- •Вариант № 1
- •Вариант №2
- •Вариант №3
- •Вариант №4
- •Вариант №5
- •Вариант №6
- •2. Имеются экономические оценки коэффициентов прямых затрат и объёмов конечной продукции:
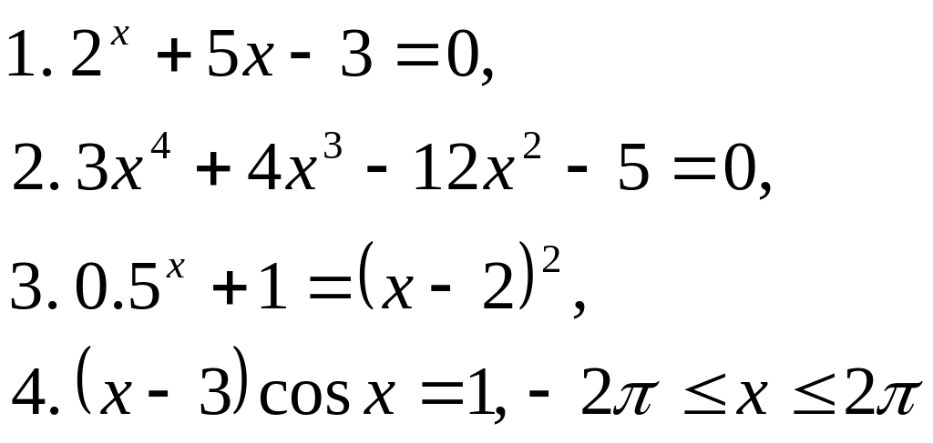
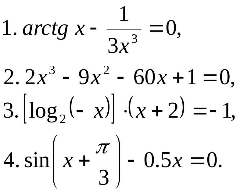
- •4. Отделить корни и найти их с точностью до 10-5.
- •6. Выполнить действия над матрицами и решить матричное уравнение.
- •7. Решить задачи линейного программирования
- •Вариант №7
- •Вариант №8
- •2. Имеются экономические оценки коэффициентов прямых затрат и объёмов конечной продукции:
- •Вариант №9
- •2. Имеются экономические оценки коэффициентов прямых затрат и объёмов конечной продукции:
- •Вариант №10
- •2. Имеются экономические оценки коэффициентов прямых затрат и объёмов конечной продукции:
- •Вариант №11
- •Вариант №12
- •Вариант №13
- •Вариант №14
- •Вариант №15
- •2. Имеются экономические оценки коэффициентов прямых затрат и объёмов конечной продукции:
Вариант № 1
1. Имеются данные о поголовье крупного рогатого скота в районе:
Поголовье скота (тыс. голов) |
Год |
||||||
1996 |
1997 |
1998 |
1999 |
200 |
2001 |
2002 |
|
63,0 |
67,2 |
70,0 |
71,3 |
73,2 |
74,1 |
75,0 |
|
А. По табличным данным построить диаграмму (гистограмму).
Б. Добавить линию тренда с максимальной величиной достоверности аппроксимации R2.
В. Построить прогноз поголовья крупного рогатого скота в районе на 2005 г.
2. Имеются экономические оценки коэффициентов прямых затрат и объёмов конечной продукции:
Требуется установить продуктивность матрицы А, составить баланс производства и распределения продукции предприятия.
3. В банк на депозит на n лет по простой ставке i=20% годовых положены P=10 тыс. руб. Величина процентных денег I, полученная вкладчиком за этот период, составила 6 тыс. руб. Найти величину n.
Расчётная
формула:
.
4. Отделить корни и найти их с точностью до 10-5.
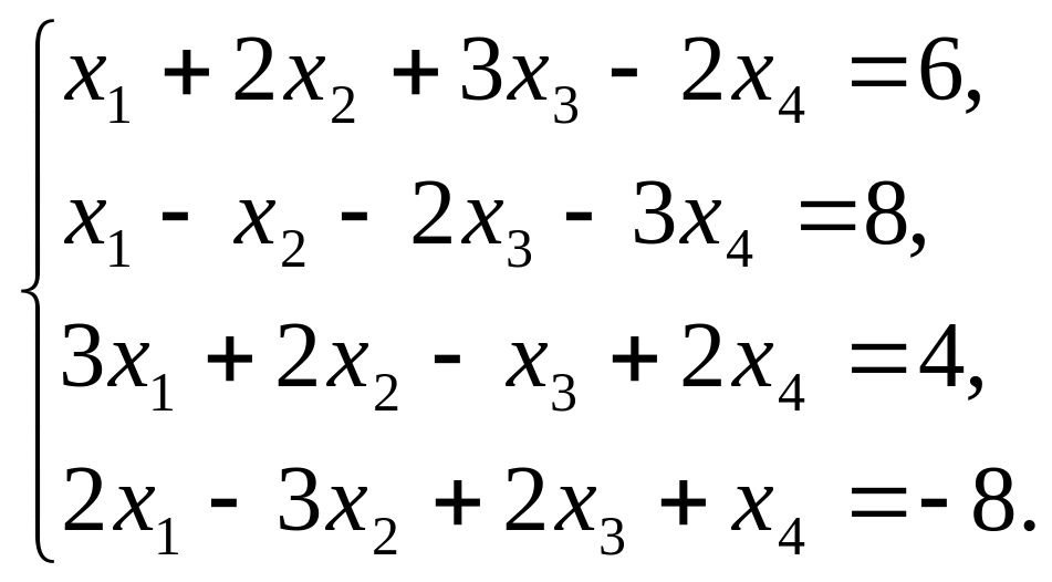
5. Решить системы линейных уравнений методом Крамера и обратной матрицы.
