- •Тема1 Основные понятия теории систем
- •1.2 Классификация систем
- •1.3 Закономерности систем
- •1.4 Системный подход. Системный анализ
- •2.1 Качественные методы описания систем
- •2.2 Количественные методы
- •2.3 Кибернетический подход к описанию систем
- •2.4 Модели и моделирование ис
- •2.5 Сигналы в исследуемых системах
- •Тема 3.
- •3.3 Вх и вых сигналы.
- •3.4. Операторы переходов и выходов.
- •3.5. Детерминированные системы без последствия с вх. Сигналами двух классов.
- •3.6. Детерминированные системы с последействием.
- •3.7. Стохастические системы.
- •3.7.3. Предельная (финальная) вероятность состояний.
- •3.7.4. Типовые мсп.
- •3.7.5. Примеры применения мсп к исследованию систем.
- •3.8. Системы массового обслуживания.
- •3.8.1. Одноканальная смо с отказами.
- •3.8.2. Многоканальные смо с отказами.
- •3.8.3. Одноканальные смо с ожиданием.
- •3.8.4. Многоканальные смо с ожиданием.
- •Тема 4.
- •4.1. Понятие агрегата. Структура агрегативных систем (а-систем)
- •Тема 5.
- •5.1. Основные типы иерархии.
- •5.2. Формализация иерархических понятий.
- •5.3. Модели принятия решений при управлении сложными объектами.
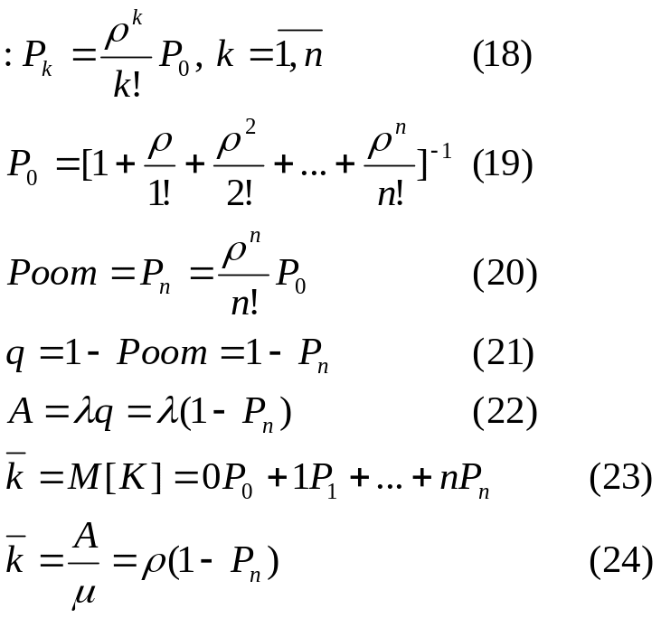
3.8.2. Многоканальные смо с отказами.
Дано: , , k=n, система с отказами.
Найти: А-?, q-?, Ротк – ?, -?
Система (14) получила название системы ур-й Эрланда. Решение её при заданных нач условиях (н-р, Р0(0)=1; Pi(0)=0, i=[1,n] (**)) позволяет найти Pi(t), где i=[0,n]. В задачах, связ с динамикой полётов, наведением исп Pi(t) Также существует много задач, где нас интересуют предельные вероятности Pi. Для них сост ур-я Эрланда. Для любого k-го выделенного состояния определяется его вероятность:
Введём
(17)
– приведённая интенсивность потока
заявок. Физ смысл: это сред число заявок,
пришедших в систему за время обслуживания
одно заявки.
Для любого k-го состояния:
3.8.3. Одноканальные смо с ожиданием.
Дано: , , k=1, система с ожиданием, причём очередь ограничена числом m.
Найти: А-?, q-?, Ротк – ?,
-?,
(среднее число заявок, нах в очереди),
rc -?
(среднее число заявок, связ с системой:
в очереди и под обслуживанием),
- ? (среднее время ожидания обслуживания).
Рассмотрим случай, когда m.
Найти: А-?, q-?, Ротк – ?, -?, rc -?, - ?
сходится
стационарность
процесса формирования очереди.
3.8.4. Многоканальные смо с ожиданием.
Дано: , , k=n, система с ожиданием, причём очередь ограничена числом m.
Найти: А-?, q-?, Ротк – ?,
-?,
rc -?,
- ?,
-?,
-?
на экзамене рассчитать.
Тема 4.
Агрегативные системы.
