Лабораторная работа 4 исследование сельсина
Цели работы:
1) ознакомиться с различными режимами работы однофазных сельсинов;
2) приобрести навыки настройки сельсина-датчика углового перемещения.
Содержание работы.
Для исследования предлагаются бесконтактные сельсины БС-405. Помимо сельсинов, лабораторный стенд содержит источник переменного напряжения 110В/50Гц и асинхронный двигатель серии РД. Двигатель является фазочувствительным устройством, предназначенным для организации силовых систем синхронной связи.
Первый опыт лабораторной работы предполагает исследование индикаторного режима работы сельсинной пары. При правильном соединении обмоток синхронизации и подключении обмоток возбуждения ротор сельсина приемника должен повторять угловое перемещение ротора сельсина-датчика. В качестве датчика или приемника может быть выбран любой из сельсинов пары.
Во втором и третьем опытах исследуются трансформаторные режимы работы сельсинов. Отличие режимов заключается в подключении обмотки возбуждения и обмотки синхронизации сельсина-приемника. Подробно о работе и настройке сельсинов в составе системы следящего управления рассказано в разделе "Краткие теоретические сведения".
Краткие теоретические сведения.
Работа однофазного сельсина в режиме датчика
углового перемещения.
Рассмотрим модель сельсина, содержащую однофазную обмотку возбуждения и трехфазную обмотку синхронизации.
Н
азначение
обмотки возбуждения заключается в
создании пульсирующего магнитного
поля. Принцип его образования иллюстрирует
рисунок 1.а. На рисунке изображена катушка
с числом витков w
и током
возбуждения iв,
создающая поток
магнитной
индукции В.
При принятом направлении тока
магнитодвижущая сила и возникающий под
ее действием поток внутри соленоида
направлены вверх. При смене направления
тока намагничивающая сила катушки и
поток также меняют свое направление.
Следовательно, при синусоидальном
законе изменения тока в катушке,
создаваемый ею поток будет иметь
пульсирующий характер:
|
(1) |
На рисунке 1.б. изображена модель контактного сельсина с расположенной на роторе обмоткой синхронизации и расположенной на статоре обмоткой возбуждения. Для компактности обмотка возбуждения, создающая пульсирующее магнитное поле, изображена одним витком с выводами С1 и С2. Электродвижущая сила, наводимая в фазе обмотки синхронизации, равна скорости изменения потокосцепления этой фазы:
|
(2) |
Потокосцепление =wФ есть величина, характеризующая сцепление витков фазы с потоком. Из рисунка 1.б. видно, что при принятом положении ротора лучше всего сцепляются с потоком витки фазы Р1:
|
(3) |
Условимся называть положение фазы, обеспечивающее наилучшее сцепление ее витков с пульсирующим потоком, согласованным положением.
Наихудшим будет сцепление витков фазы, если ее ось расположить под углом 900 к оси пульсирующего потока. При этом витки фазы не охватывают линии магнитной индукции - потокосцепление равно нулю. В общем случае потокосцепление фазы будет зависеть от угла поворота оси этой фазы относительно оси пульсирующего потока:
|
(4) |
|
|
|
|
|
одстановка
(3) в (2) дает выражение мгновенного
значения электродвижущей силы фазы
обмотки синхронизации, отклоненной от
согласованного положения на угол δ:
Таким образом, ЭДС фазы обмотки синхронизации есть гармоническая функция с амплитудой, зависящей от угла отклонения оси фазы от ее согласованного положения. Однако использовать эту ЭДС в качестве выходного напряжения датчика угла поворота невозможно, поскольку общая точка обмотки синхронизации сельсина не выводится. Для того чтобы однофазный сельсин мог работать в режиме датчика углового перемещения необходимо использовать в качестве выходного линейное напряжение обмотки синхронизации. Для определенности будем рассматривать линейное напряжение U12. В общем случае, когда ось фазы Р1 смещена относительно оси В на угол δ, а ось фазы Р2 – на угол δ+2400 или δ-1200 (рисунок 2.), напряжение u12 определяется следующим выражением:
|
(5) |
Анализ выражения 5 показывает, что для получения на выходе сельсина-датчика напряжения, равного нулю, необходимо повернуть его ротор на угол 600 или 2400 относительно согласованного положения фазы Р1 обмотки синхронизации (рисунок 3).
