1.3 Вычислить
Решение:
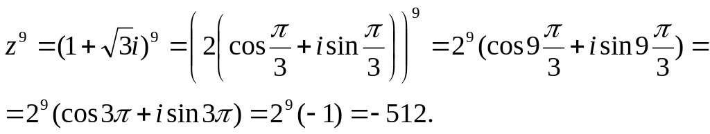
3.20 Вычислить
Решение
3.21 Найти
.
Решение Запишем сначала
число
в тригонометрической форме:
;
,
.
По формуле Муавра имеем
3.22 Найти частное
.
Решение:
.
3.23 Вычислить
Решение
3.24 Найти
.
Решение. Запишем подкоренное
выражение в тригонометрической форме
.
По формуле
Откуда получаем три значения корня
при
,
при
,
при
.
3.25 Изобразите на рисунке множество
точек
комплексной плоскости, удовлетворяющих
условию:
Решение: 1) Запишем z
в алгебраической форме
,
тогда
.
Найдем
.
Тогда
(возведем в квадрат),
.
- окружность с центром
и радиусом 2. Неравенство
задает множество точек, лежащих за
пределами окружности.
- окружность с центром
и радиусом 4. Неравенство
задает множество точек, лежащих внутри
окружности.
2)
,
т.е. получаем неравенства
.
Решением является пересечение заштрихованных областей.
3.26 Найдите все корни уравнения
.
Решение. .
.
.
3.27 Найти sin(1+2i).
Решение:
3.28* Найти вычет функции
относительно точки z = 2.
Решение: Эта точка является полюсом второго порядка. Получаем:
3.29* Вычислить определенный
интеграл
.
Решение: Подынтегральная функция является аналитической в верхней полуплоскости за исключением точки 2i. Эта точка является полюсом второго порядка.
Найдем вычет функции
Получаем
3.30* Вычислить определенный
интеграл
Решение: Подынтегральная функция является аналитической в верхней полуплоскости за исключением точки i. Эта точка является полюсом второго порядка.
Найдем вычет функции
Получаем
3.31 Восстановить аналитическую функцию по ее действительной и или мнимой части:
Восстановить аналитическую функцию по ее мнимой части можно двумя способами.
Решение.
Первый способ.
Второй способ.
3.32* .Вычислить:
а)
,
L – дуга окружности
от точки
,
до точки
б)
Решение
Теорема Коши о вычетах:
Если точка
– есть полюс n-го
порядка функции
,
то
В случае простого полюса
Знаменатель подынтегральной функции
обращается в нуль в точках
.
1) Внутри окружности
подынтегральная функция аналитическая,
поэтому в силу теоремы Коши:
2) Внутри окружности
функция имеет полюс первого порядка
,
согласно теореме Коши о вычетах:
3) Внутри окружности
функция имеет два полюса первого порядка
и
.
Согласно теореме Коши о вычетах:
Операционное исчисление.
3.33 Найти оригинал изображения
.
Решение.
Представляя изображение в виде
и
сравнивая эти выражения с формулами,
находим оригинал
.
3.34. Найти оригинал изображения
.
.
Решение.
Наличие степеней переменной р
в знаменателе позволяет применить
теорему об интегрировании оригинала:
,
,
.
Можно решить этот пример с помощью свёртки:
,
.
Однако проще всего представить F(p)
в виде суммы простых дробей
3.35.
Найти решение задачи Коши методами
операционного исчисления x″ −
2 x′ + x = e t, x(0)
= 1, x′(0) = 2.
Решение.
Пусть x(t)
X(p).
Тогда x ′(t) p X(p) − x(0) = p X(p) − 1,
x ″(t) p2 X(p) − p − 2,
,
и изображение задачи имеет вид
.
Находим
X(p):
.
Обращаем это изображение:
,
.
Решение задачи:
.
3.36
Найти решение системы
удовлетворяющее условиям: x(0) = 1, x′(0) = 2, y(0) = 0, y′(0) = 1 при t = 0. Решение. Пусть x(t) X(p), y(t) Y(p).
Тогда x′(t) p X(p) − 1, y′(t) p Y(p),
x″(t)
p
2X(p) − p −
2, y″(t)
p
2Y(p) − 1, и изображение
задачи имеет вид
Решаем
эту систему относительно X(
p), Y( p): из
первого уравнения вычитаем второе,
умноженное на р:
(после
разложения на простые дроби)
;
Если на р
умножить первое уравнение и вычесть
второе, получим
.
Итак, решение задачи
.
