- •Глава 1. Основы метода
- •Глава 2. Методика и аппаратура
- •Глава 3. Обработка и интерпретация
- •Глава 1. Основы метода
- •1.1 Электромагнитные волны в земле
- •1.2 Отражение и дифракция электромагнитных волн
- •Глава 2. Методика и аппаратура
- •2.1 Методика
- •2.2 Аппаратура
- •Глава 3. Обработка и интерпретация данных
- •3.1 Обработка данных
- •3.2 Интерпретация георадарных данных
Оглавление
Введение
Глава 1. Основы метода
1.1 Электромагнитные волны в земле
1.2 Отражение и дифракция электромагнитных волн
1.3 Глубинность, разрешающая способность и детальность георадарных исследований
Глава 2. Методика и аппаратура
2.1 Методика
2.2 Аппаратура
Глава 3. Обработка и интерпретация
3.1 Обработка данных
3.2 Интерпретация георадарных данных
Заключение
Список литературы
Введение
Метод георадиолокационного подповерхностного зондирования (метод георадар) основан на изучении распространения электромагнитных волн в среде.
Идея метода заключается в излучении импульсов электромагнитных волн и регистрации сигналов, отраженных от границ раздела слоев зондируемой среды, имеющих различные электрофизические свойства. Такими границами раздела в исследуемых средах являются, например, контакт между сухими и влагонасыщенными грунтами (уровень грунтовых вод), контакты между породами различного литологического состава, между породой и материалом искусственного сооружения, между мерзлыми и талыми грунтами, между коренными и рыхлыми породами.
Все задачи, решаемые с помощью георадара, могут быть разделены на две большие группы с характерными для каждой группы методиками исследований, способами обработки, типами отображения объектов исследования в поле электромагнитных волн и представления результатов. Первая группа включает в себя геологические, гидрогеологические и инженерно-геологические задачи:
картирование геологических структур - поверхности коренных пород под рыхлыми осадками, уровня грунтовых вод, границ между слоями с различной степенью водонасыщения;
определение мощности водного слоя и картирование поддонных отложений.
определение мощности слоя сезонного промерзания/оттаивания, оконтуривание областей вечной мерзлоты, таликов
Вторая группа задач включает в себя поиск локальных объектов, обследование инженерных сооружений, нарушение штатной ситуации, например:
картирование коммуникаций (трубопроводов и кабелей);
исследование участков разреза с нарушенным естественным залеганием грунта - рекультивированных земель, засыпанных выемок.
Таким образом, в настоящее время георадар широко применяется в исследованиях при относительно небольшой глубине залегания целевых объектов (0.5 - 10 метров) за исключением изучения ледников и мерзлых пород, в которых глубинность повышается благодаря высоким сопротивлениям.
Глава 1. Основы метода
1.1 Электромагнитные волны в земле
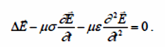
Для однородной изотропной среды распространение электрического поля удовлетворяет телеграфному уравнению:
Если пренебречь второй производной электрического поля, то это уравнение превратится в уравнение диффузии, а если пренебречь первой производной - мы получим волновое уравнение. Для того, чтобы определить, при каких условиях мы можем рассматривать только волновую часть поля, запишем телеграфное уравнение в частотной области:
где k - волновое число:
При условии, что
т.е. при низких проводимостях и высоких частотах, мы можем пренебречь индукцией и рассматривать только волновую часть электромагнитного поля.
Скорость распространения электромагнитной волны зависит от и электрической и магнитной проницаемостей среды. Значения диэлектрической и магнитной проницаемости представляются в виде ε=εоεотн и μ= μоμотн, где
- магнитная и диэлектрическая проницаемости в вакууме.
Для большинства горных пород значение магнитной проницаемости μотн близко к единице и не зависит от частоты поля. С учетом этого, скорость распространения электромагнитной волны
где с - скорость распространения электромагнитных волн в вакууме
Скорость электромагнитных волн - наиболее важный для радарных исследований параметр среды, поскольку отраженные волны, которые мы регистрируем, возникают на границах сред с разными скоростями. С другой стороны, разрешающая способность волновых методов определяется длиной волны (λ), которая равна
где f - частота.
Диэлектрическая проницаемость, а следовательно, и скорость распространения электромагнитных волн незначительно зависят от частоты и типа грунтов, а определяется, главным образом, их влагонасыщенностью. В таблице 1 представлены значения диэлектрической проницаемости, скорости и длины волны (на частоте 100МГц) для некоторых сред.
В сейсморазведке скорости определяют по годографам отраженных волн. В радиолокации таким способом определить скорости очень трудно. Электромагнитные волны быстро затухают, и регистрировать сигналы на большом расстоянии между источником и приемником практически невозможно. Реальные скорости можно определить либо используя априорную информацию о строении разреза, либо по дифрагированным волнам, возникающим на неоднородностях разреза.
Таблица 1