В
о
время работы датчика его ротор
поворачивается относительно своего
нулевого положения, формируя на выходе
напряжение, пропорциональное углу
поворота. Если обозначить угол начального
поворота через δ0,
а рабочий угол через δраб,
формулу (5) можно переписать в виде:
|
(6) |
При начальном повороте ротора сельсина на 600 или 2400 будут получены следующие зависимости выходного напряжения от рабочего угла:
|
(7)
(8) |
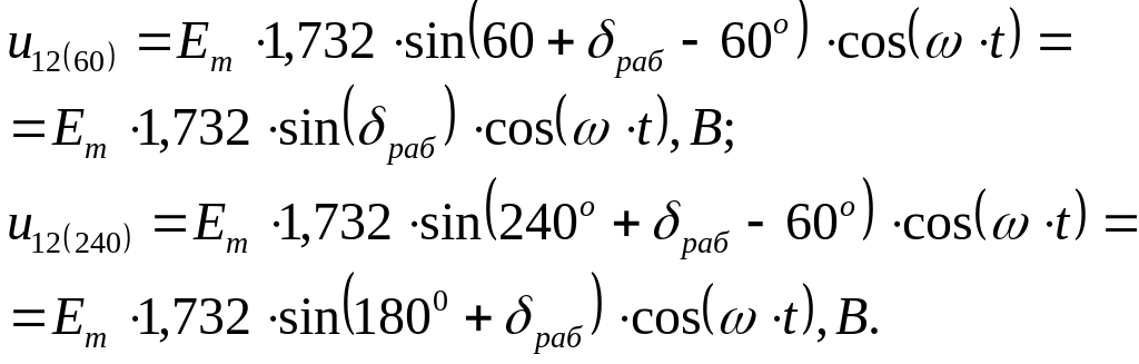
Рассмотрим работу сельсина-датчика, ротор которого изначально установлен в нулевое положение поворотом на 600 (рисунок 3.а). При последующем задании положительного рабочего угла поворота ротора, например π/4, на зажимах Р1 и Р2 появится напряжение, мгновенное значение которого описывается следующим выражением:
|
(9) |
При повороте на отрицательный угол той же величины будет получен несколько иной результат:
|
(10) |
П
олученные
выражения – две гармонические функции,
находящиеся в противофазе друг к другу.
Показания вольтметра, подключенного
на эти напряжения, будут одинаковыми.
Прибор электромагнитной системы, в
обоих случаях покажет значение, равное
.
Это значит, что характеристика "вход
– выход" сельсина-датчика угловых
перемещений, входной величиной которого
является рабочий угол поворота ротора,
а выходной – действующее значение
линейного напряжения обмотки синхронизации,
будет одинаковой (рисунок 3). Следовательно,
действующее (амплитудное, среднее по
модулю) значение выходного напряжения
сельсина-датчика содержит информацию
только о величине угла поворота ротора
и не содержит информации о знаке.
В то же время, анализируя выражения (7) и (8), можно видеть, что знак угла поворота ротора отражается на фазе выходного напряжения: при повороте на положительный угол она положительна, при повороте на отрицательный угол – отрицательна. Следовательно, для извлечения из выходного сигнала информации о знаке рабочего угла, необходимо использовать фазочувствительное устройство. В качестве такого устройства может выступать двухобмоточный асинхронный двигатель, схема которого представлена на рисунке 5.
О
днофазный
асинхронный двигатель имеет две статорные
обмотки – обмотку возбуждения (ОВ) и
обмотку управления (ОУ). Благодаря
наличию конденсатора в цепи обмотки
возбуждения, ее ток оказывается сдвинут
по фазе на некоторый угол относительно
тока обмотки управления. Наличие этого
сдвига приводит к возникновению
вращающегося магнитного поля, под
действием которого приходит в движение
короткозамкнутый ротор двигателя. При
смене фазы питающего напряжения одной
из обмоток опережающий и отстающий токи
меняются местами, в результате чего
магнитное поле и вращающийся в нем ротор
реверсируются.
