- •Абсолютные и относительные показатели вариации
- •Для несгруппированных данных (простое)
- •Среднее значение альтернативного признака и его дисперсия:
- •Среднее квадратическое отклонение альтернативного признака:
- •Показатели относительного рассеивания
- •Пример расчета абсолютных и относительных показателей вариации:
- •Поголовье, поступивших на мясокомбинат
- •Выборочные начальные и центральные моменты. Асимметрия. Эксцесс.
- •1.7. Вычисление числовых характеристик выборки
- •1.7.1. Упрощенный способ вычисления статистических характеристик вариационных рядов
- •Формы распределения. Коэффициенты асимметрии и эксцесса.
- •Распределение объемов молока по жирности
- •Сервис-период коров
- •Критерии согласия Теоретические и эмпирические частоты. Проверка на нормальность распределения
- •Критерий согласия Колмогорова
Абсолютные и относительные показатели вариации
Вариация – различие в значениях какого-либо признака у разных единиц данной совокупности в один и тот же период или момент времени.
К показателям вариации относятся:
I группа — абсолютные показатели вариации
размах вариации
среднее линейное отклонение
дисперсия
среднее квадратическое отклонение
II группа — относительные показатели вариации
коэффициент вариации
коэффициент осцилляции
относительное линейное отклонение
Самым элементарным показателем вариации признака является размах вариацииR. Размах вариации показывает лишь крайние (min, max) отклонения признака от общей средней.
Для анализа вариации необходим показатель, который отражает все колебания варьирующего признака и дает обобщенную характеристику.
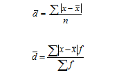
Среднее линейное отклонение — средняя арифметическая абсолютных значений отклонений (модуль отклонений) отдельных вариантов от их средней арифметической:
для несгруппированных данных (простое)
для сгруппированных данных (взвешенное)
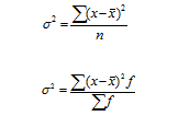
Дисперсия признака — средний квадрат отклонений вариантов от их средней величины, она вычисляется по формулам простой и взвешенной дисперсий:
Простая дисперсия для несгруппированных данных
Взвешенная дисперсия для вариационного ряда
Cвойства дисперсии:
если все значения признака уменьшить или увеличить на одну и ту же постоянную величину А- дисперсия не изменится;
если все значения признака уменьшить или увеличить в одно и то же число раз (k раз), то дисперсия уменьшится или увеличится в k2 раз.
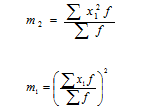
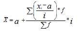
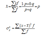
Используя второе свойство дисперсии, можно получить формулу вычисления дисперсии в вариационных рядах с равными интервалами по способу моментов:
где i – величина интервала, X1 — новые (преобразованные) значения вариантов (А – условное начало, в качестве которого удобно использовать середину интервала или величину признака, обладающего наибольшей частотой.
Момент второго порядка
Квадрат момента первого порядка
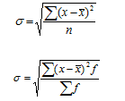
Среднее квадратическое отклонение равно корню квадратному из дисперсии:
Для несгруппированных данных (простое)
для вариационного ряда по сгруппированным данным (взвешенное)
Среднее квадратическое отклонение показывает, на сколько в среднем отклоняются отдельные варианты от их среднего значения.
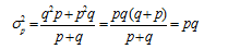
Среднее значение альтернативного признака и его дисперсия:
Среднее значение альтернативного признака
Дисперсия альтернативного признака
Подставив в формулу дисперсии q = 1 – p, получим:
Таким образом, дисперсия альтернативного признака равна произведению доли единиц, обладающих данным признаком и доли единиц, не обладающих данным признаком.
Среднее квадратическое отклонение альтернативного признака:
Показатели относительного рассеивания
Для характеристики меры колеблемости изучаемого признака исчисляются показатели колеблемости в относительных величинах. Они позволяют сравнивать характер рассеивания в различных распределениях (различные единицы наблюдения одного и того же признака в двух совокупностях, при различных значениях средних, при сравнении разноименных совокупностей). Расчет показателей меры относительного рассеивания осуществляют как отношение абсолютного показателя рассеивания к средней арифметической, умноженное на 100%.
1. Коэффициент осцилляции отражает относительную колеблемость крайних значений признака вокруг общей средней.
2. Относительное линейное отклонение характеризует долю усредненного значения абсолютных отклонений (модуль отклонений) от средней величины.
3. Коэффициент вариации - отношение среднего квадратического отклонения к средней арифметической, применяется для сравнения вариаций различных признаков, используется как характеристика однородности совокупности. Совокупность считается однородной, если коэффициент вариации не превышает 33%.
