Тренировочные задачи и упражнения
Специальность ИВТ
Дисциплина алгебра и геометрия
1 семестр
2012-2013
Модуль 1
1 Линейная алгебра.
Даны матрицы А =
;
B =
,
найти 2А + В.
Решение. 2А =
,
2А + В =
.
Даны матрицы А =
,
В =
,
С =
и число
= 2. Найти АТВ+С.
Решение. AT
=
;
ATB
=
=
=
;
C
=
;
АТВ+С
=
+
=
.
1.3 Вычислить определитель матрицы
А =
Решение:
= -5 + 18 + 6 = 19.(раскладывали по 1 строке.)
1.4. Найти значение
матричного многочлена
если
.
Решение.
.
1.5. Определить ранг матрицы
.
Решение:
1
стр.+3 стр ~
1стр.-2стр*4~
1стр-2стр,
нулевую отбрасываем~
,
rang (А) = 2.
1.6 Определить след, норму матрицы
.
Решение:
(сумма
диагональных элементов)
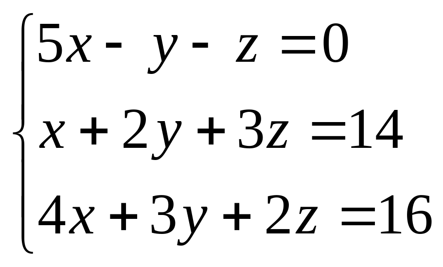
1.7 Решить систему уравнений матричным методом:
Решение:
Х =
,
B =
,
A =
Найдем обратную матрицу А-1.
= det A =
5(4-9)
+ 1(2 – 12) – 1(3 – 8) = -25 – 10 +5 = -30.
А11 =
= -5; А21 = -
= -1; А31 =
= -1;
А12 = -
А22 =
А32 = -
А13 =
А23 = -
А33 =
A-1 =
;
Сделаем проверку:
AA-1 =
=E.
Находим матрицу Х.
Х =
=
А-1В =
=
.
Итого решения системы: x =1; y = 2; z = 3.
1.8. Найти число обусловленности матрицы A =
Решение.
Ранее нашли. A-1 = ;
;
1.9 Найти решение системы уравнений Методом Крамера:
Решение:
=
= 5(4 – 9) + (2 – 12) – (3 – 8) = -25 – 10 + 5 = -30;
x
=
= (28 – 48) – (42 – 32) = -20 – 10 = -30.
x = x/ = 1;
y
=
= 5(28 – 48) – (16 – 56) = -100 + 40 = -60.
y = y/ = 2;
z
=
= 5( 32 – 42) + (16 – 56) = -50 – 40 = -90.
z = z/ = 3.
1.10 Решить систему линейных уравнений методом Гаусса.
Решение:
Составим расширенную матрицу системы и преобразуем при помощи элементарных преобразований.
А* =
Таким образом, исходная система может быть представлена в виде:
,
откуда получаем: x3 = 2; x2 = 5;
x1 = 1.
1.11. Найти собственные числа и
собственные векторы оператора, заданного
матрицей
.
Решение.
Составим характеристическое уравнение
имеет вид
,
получаем
- собственные числа.
Решая для каждого собственного числа
систему
находим соответствующие им собственные
векторы
,
.
1.12.. Найдите собственные числа
и собственные векторы оператора,
заданного матрицей
.
Решение.
Составляем характеристическую матрицу
:
Решаем характеристическое уравнение
.
Подбором находим один из корней -1.
Так как число -1 является корнем многочлена
,
то многочлен
делится на разность
,
то есть
,
где
- многочлен. Выделим в характеристическом
многочлене множитель
:
Находим корни трехчлена
.
Они равны -1 и 3. Таким образом,
- корень кратности 2 ,
- простой корень. Итак, собственные числа
матрицы
равны
,
.
Найдем соответствующие им собственные
векторы.
Пусть
,
тогда для собственного вектора X получаем
матричное уравнение
,
что соответствует системе уравнений
Решаем ее методом Гаусса. Выписываем расширенную матрицу системы
.
Первую строку, умноженную на числа -2 и -3 прибавляем соответственно ко второй и третьей строкам
.
Меняем местами вторую и третью строки
.
Возвращаемся к системе уравнений
.
Ранг матрицы
равен
2. Число уравнений равно 2 (число линейно
независимых строк), а число неизвестных
3. Поэтому фундаментальная система
содержит только одно (3-2=1) решение.
Переменные
оставляем в левой части, а переменную
переносим в правую часть
.
Полагаем
,
находим
.
Итак, собственному числу
соответствует собственный вектор
.
Пусть
,
тогда для собственного вектора
получаем матричное уравнение
,
что соответствует системе уравнений
.
