светодиоды и с излучением в ИК диапазоне, а с недавних пор — и в УФ.
Фотодиоды. Запертый фотодиод открывается под действием света.
Диоды Ганна. Используются для генерации и преобразования частоты в СВЧ диапазоне.
Диод Шоттки. Диод с малым падением напряжения при прямом включении.
Условные обозначения:
первый элемент буквенно-цифрового кода обозначает исходный материал (полупроводник), на основе которого изготовлен диод, например:
Г или 1 — германий или его соединения;
К или 2 — кремний или его соединения;
А или 3 — соединения галлия (например, арсенид галлия);
И или 4 — соединения индия (например, фосфид индия);
второй элемент — буквенный индекс, определяющий подкласс приборов;
Д — для обозначения выпрямительных, импульсных, магнито- и термодиодов;
Ц — выпрямительных столбов и блоков;
В — варикапов;
И — туннельных диодов;
А — сверхвысокочастотных диодов;
С — стабилитронов, в том числе стабисторов и ограничителей;
Л — излучающие оптоэлектронные приборы;
О — оптопары;
Н — диодные тиристоры;
третий элемент — цифра (или в случае оптопар — буква), определяющая один из основных признаков прибора (параметр, назначение или принцип действия);
четвёртый элемент — число, обозначающее порядковый номер разработки технологического типа изделия;
пятый элемент — буквенный индекс, условно определяющий классификацию по параметрам диодов, изготовленных по единой технологии.
Применение диодов Диодные выпрямители
Диоды широко используются для преобразования переменного тока в постоянный (точнее, в однонаправленный пульсирующий).Диодный выпрямитель или диодный мост — основной компонент блоков питания практически всех электронных устройств. Диодный трёхфазный выпрямитель по схеме А. Н. Ларионова на трёх параллельных полумостах применяется в автомобильных генераторах, он преобразует переменный трёхфазный ток генератора в постоянный ток бортовой сети автомобиля. Применение генератора переменного тока в сочетании с диодным выпрямителем вместо генератора постоянного тока с щёточно-коллекторным узлом позволило значительно уменьшить размеры автомобильного генератора и повысить его надёжность.
9. Биполярный транзистор — Транзистор, назначением которого является усиление мощности электрических сигналов, представляет собой полупроводниковый пробор с тремя чередующимися слоями полупроводника разного вида проводимости, на границе раздела которых образуется два р-n-перехода. Действие биполярного транзистора основано на использовании носителей заряда обоих знаков (дырок и электронов). Биполярный транзистор является наиболее распространенным активным полупроводниковым прибором.
Электрод, подключённый к центральному слою, называют базой, электроды, подключённые к внешним слоям, называют коллектором иэмиттером. На простейшей схеме различия между коллектором и эмиттером не видны. В действительности же главное отличие коллектора — бо́льшая площадь P-n-перехода. Кроме того, для работы транзистора необходима малая толщина базы.
Устройство транзистора. Биполярный транзистор в своей основе содержит три слоя полупроводника (р-n-р или n-р-n). Каждый слой полупроводника через невыпрямляющий контакт металл-полупроводник подсоединен к внешнему выводу. Средний слой и соответствующий вывод называют базой, один из крайних слоев и соответствующий вывод называют эмиттером, а другой крайний слой и соответствующий вывод-коллектором.
На рис. 1.13, а приведено схематическое изображение структуры транзистора типа n-р-n и два варианта условного графического обозначения (рис. 1.13, б). Транзистор типа р-n-р устроен аналогично, упрощенное изображение его структуры дано на рис. 1.14, а, вариант условного графического обозначения – на рис. 1.14, б. Транзистор называют биполярным, так как в процессе протекания электрического тока участвуют носители электричества двух знаков – электроны и дырки.
Рис.
1.13 Устройство (а) и обозначение транзистора
типа n-р-n (б)
Но в различных типах транзисторов роль электронов и дырок различна.
Транзисторы типа n-р-n более распространены в сравнении с транзисторами типа р-n-р, так как обычно имеют лучшие параметры. Это объясняется следующим образом: основную роль в электрических процессах в транзисторах типа n-р-n играют электроны, а в транзисторах типа р-n-р – дырки. Электроны же обладают подвижностью в два-три раза большей, чем дырки и поэтому быстродействие транзисторов типа n-р-n выше.
Рис.
1.14 Устройство (а) и обозначение транзистора
типа р-n-р
(б)