1.
2.
6. Выполнить действия над матрицами и решить матричное уравнение.
1.
где
2.
7. Решить задачи линейного программирования
1. Для изготовления четырёх видов продукции используют три вида сырья. Запасы сырья, нормы его расхода и цены реализации единицы каждого вида продукции приведены в таблице.
Тип Сырья |
Нормы расхода сырья на одно изделие |
Запасы сырья |
|||
А |
Б |
В |
Г |
||
I |
2 |
1 |
0.5 |
4 |
2400 |
II |
1 |
5 |
3 |
0 |
1200 |
III |
3 |
0 |
6 |
1 |
3000 |
Цена изделия |
7.5 |
3 |
6 |
12 |
|
2. Исходные данные транспортной задачи приведены схематически: внутри прямоугольника заданы удельные транспортные затраты на перевозку единицы груза, слева указаны мощности поставщиков, а сверху — мощности потребителей. Сформулировать экономико-математическую модель исходной транспортной задачи, найти оптимальный план закрепления поставщиков за потребителями.
Мощности |
Мощности потребителей |
|||
поставщиков |
150 |
40 |
110 |
50 |
70 |
9 |
5 |
10 |
7 |
80 |
11 |
8 |
9 |
6 |
90 |
7 |
6 |
5 |
4 |
100 |
6 |
4 |
3 |
2 |
Вариант №2
1. Имеются данные о потреблении овощей по области за 1994 — 2002 гг. на одного члена домохозяйства в месяц, кг.
Потребление овощей в месяц (кг.) |
Год |
||||||||
1994 |
1995 |
1996 |
1997 |
1998 |
1999 |
2000 |
2001 |
2002 |
|
10,0 |
10,7 |
12,0 |
10,3 |
12,9 |
16,3 |
15,6 |
17,8 |
18,0 |
|
А. По табличным данным построить диаграмму (гистограмму).
Б. Добавить линию тренда с максимальной величиной достоверности аппроксимации R2.
В. Построить прогноз потребления овощей по области на одного члена домохозяйства в месяц, кг на 2005 г.
2. Имеются экономические оценки коэффициентов прямых затрат и объёмов конечной продукции:
Требуется установить продуктивность матрицы А, составить баланс производства и распределения продукции предприятия.
3.
За какой
период времени n
сумма Р, положенная на депозит по сложной
ставке i=40%
годовых, возрастёт в 6 раз
Расчётная
формула:
.
4. Отделить корни и найти их с точностью до 10-5.
5. Решить системы линейных уравнений методом Крамера и обратной матрицы.
6. Выполнить действия над матрицами и решить матричное уравнение.
1.
где
2.
7. Решить задачи линейного программирования
1. Для изготовления четырёх видов продукции используют три вида сырья. Запасы сырья, нормы его расхода и цены реализации единицы каждого вида продукции приведены в таблице.
Тип сырья |
Нормы расхода сырья на одно изделие |
Запасы сырья |
|||
А |
Б |
В |
Г |
||
I |
1 |
2 |
1 |
0 |
18 |
II |
1 |
1 |
2 |
1 |
30 |
III |
1 |
3 |
3 |
2 |
40 |
Цена изделия |
12 |
7 |
18 |
10 |
|
2. Исходные данные транспортной задачи приведены схематически: внутри прямоугольника заданы удельные транспортные затраты на перевозку единицы груза, слева указаны мощности поставщиков, а сверху — мощности потребителей. Сформулировать экономико-математическую модель исходной транспортной задачи, найти оптимальный план закрепления поставщиков за потребителями.
Мощности |
Мощности потребителей |
|||
поставщиков |
100 |
140 |
100 |
60 |
100 |
5 |
4 |
3 |
2 |
60 |
2 |
3 |
5 |
6 |
80 |
3 |
2 |
4 |
3 |
160 |
4 |
1 |
2 |
4 |