4.1. Понятие агрегата. Структура агрегативных систем (а-систем)
Проблема: создание единой схемы исследования всех типов систем, а также задачи структурного и параметрического синтеза и анализа.
Требования:
эта схема должна иметь динамический хар-р;
должна иметь связь с внешней средой;
должна учитывать влияние сл факторов (т.е. в общем сл быть стохастической)
Такой абстрактной схемой явл агрегат.
Опишем нашу систему:
Т – мн-во действит чисел, кот определяют нек мом времени t
Х – мн-во входных сигналов х
Y – мн-во выходных сигналов у
U – мн-во сигналов управления u
Z – мн-во состояний z
Агрегат – это объект, определяемый мн-вами X, Y, U, Z, T:
и случ операторами переходов H и выходов G. Случ операторы H и G определяют ф-и z(t) и y(t). Именно случ хар-р операторов переходов H и выходов G выделяет его из мн-ва других определений и описаний систем.
При рассмотрении агрегатов часто упоминают в кач частных решений задач Марковские и кусочно-линейные агрегаты, где исп аппарат МСП. Понятие «Агрегат» было предложено Киевской школой.
Структура любой сложной системы:
Пусть наша сложная система состоит из ограниченного числа агрегатов (7)
С1, С4 – входные полюса;
С1, С3, С6 – упр полюса;
С3, С7 – вых полюса
Основополагающим понятием явл «полюс». Полюс – это связь с внеш средой.
Исследование агрегативных систем как правило сводят к исследованию частных Марковских агрегатов.
Продолжение следует…
Тема 5.
Иерархические системы.
5.1. Основные типы иерархии.
Иерархия – это расположение частей и элементов целого в порядке от высшего к низшему.
Термин «иерархия»: hieros – «священный», arche – «власть».
Это понятие внёс Дионисий Ареопалит в 5 в н.э. Он его использовал в трактатах о небесной и церковной иерархии. И до сер 19 века это понятие исп только в христ церкви. А потом оказалось, что он удобен для описания структуры власти и особенностей бюрократии. А после появления теории систем с конца 20 века это понятие стали исп для описания систем.
Введём понятие многоуровневой иерархической системы (для описания сложных систем). Не существует полного и сжатого определения, поэтому выделяют ряд cв-в, кот присущи многоуровневым иерарх системам:
- вертикальная соподчинённость
- право вмешательства
- взаимозависимость действий
Структура:
Т.о. систему м. представить в виде совокупности подсистем, на входы кот поступают воздействия и с вых снимаются сигналы.
Верт соподчинённость означает, что иерархия состоит из последоваетльно расположенных вертикально взаимосвязанных подсистем, составляющих данную систему. Это понятие часто исп вместе с понятием «вертикальная декомпозиция». Положения:
не явл обязательным наличие входов для каждой выделенной подсистемы;
подсистемы не обязательно связаны м/у собой на уровне соседних подсистем, т.е. связи м/у подсистемами могут носить более сложный хар-р.
Право вмешательства (приоритет действий) подсистем верхнего уровня носит для подсистем низшего уровня обязывающий хар-р.
Взаимозависимость действий.
В конечном итоге всё, что делается подсистемой определяется эфф-тью действия подсистем низшего уровня. И для того, чтобы система была эфф-на с т.зр. её осн задачи, обязательно должна учитываться И-я, идущая снизу.
Введём ряд понятий. Они связаны и определяют особенности построения иерархических систем.
Иерархические системы могут быть нескольких уровней описания:
Выделение уровней с точки зрения описания или абстрагирования (страта);
Уровень сложности принимаемого решения (слой);
Организационный уровень (эшелон)
Понятие «уровень» явл родовым для всех типов иерархии.
Подсистемы высшего уровня получили название подсистем вышестоящего уровня, а низшего – нижележащего уровня.
При рассмотрении любой системы возникает проблема простоты и сложности. Решение проблемы между простотой представления системы и необходимостью учёта достаточно большого количества переменных находит в иерархическом подходе к описанию системы, который сводится к созданию семейства моделей для каждого, предварительно выделенного уровня системы. На каждом уровне используются свои законы, отличные от законов других уровней, свои принципы и переменные. При выделении уровней стремятся к тому, чтобы модели, отражающие процессы уровней, по возможности были независимы. Процесс выделения по техническим, информационным и экономическим признакам (факторам) получил название стратифицирования системы, а уровни – страты.
Пример 1:
страты независимы.
