- •1. Предмет теоретической механики. Основные абстракции.
- •2. Предмет кинематики.
- •3. Способы задания движения точки
- •Связь между координатным и естественным способами задания движения точки
- •4. Определение скорости точки при векторном способе задания движения.
- •Скорость точки в данный момент времени
- •Ускорение точки при векторном способе задания движения
- •1. Определение скорости и ускорения точки при координатном способе задания движения
- •Определение скорости точки
- •2. Вращение твердого тела вокруг неподвижной оси.
- •2. Разложение плоскопараллельного движения на поступательное вместе с полюсом и вращательное вокруг полюса
- •Основные кинематические характеристики плоского движения
- •3. Определение скоростей точек тела
- •Следствие 2. Концы скоростей точек неизменяемого отрезка лежат на одной прямой и делят эту прямую на части пропорциональные расстояниям между соответствующими точками отрезка
- •4. План скоростей
1. Предмет теоретической механики. Основные абстракции.
Теоретическая механика— это наука, в которой изучаются общие законы механического движения и механического взаимодействия материальных тел
Механическим движением называется перемещение тела по отношению к другому телу, происходящее в пространстве и во времени.
Механическим взаимодействием называется такое взаимодействие материальных тел, которое изменяет характер их механического движения.
Статика — это раздел теоретической механики, в котором изучаются методы преобразования систем сил в эквивалентные системы и устанавливаются условия равновесия сил, приложенных к твердому телу.
Кинематика — это раздел теоретической механики, в котором изучаетсядвижение материальных тел в пространстве с геометрической точки зрения, независимо от действующих на них сил.
Динамика — это раздел механики, в котором изучается движение материальных тел в пространстве в зависимости от действующих на них сил.
Объекты изучения в теоретической механике:
материальная точка,
система материальных точек,
абсолютно твердое тело.
Абсолютное пространство и абсолютное время независимы одно от другого. Абсолютное пространство — трехмерное, однородное, неподвижное евклидово пространство. Абсолютное время — течет от прошлого к будущему непрерывно, оно однородно, одинаково во всех точках пространства и не зависит от движения материи.
2. Предмет кинематики.
Кинематика - это раздел механики, в котором изучаются геометрические свойства движения тел без учета их инертности (т.е. массы) и действующих на них сил
Для определения положения движущегося тела (или точки) с тем телом, по отношению к которому изучается движение данного тела, жестко, связывают какую-нибудь систему координат, которая вместе с телом образует систему отсчета.
Основная задача кинематики состоит в том, чтобы, зная закон движения данного тела (точки), определить все кинематические величины, характеризующие его движение (скорость и ускорение).
3. Способы задания движения точки
Естественный способ
Должно быть известно:
-- траектория движения точки;
-- начало и направление отсчета;
-- закон движения точки по заданной траектории в форме (1.1)
|
|
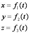
Координатный способ
|
|
Уравнения (1.2) – уравнения движения точки М.
Уравнение траектории точки М можно получить, исключив параметр времени «t» из уравнений (1.2)
Векторный способ
|
Связь между координатным и векторным способами задания движения точки
|
Связь между координатным и естественным способами задания движения точки
-- определить траекторию точки, исключив время из уравнений (1.2);
-- найти закон движения точки по траектории (воспользоваться выражением для дифференциала дуги)
После интегрирования получим закон движения точки по заданной траектории:
Связь между координатным и векторным способами задания движения точки определяется уравнением (1.4)

(1.2)