Решаем ее методом Гаусса. Выписываем расширенную матрицу
Первую строку умножаем на числа 2 и 3 и прибавляем соответственно ко второй и третьей строкам
Вторую строку умножаем на -1 и прибавляем к третьей
Возвращаемся к системе уравнений
Ранг матрицы равен 2. Число уравнений равно 2 (число линейно независимых строк), а число неизвестных 3. Поэтому фундаментальная система содержит только одно (3-2=1) решение. Переменные оставляем в левой части, а переменную переносим в правую часть
.
Полагаем
,
находим
.
Итак, собственному числу
соответствует собственный вектор
.
. Чтобы избавиться от дроби, умножим
собственный вектор на 2, получим
собственный вектор с тем же самым
собственным числом. В итоге собственному
числу
соответствует
собственный вектор
.
1.13. Найти фундаментальную систему решений
Решение.
1. В системе выражаем r – базисных переменных (с отличным от нуля базисным минором) через свободные.
~
r(A) = r = 2
n = 4 k = n – r = 2
Фундаментальная система решений имеет k = 2
- базисные
- свободные
2. Поочередно заменяем n
– r свободных переменных
строками единичной матрицы
.
1)
2)
фундаментальная система решений
Общее решение
.
2 Векторная алгебра.
2.1 Даны векторы
(1;
2; 3),
(-1;
0; 3),
(2;
1; -1) и
(3;
2; 2) в некотором базисе. Показать, что
векторы
,
и
образуют
базис и найти координаты вектора
в этом базисе.
Решение. Векторы образуют базис, если они линейно независимы, другими словами, если уравнения, входящие в систему:
линейно независимы.
Тогда
.
Это условие выполняется, если определитель матрицы системы отличен от нуля.
Для решения этой системы воспользуемся методом Крамера.
1 =
;
2 =
3 =
Итого, координаты вектора в базисе , , : = { -1/4, 7/4, 5/2}.
2.2 Найти (5
+ 3
)(2
-
),
если
Решение.
10
-
5
+
6
-
3
= 10
,
т.к.
.
2.3 Найти угол между векторами
и
,
если
.
Решение.
= (1, 2, 3), = (6, 4, -2)
= 6 + 8 – 6 = 8:
.
cos =
2.4 Найти векторное произведение
векторов
и
.
Решение.
= (2, 5, 1); = (1, 2, -3)
.
2.5 Вычислить площадь треугольника с вершинами А(2, 2, 2), В(4, 0, 3), С(0, 1, 0).
Решение.
2.6 Найти площадь параллелограмма,
построенного на векторах
,
если
Решение.
(ед2).
2.7 Доказать, что точки А(5; 7; 2), B(3; 1; -1), C(9; 4; -4), D(1; 5; 0) лежат в одной плоскости.
Решение.
Найдем координаты векторов:
Найдем смешанное произведение полученных векторов:
,
Таким образом, полученные выше векторы компланарны, следовательно точки A, B, C и D лежат в одной плоскости.
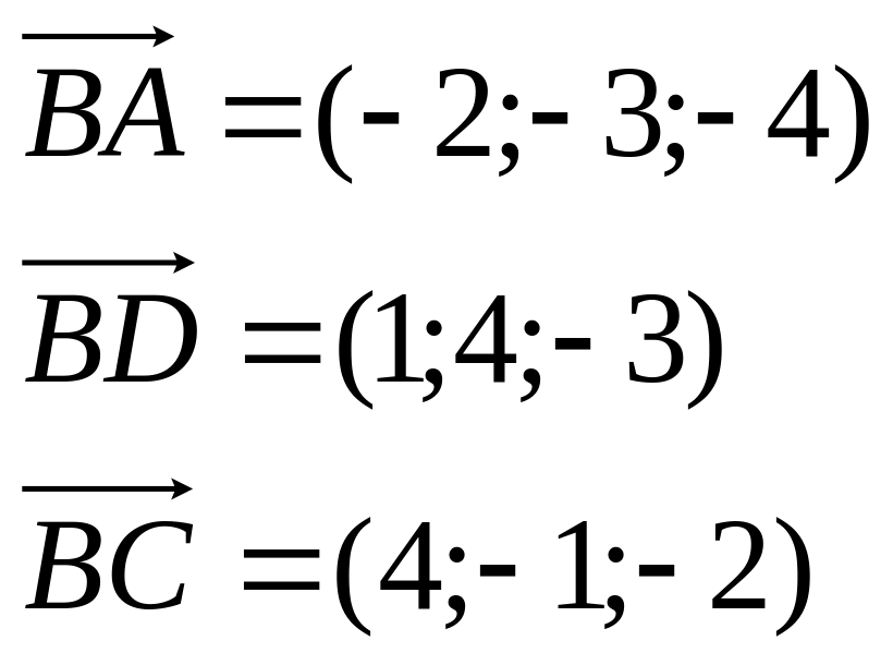
2.8 Найти объем пирамиды и длину высоты, опущенной на грань BCD, если вершины имеют координаты A(0;0;1), B(2;3;5), C(6;2;3), D(3;7;2).