О
писанный
асинхронный двигатель имеет широкое
распространение в системах автоматического
управления, поскольку является
одновременно и фазочувствительным
устройством, и приводом исполнительного
механизма. На рисунке 6 изображена схема
соединения обмоток сельсина и двигателя,
направление вращения которого будет
изменяться при отклонении ротора
сельсина в противоположные от нулевого
положения стороны.
Таким образом, если использовать однофазный асинхронный двигатель в качестве индикатора знака угла поворота, и поставить в соответствие положительному знаку угла поворота ротора сельсина вращение ротора двигателя по часовой стрелке, а отрицательному знаку – вращение против часовой стрелки, можно дополнить характеристику "вход-выход" информацией о знаке (рисунок 7). Из рисунка 7 следует, что, в зависимости от того каким образом было получено нулевое положение ротора сельсина, соответствие между знаком угла поворота ротора сельсина и направлением вращения ротора двигателя изменяется диаметрально. Если нулевое положение получено в соответствии с рисунком 3.а, положительному углу поворота соответствует вращение по часовой стрелке. Если развернуть ротор сельсина относительно этого нулевого положения на 1800 (рис. 3.б) будет получено второе нулевое положение, и положительному углу будет соответствовать вращение против часовой стрелки (рис. 7). Этот же вывод можно сделать, анализируя выражение (8). Оно показывает, что при повороте ротора датчика из второго нулевого положения фаза выходного сигнала будет противоположна фазе сигнала описываемого формулой (7), а в результате смены фазы изменится направление вращения ротора двигателя.
Настройка нескольких сельсинов на работу в составе системы следящего управления.
Для настройки сельсина-датчика угловых перемещений, в первую очередь, необходимо установить его ротор в нулевое положение. Как следует из предыдущего параграфа, нулевых положений ротора существует два, и они отличаются друг от друга на 1800. Для настройки единственного сельсина выбор одного из двух нулевых положений ротора принципиального значения не имеет: любая фаза выходного напряжения, и любое направление вращения вала двигателя могут быть приняты за положительные.
Для определения нулевого положения ротора сельсина можно воспользоваться одним из двух способов. Первый способ заключается в измерении линейного напряжения обмотки синхронизации. Для этого следует включить обмотки сельсина по схеме, изображенной на рисунке 8.а. Из рисунка видно, что вольтметр включен на разность ЭДС фаз, которая будет равна нулю в том случае, если фазы займут одинаковое пространственное положение относительно пульсирующего потока обмотки возбуждения. Два положения, удовлетворяющих этому условию представлены на рисунке 3.
Второй способ
можно назвать способом самоустановления,
поскольку в этом случае ротор сельсина
под действием синхронизирующего момента
самостоятельно устанавливается в одном
из двух нулевых полож
ений.
При соединении обмоток сельсина по
схеме, изображенной на рисунке 8.б, в
фазах обмотки синхронизации под действием
наводимых ЭДС возникает ток. Этот ток
взаимодействует с пульсирующим потоком,
в результате чего возникает момент,
стремящийся совместить ось фазы с осью
потока обмотки возбуждения. Поскольку
в короткозамкнутую цепь (рис. 8.б) включены
две фазы обмотки синхронизации,
синхронизирующие моменты действуют
как на фазу Р1,
так и на фазу Р2.
Под действием этих моментов ротор
повернется и установится в положении,
обеспечивающем равенство нулю суммы
двух моментов. В зависимости от того,
какое положение занимал ротор до
включения в сеть обмотки возбуждения,
положение самоустановления будет первым
или вторым нулевым положением.
