ЛАБОРАТОРНАЯ РАБОТА № 6
Измерение цвета с помощью фотоэлектрического колориметра
I. Введение
Координаты цвета излучения в стандартной колориметрической системе МКО связаны с его спектральным составом следующими соотношениями
(6.1)
где () – спектральная плотность потока излучения;
,
,
- функции сложения (кривые сложения)
цветов в колориметрической системе
XYZ.
Если функция спектральной чувствительности приемника излучения S() подобна одной из функций сложения, например,
(6.2)
то реакция этого приемника на любое излучение будет прямопропорциональна соответствующей координате цвета этого излучения
(6.3)
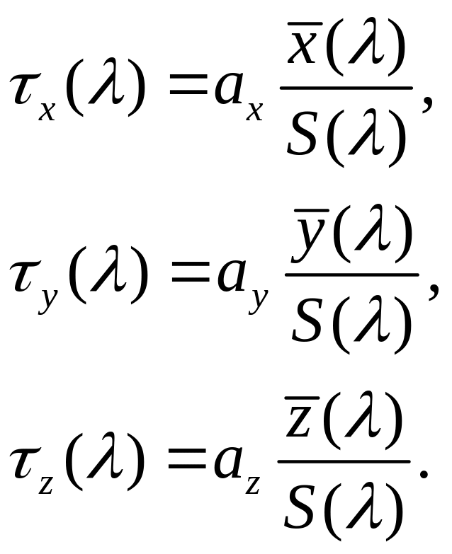
Для воспроизведения приемников с необходимой спектральной чувствительностью в объективном колориметре, как правило, используется один фотоэлемент с тремя исправляющими светофильтрами. Функции спектральных коэффициентов пропускания x(), y(), z() этих светофильтров должны удовлетворять следующим условиям:
(6.4)
где S() – спектральная чувствительность фотоэлемента;
аx, ay, az – коэффициенты пропорциональности.
Отсюда
(6.5)
Спектральная чувствительность приемников излучения, используемых в фотоэлектрических колориметрах, с достаточно высокой точностью исправляется цветными фильтрами под кривые , . Подобрать же цветные стекла, воспроизводящие функцию , достаточно сложно из-за наличия двух максимумов в кривой . Удовлетворительного решения этой задачи можно достичь, использую две комбинации фильтров: одну – исправляющую S() под кривую в области 0,505 и другую - в области 0,505 мкм.
В этом случае координаты измеряемого цвета будут равны
(6.6)
где
,
,
,
- токи фотоэлемента, перекрытого
соответствующими фильтрами;
,
,
,
- градуировочные коэффициенты
четырехфильтрового колориметра.
В других колориметрах
вместо стандартной функции сложения
используют новую функцию
,
имеющую один максимум (рис. 6.1) и связанную
со стандартными функциями сложения
линейным соотношением
. (6.7)
Тогда координаты измеряемого цвета могут быть выражены через фототоки приемника при работе с тремя светофильтрами простыми линейными зависимостями
(6.8)
где Сx, Cy, Cz – градуировочные коэффициенты колориметра.
Трудности точного подбора исправляющих фильтров приводят к снижению точности измерений. При близости спектральных составов излучений при градуировке фотоэлектрического колориметра и измерении точность определения координат цвета заметно возрастает. Этот способ уменьшения погрешности измерений нашел дальнейшее развитие в фотоэлектрических компараторах цвета. В этих приборах измеряются отношения координат цвета исследуемого образца и образца сравнения, достаточно близких по цвету. Если координаты цвета образца сравнения известны, то по измеренным отношениям можно вычислить координаты цвета измеряемого образца. Поэтому при измерении цвета различных образцов обязательным является наличие образцовых атласов цветов.
Для характеристики цветности тепловых излучений часто используют цветовую температуру. Цветовая температура – температура черного тела, при которой цветность его излучения одинакова с цветностью исследуемого излучения при заданной (истинной) температуре. Цветность излучения полностью определяется функцией его спектральной плотности () в видимой области спектра. Для источников света, подчиняющихся законам теплового излучения, о форме спектральной кривой, и, следовательно, о цветовой температуре можно с достаточной точностью судить по отношению спектральной плотности излучения в двух узких зонах, расположенных по краям видимого спектра. Этот способ определения цветовой температуры носит название метода «сине-красного» отношения. Для определения цветовой температуры этим методом измеряют два тока фотоэлемента при работе с синим и красным светофильтрами. Значение цветовой температуры определяется по отношению этих токов с помощью кривой Тц=f(ic/iк), построенной при предварительной градуировке.
Для источников света, не подчиняющихся законам теплового излучения, этот метод определения цветовой температуры может дать значительные погрешности. В этих случаях обычно применяют колориметрический метод определения цветовой температуры. Для этого измеряют координаты цветности излучения и наносят их на равноконтрастный цветовой график, на котором изображена кривая зависимости цветности черного тела от температуры. Опуская перпендикуляр ан эту кривую из точки, характеризующей цветность измеряемого излучения, определяют его цветовую температуру.
Для того, чтобы не пользоваться равноконтрастным цветовым графикам, на увеличенном фрагменте стандартного цветового графика XYZ (рис. 6.3) заранее строят линии, соответствующие указанным выше перпендикулярам. В этом случае цветовая температура излучения с измеренными координатами цветности xи, уи определяется не по перпендикуляру, опущенному на кривую цветности черного тела, а по нанесенным жирным линиям.