Решение.
Найдем координаты векторов:
Объем пирамиды
Для нахождения длины высоты пирамиды найдем сначала площадь основания BCD.
Sосн =
(ед2)
Т.к. V =
;
(ед)
2.9. Найти координаты вектора
в пространстве R3
-- трехмерном векторном пространстве,
в новом базисе
,
,
Решение.
Выпишем матрицу перехода, ее столбцы -- это координаты новых базисных векторов
Пусть
-
координатный столбец вектора
в новом базисе. Тогда
,
откуда
Находим определитель
Находим алгебраические дополнения и обратную матрицу
.
Находим координаты вектора
.
Таким образом, новые координаты вектора
:
,
Тот же самый результат можно было получить, записав систему уравнений
Решив эту систему, например, методом Гаусса, найдем новые координаты .
Модуль 2.
3 Аналитическая геометрия. Прямая на плоскости.
3.1 Найти уравнение прямой,
проходящей через точку А(1, 2) перпендикулярно
вектору
(3,
-1).
Решение.
Воспользуемся общим уравнением прямой
.
Составим при А = 3 и В = -1 уравнение прямой:
3х – у + С = 0. Для нахождения коэффициента
С подставим в полученное выражение
координаты заданной точки А.
Получаем: 3 – 2 + C = 0, следовательно С = -1.
Итого: искомое уравнение: 3х – у – 1 = 0.
3.2 Прямая отсекает на координатных осях равные положительные отрезки. Составить уравнение прямой, если площадь треугольника, образованного этими отрезками равна 8 см2.
Решение.
Уравнение прямой имеет вид:
,
a = b =
1; ab/2 = 8; a
= 4; -4.
a = -4 не подходит по условию задачи.
Итого:
или х + у – 4 = 0.
3.3 Составить уравнение прямой, проходящей через точку А(-2, -3) и начало координат.
Решение.
Уравнение прямой имеет вид:
,
где х1 = у1 = 0; x2
= -2; y2 = -3.
3.4 Определить угол между прямыми: y = -3x + 7; y = 2x + 1.
Решение. Угол между двумя прямыми,
заданными уравнениями с угловыми
коэффициентами
,
определяется по формуле:
.
k1 = -3; k2
= 2 tg
=
;
=
/4.
3.5 Даны вершины треугольника А(0; 1), B(6; 5), C(12; -1). Найти уравнение высоты, проведенной из вершины С.
Решение.
Находим уравнение стороны АВ:
;
4x = 6y – 6;
2x – 3y + 3 =
0;
Искомое уравнение высоты имеет вид: Ax + By + C = 0 или y = kx + b.
k =
.
Тогда y =
.
Т.к. высота проходит через точку С, то
ее координаты удовлетворяют данному
уравнению:
откуда
b = 17. Итого:
.
Ответ: 3x + 2y – 34 = 0.
Кривые 2 порядка.
3.6 Найти координаты центра и радиус окружности, если ее уравнение задано в виде 2x2 + 2y2 – 8x + 5y – 4 = 0.
Решение. Для нахождения координат центра и радиуса окружности данное уравнение необходимо привести к каноническому виду. Для этого выделим полные квадраты:
x2 + y2 – 4x + 2,5y – 2 = 0
x2 – 4x + 4 –4 + y2 + 2,5y + 25/16 – 25/16 – 2 = 0
(x – 2)2 + (y + 5/4)2 – 25/16 – 6 = 0
(x – 2)2 + (y + 5/4)2 = 121/16
Отсюда находим О(2; -5/4); R = 11/4.
3.7 Составить уравнение эллипса, если его фокусы F1(0; 0), F2(1; 1), большая ось равна 2.
Решение. Уравнение эллипса имеет
вид:
.
Расстояние между фокусами:
2c =
,
таким образом, a2 –
b2 = c2
= ½
по условию 2а = 2, следовательно а = 1, b
=
Итого:
.
3.8 Составить уравнение гиперболы,
если ее эксцентриситет равен 2, а фокусы
совпадают с фокусами эллипса с уравнением
Решение. Находим фокусное расстояние c2 = 25 – 9 = 16.
Для гиперболы: c2 = a2 + b2 = 16, e = c/a = 2; c = 2a; c2 = 4a2; a2 = 4;
b2 = 16 – 4 = 12.