Для организации системы следящей связи необходимо, как минимум, два сельсина – сельсин-задатчик углового перемещения и сельсин-датчик обратной связи (ОС). Сельсин-задатчик механически связан с манипулятором поста управления, а сельсин-датчик ОС – с рабочим органом механизма, который требуется повернуть на заданный угол. На рисунке 9 изображена схема соединения обмоток двух сельсинов, обеспечивающих следящее управление пером руля судна. В исходном состоянии, когда углы поворота роторов сельсинов равны нулю, выходное напряжение Uу также равно нулю и привод руля не работает:
|
|
К
ак
отмечалось ранее, выбор нулевого
положения ротора одного сельсина не
имеет принципиального значения, поэтому
примем, что ротор задатчика находится
в первом нулевом положении и его выходное
напряжение описывается зависимостью
(7). При повороте манипулятора поста
управления ротор сельсина-задатчика
повернется на угол ,
и на его выходе, в соответствии с
(7), появится напряжение
|
|
Это напряжение подается на вход системы управления рулевым приводом, перо руля начинает поворачиваться, и вместе с ним поворачивается ротор сельсина датчика ОС. Чтобы скомпенсировать напряжение задания, появляющийся на выходе датчика сигнал должен иметь фазу, противоположную фазе сигнала задания. Судя по рисунку 7, чтобы получить отрицательную фазу выходного напряжения сельсина-датчика ОС, необходимо, либо поворачивать его ротор в направлении, противоположном направлению поворота ротора сельсина-задатчика, либо поворачивать его в том же направлении, но из второго нулевого положения. Для определенности будем считать, что направление поворота пера руля совпадает с направлением поворота штурвала. В этом случае для компенсации сигнала задания напряжение сельсина-датчика ОС должно описываться выражением (8), то есть поворот ротора этого сельсина должен происходить из второго нулевого положения:
|
|
Напряжение управления при этом будет равно:
|
|
Из последнего выражения следует, что при повороте пера руля на угол , равный углу задания напряжение управления станет равно нулю и перекладка руля прекратится. Таким образом будет реализовано следящее управление положением пера руля судна. Следует иметь в виду, что реверс фазы выходного сигнала может быть получен не только разворотом ротора на 1800, но и сменой подключения выводов питания обмотки возбуждения.
Рассмотренная схема соединения обмоток сельсинов является наиболее предпочтительной в тех случаях, когда напряжение управления необходимо формировать из трех и более сигналов. Контур суммирования современной системы автоматического управления курсом судна содержит выходные напряжения трех сельсинов – сельсина-задатчика, сельсина-датчика положения регулирующего органа насоса гидромашины (датчика местной обратной связи) и сельсина-датчика положения баллера руля (датчика главной обратной связи). Настройка такой системы принципиально не отличается от рассмотренной настройки сельсинной пары: нулевые положения роторов сельсинов-датчиков обратной связи должны отличаться от нулевого положения сельсина-задатчика на 1800. В этом случае, при одинаковом подключении обмоток возбуждения и повороте роторов сельсинов в одинаковых направлениях сигналы датчиков ОС будут вычитаться из сигнала задатчика.
Порядок выполнения работы.
1. Исследование индикаторного режима работы сельсинной пары.
1.1. Соедините накоротко выводы обмотки синхронизации Р1 и Р2 первого сельсина.
1.2. Подключите обмотку возбуждения первого сельсина к клеммам источника питания.
1.3. Подайте питание на обмотку возбуждения. Ротор сельсина при этом зафиксируется в положении, при котором ось фазы Р1 параллельна силовым линиям обмотки возбуждения.
1.4. Напротив стрелки, закрепленной на валу сельсина, сделайте нулевую отметку.
1.5. Снимите питание с установки.
1.6. Уберите перемычку с выводов Р1 и Р2.
1.7. Соедините выводы обмотки синхронизации первого сельсина (задатчика) с одноименными выводами обмотки синхронизации второго сельсина (приемника).
1.8. Подключите обмотку возбуждения второго сельсина к клеммам источника питания. При этом следите за тем, чтобы подключение обмоток возбуждения датчика и приемника совпадало.
1.9. Подайте питание на обмотки возбуждения обоих сельсинов. Вращая вал сельсина-задатчика, убедитесь, что ротор сельсина-приемника вращается синхронно.
1.10. Установите стрелку, соединенную с валом сельсина-задатчика, напротив нулевой отметки и сделайте нулевую отметку на шкале сельсина-приемника.
1.11. Снимите питание с установки.
2. Исследование трансформаторного режима работы сельсинной пары при параллельном соединении обмоток синхронизации.
2.1. Соедините выводы обмоток сельсинов и обмоток асинхронного двигателя в соответствии со схемой, изображенной на рисунке 11 отчета.
2.2. Убедитесь, что стрелки роторов сельсинов находятся в нулевых положениях и подайте питание на обмотки возбуждения сельсина-задатчика и асинхронного двигателя.