Пример 2: автоматизированный промышленный комплекс:
В д. сл. объект производства – нек существующий реальный продукт. Пусть это автомобиль. Для него нужно сырьё. Реализуется технический процесс, вкл в себя очень огромный набор операций. Это страта 1. Для того, чтобы всё это произвести, нужно управлять этим процессом. Здесь главное – И-я. На 3 уровне: автомобили – это экономический объект, кот может приносить прибыль или убытки, след-но, важно получить наибольшую прибыль, а остальное неважно.
Это укрупнённая схема. Каждую страту можно детализировать (стратифицировать). Таких примеров можно привести много.
Общие cв-ва стратифицированного описания систем:
выбор страты зав от пользователя, его знаний и заинтересованности в ф-я системы.
аспекты описания ф-я системы на различных стратах в общем случае не связаны м/у собой. Поэтому принципы и законы, используемые для хар-ки системы на любой страте, в общем сл не м.б. выведены из принципов, используемых на других стратах.
на каждой страте имеется свой собственный набор терминов, концепций и принципов.
понимание системы определяется при последовательном пререходе от одной страты к другой. Причём мы можем идти как сверху вниз (понимаем более детально ф-е системы), так и снизу вверх (понимаем роль системы, её значимость в целом).
Слои определяют уровень сложности принятия решений. При принятии решения ЛПР сталкивается со следующими проблемами:
решение нужно принимать быстро
решение проблемы связано с необходимостью учёта достаточно большого количества неопределённостей, связанных с входными воздействиями и последствиями принимаемых решений.
В рамках системы принятия решений общее решение Р разделяется на ряд решений Pi, которые и называются слоями:
Пример: производственный процесс. Проблема: максимизировать прибыль.
Организационный уровень предполагает учёт трёх моментов:
вся система может быть представлена в виде совокупности предварительно выделенных взаимодействующих между собой подсистем;
некоторые из подсистем представляют собой решающие элементы;
решающие элементы в рамках системы могут располагаться (и как правило располагаются) иерархически, т.е. некоторые из них нах под влиянием или управлением других решающих элементов.
Элементы (подсистемы) нижнего уровня решают частные задачи по управлению единым процессом (упр-е станком, испыт центром, по производству единой продукции). Управление в рамках этих подсистем осущ на осн И-и, от отдельных лок эл-тов управления. И на её основе принимается решение. Но их несколько, и каждый имеет свой лок эл-т управления, т.е. стремится выполнить свою лок задачу, не обращая внимания на др. Чтобы этого не случилось, т.е. чтобы выполнить единую задачу, вводится понятие решающего элемента (принимающего решение). Его задача: координация действий отдельных подсистем низшего уровня с целью выполнения системой поставленных перед ней задач. В свою очередь решающие элементы подчиняются решающим эл-там более высокого уровня.
Для эфф-ой работы системы в целом необходимо потребовать, чтобы каждый принимающий решение эл-т имел некоторую свободу действий.
По хар-ру иерархического расположения образующих систему эл-тов различают следующие системы принятия решений:
одноуровневые одноцелевые системы;
одноуровневые многоцелевые;
многоуровневые многоцелевые системы.
Рассмотренная иерархия принятия решений отн к 3). Из неё можно как ч/сл получить 1) и 2):
1)
Пример: СУ скоростью электропривода.
2)
Цели м.б. самыми разнообразными. Несколько решающих элементов м.б. объединены в группу. Пример: производство автомобилей.
Св-ва и хар-ки любых иерархических систем:
эл-т верхнего уровня иерархии имеет дело с более крупными подсистемами или более широкими аспектами поведения системы (чем выше поднимаемся, тем больше остаётся под нами пр-ва, с кот имеет дело след уровень иерархии. С этим можно ассоциировать процесс производства).
период принятия решения для подсистем верхнего уровня больше, чем для эл-тов или подсистем нижнего уровня (СУ предприятием: сбыт продукции – достаточный период, процесс управления производством детали – счёт идёт на секунды).
элемент верхнего уровня имеет дело с более медленными аспектами поведения всей системы.
описания и проблемы на верхних уровнях менее структуризованы и содержат большее кол-во неопределённостей (здесь много факторов влияет, т.к. более высокий уровень структуры: это с одной стороны присутствие человека, и с др стороны отрыв от слоёв, кот работают с большим числом переменных и кот посылают меньше И-и, след-но, больше неопределённость, след-но, сложнее принимать решение. Пример: проблема автоматизации производства. Когда стали рассматривать производство как объект управления, оказалось, что даже без внедрения автоматизированных систем только за счёт просмотра всех цепочек управления эфф-ть работы увеличилась в 1,8 раза).