Итого:
- искомое уравнение гиперболы.
3.9 На параболе у2 = 8х найти точку, расстояние которой от директрисы равно 4.
Решение. Из уравнения параболы
получаем, что р = 4.
r = x + p/2 = 4; следовательно:
x = 2; y2 = 16; y = 4. Искомые точки: M1(2; 4), M2(2; -4).
3.10. Привести к каноническому виду уравнение второго порядка
.
Решение.
Матрица квадратичной формы
имеет
вид:
.
Найдем ее собственные числа и собственные
векторы. Составим характеристическое
уравнение:
,
.
Для координат собственного вектора
,
соответствующего λ1, получим с
учетом нормировки:
,
откуда
=
.
Аналогично найдем
,
=
.
Составим матрицу перехода к новому
базису, столбцами которой будут координаты
собственных векторов:
.
Тогда
.
Подставив эти выражения в исходное
уравнение, получим его вид в новой
системе координат:
.
Заметим, что коэффициентами при x²
и y² являются λ1 и λ2.
Преобразуем полученное уравнение:
,
.
Зададим параллельный перенос формулами:
.
Получим уравнение:
,
а после деления на 8:
- каноническое уравнение гиперболы.
3.11. Определить тип кривой, заданной
уравнением
,
ее параметры и сделать рисунок.
Решение.
Сгруппируем переменные:
.
Дополним выражения, стоящие в скобках,
до полного квадрата:
,
Получим:
Уравнение
определяет гиперболу с центром в точке
и полуосями
.
Оси данной гиперболы будут лежать на
прямых
.
Определим параметр
:
.
Тогда эксцентриситет будет равен:
.
Асимптотами гиперболы будут прямые
,
или, после очевидных преобразований
.
Директрисами гиперболы будут прямые
,
или, что то же самое, прямые
.
3.12. Найти координаты точки М(-4;2) в новой системе координат, полученной поворотом осей на 30° и переносом начала координат в точку А(6;-2).
Решение.
Используем формулы перехода
.
У нас
.
Решаем систему, находим
,
т.е.
.
Прямая и плоскость в пространстве.
3.13 Найти уравнение плоскости, зная, что точка Р(4; -3; 12) – основание перпендикуляра, опущенного из начала координат на эту плоскость
Решение.
Таким образом, A = 4/13; B = -3/13; C = 12/13, воспользуемся формулой:
A(x – x0) + B(y – y0) + C(z – z0) = 0.
3.14 Найти уравнение плоскости, проходящей через точки А(2, -1, 4) и В(3, 2, -1) перпендикулярно плоскости х + у + 2z – 3 = 0.
Решение. Искомое уравнение
плоскости имеет вид: Ax
+ By + Cz
+ D = 0, вектор нормали к
этой плоскости
(A,
B, C). Вектор
(1,
3, -5) принадлежит плоскости. Заданная
нам плоскость, перпендикулярная искомой,
имеет вектор нормали
(1,
1, 2). Т.к. точки А и В принадлежат обеим
плоскостям, а плоскости взаимно
перпендикулярны, то
Таким образом, вектор нормали (11, -7, -2). Т.к. точка А принадлежит искомой плоскости, то ее координаты должны удовлетворять уравнению этой плоскости, т.е. 112 + 71 - 24 + D = 0; D = -21.
Итого, получаем уравнение плоскости: 11x - 7y – 2z – 21 = 0.
3.15 Привести к каноническому виду уравнение прямой, заданное в виде:
Решение.
Для нахождения произвольной точки прямой, являющейся линией пересечения указанных выше плоскостей, примем z = 0. Тогда:
;
2x – 9x – 7 = 0;
x = -1; y = 3;
Получаем: A(-1; 3; 0).
Направляющий вектор прямой:
.
Итого:
3.16 Даны координаты вершин пирамиды А1(1; 0; 3), A2(2; -1; 3), A3(2; 1; 1), A4(1; 2; 5).
1. Найти длину ребра А1А2.
Решение.
2. Найти угол между ребрами А1А2 и А1А4.
Решение.
3. Найти угол между ребром А1А4 и гранью А1А2А3.
Решение. Сначала найдем вектор
нормали
к грани А1А2А3 как
векторное произведение векторов
и
.
= (2-1; 1-0; 1-3) = (1; 1; -2);
Найдем угол между вектором нормали и
вектором
.
-4
– 4 = -8.
Искомый угол между вектором и плоскостью будет равен = 900 - .
4. Найти уравнение плоскости А1А2А3.
Решение. Воспользуемся формулой уравнения плоскости, проходящей через три точки.
2x + 2y + 2z – 8 = 0
x + y + z – 4 = 0.