2.3. Вращайте ротор сельсина-задатчика по часовой стрелке, удерживая ротор сельсина-приемника в неподвижном состоянии; через каждые 300 снимайте показания вольтметра и заносите их во вторую строку таблицы 1 отчета.
2.4. Установите стрелку ротора сельсина-задатчика в нулевое положение, а стрелку сельсина-приемника поверните относительно нулевого положения на 900.
2.5. Вращайте ротор сельсина-задатчика по часовой стрелке, удерживая ротор сельсина-приемника в неподвижном состоянии; через каждые 300 снимайте показания вольтметра и заносите их в третью строку таблицы 1 отчета. Обратите внимание на направление вращения ротора асинхронного двигателя при повороте ротора сельсина-задатчика в правую и левую стороны от нулевого положения.
2.6. Снимите питание с установки.
3. Исследование трансформаторного режима работы сельсинной пары при последовательном соединении обмоток синхронизации.
3.1. Соедините выводы обмоток сельсинов и обмоток асинхронного двигателя в соответствии со схемой, изображенной на рисунке 12 отчета.
3.2. Используя изложенные в методических указаниях и других источниках теоретические сведения, настройте сельсинную пару так, чтобы обеспечивалась работа следящей системы синхронной связи, а именно:
- в нулевом положении ротора сельсина-задатчика напряжение, подаваемое на обмотку управления асинхронного двигателя, было равно нулю;
- при повороте ротора сельсина-задатчика на одинаковые углы влево и вправо от нулевого положения, напряжение, подаваемое на обмотку управления асинхронного двигателя, имело одинаковое действующее значение;
- при смене знака угла поворота ротора сельсина-задатчика изменялось направление вращения вала асинхронного двигателя;
- при повороте ротора сельсина-приемника на угол поворота ротора сельсина-задатчика напряжение, подаваемое на обмотку управления асинхронного двигателя, становилось равно нулю.
3.3. Снимите питание с установки.
Вопросы для самопроверки.
1. Как устроен контактный сельсин?
2. Какие обмотки сельсина могут быть расположены на его роторе?
3. От чего зависит количество контактных колец однофазного сельсина?
4. Чем отличается трехфазный сельсин от однофазного сельсина?
5. Дайте сравнительную оценку контактному и бесконтактному сельсинам.
6. Что понимают под классом точности сельсина? Каков класс точности исследованных сельсинов?
7. Может ли точность сельсина не соответствовать классу точности?
8. Какова область применения индикаторного режима работы сельсинов?
9. Какова область применения трансформаторного режима работы сельсинов?
10. Какой параметр сигнала, подаваемого на обмотку управления асинхронного двигателя, содержит информацию о величине угла поворота ротора сельсина-задатчика?
11. Какой параметр сигнала, подаваемого на обмотку управления асинхронного двигателя, содержит информацию о знаке угла поворота ротора сельсина-задатчика?
Рекомендуемая литература.
1. Марков, Э. Т. Судовые электрические аппараты : учеб. пособие / Э. Т. Марков. – Л. : Судостроение, 1981. – 344 с.
2. Буткевич, Г. В. Задачник по электрическим аппаратам : учеб. пособие для студ. вузов / Г. В. Буткевич, В. Г. Дегтярь, А. Г. Сливинская. – 2-е изд., перераб. и доп. – М. : Высш. шк., 1987. – 232 с.
3. Новиков, Ю. Н. Теория и расчет электрических аппаратов / Ю. Н. Новиков. – Л. : Энергия, 1970. – 328 с.
4. Таев, И. С. Электрические аппараты автоматики и управления : учеб. пособие для втузов / И. С. Таев. – М. : Высш. шк., 1975. – 224 с.
5. Соболев, С. Н. Расчет и конструирование низковольтной электрической аппаратуры : учебник для техникумов / С. Н. Соболев. - М. : Высш. шк., 1972. – 264 с.
6. Буль, Б.К. Основы теории электрических аппаратов : учеб. пособие для электротехн. спец. вузов / Б. К. Буль, Г. В. Буткевич; под ред. Г. В. Буткевича. – М. : Высш. шк., 1970. – 600 с. : ил.
