- •Основные понятия и законы динамики
- •Теорема об изменении количества движения материальной точки.
- •Теорема об изменении количества движения механической системы.
- •14 Моменнт кол-ва движ т и гл момент кол-ва движ мех сис-мы (кинетический момент)
- •15 Теорема о моменте колич движ м т. Теорема о кинетич моменте мех системы.
- •18 Кин мом вращающегося тв тела. Диф ур-е вращат движ тв тела вокруг неподвижн оси. Кинетический момент твердого тела, вращающегося вокруг неподвижной оси
- •Работа силы в некоторых случаях
- •Теорема об изменении кинетической энергии механической системы.
- •Потенциальное силовое поле. Потенциальная энергия.
Основные понятия и законы динамики
Динамикой называется раздел теоретической механики в котором изучается движение материальных объектов с учетом причин вызывающих это движение. Первый з-н Ньютона(закон инерции), второй з-н Ньютона(F=ma), Третий з-н Ньютона(з-н равенства действия и противодействия F1=-F2), Четвертый з-н (з-н независимости действия сил)
2 Диф. Ур-я движения своб. Т. В вектор. Форме и проекциях на декарт. И естественные оси коорд.
m(d^2r/dt^2)=F(r,r^.,t)- векторная форма
m(d^2s/dt^2)=F; m(v^2/p)=Fn; Fb=0 естественные оси
3 матем. Подстановка и решение двух основных задач динамики точки
Первая задача динамики.
По заданному движению точки определить силу.
-
уравнения движения точки
Решение второй (основной) задачи динамики
Эта задача
состоит в том, чтобы, зная действующую
силу F, найти
закон движения точки, т. е. кинематические
уравнения (6). Сила F может
вообще
зависеть от времени, от положения точки
в пространстве
и от скорости
ее движения, т. е.
. Поэтому
дифференциальные уравнения (5) будут в
общем случае иметь следующий вид:
(7)
Нахождение закона движения данной точки сводится к интегрированию системы (7), т. е. системы трех совместных дифференциальных уравнений второго порядка, в которых неизвестными функциями являются координаты движущейся точки х, у, z, а аргументом - время t. Проинтегрировав эту систему дифференциальных уравнений, получим х, у, z в функциях времени и шести произвольных постоянных, т. е. найдем общее решение (общие интегралы) системы (7) в виде
(8)
Наличие в правых частях уравнений (8) произвольных постоянных указывает на то, что под действием данной силы точка может совершать не какое-то вполне определенное движение, а целый класс движений, имеющих разные законы при разных значениях постоянных Ci, i=1..6.
Физически этот результат объясняется тем, что точка, на которую начинает действовать некоторая сила, будет двигаться по-разному в зависимости от так называемых начальных условий, т. е. от начального положения и начальной скорости этой точки. Например, движение свободной материальной точки под действием силы тяжести может быть прямолинейным или криволинейным в зависимости от направления ее начальной скорости.
Чтобы сделать соответствующую задачу динамики определенной, надо кроме действующих сил задать начальные условия, т. е. для некоторого момента времени t = t0 (начальный момент) задать:
начальное положение
точки
и начальную скорость точки
4 прямолинейное движение. Диф. Уравнение прям. Движения
Свободная мат. Точка движется по прямолинейной траектории тогда и только тогда, когда сила, приложенная к точке имеет постоянное направление и начальная скорость паралельна этому направлению. (m(d^2x/dt^2)=Fx(t,x,x^.)- диф. Ур. Прямолин. Движ.
7 дв. Несвободной мат. Точки. Динамика относит. Движения т. Инерциальные и неинерцаоьные сис-мы отсчета. Переносная и кариолисова силы инерции. Диф. Ур-я относит. Движ. Т. Примеры частных случаев относит. движ. Точки
Несвободной материальной точкой называется точка, свобода движения которой ограничена.
Тела, ограничивающие свободу движения точки, называются связями.
Пусть связь представляет собой поверхность какого-либо тела, по которой движется точка. Тогда координаты точки должны удовлетворять уравнению этой поверхности, которое называется уравнением связи.
m(d^2/dt^2)=F+N
-диф
ур-е относит. Движ.
8 мех. Сис-ма. Классификация сил действ. На сис-му. Св-ва внутр. Сил. Диф ур-я движ. Мех. Сис-мы
Мех. Сис-ма-это совокупность взаимодействующих между собой м.т.
Все силы можно разделить на заданные силы и реакции связи, с другой стороны силы можно классифицировать по иному признаку внутр. И внешние силы
1 св-во главн вектор всех внутр сил мех сис-мы равен нулю
2 св-во гл момент всех внутр сил относит произвольного центра равен нулю
-
диф. Ур-е
9 центр масс сис-мы. Моменты инерции теорема гюйгенса. Связь между полярным и осевыми моментами инерции. Гл оси инерции тела. Примеры вычисл моментов инерции
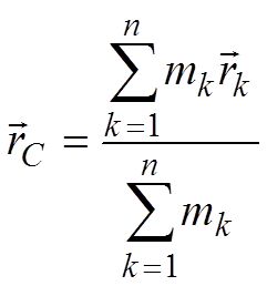
Ц
ентром
масс мех сис-мы наз геометрическая
точка с, положение которой определяется
радиус-вектором r по
формуле: центр масс сис-мы – это такая
т относит которой статистический момент
массы равен 0
Момент инерции — скалярная физическая величина, мера инерции тела во вращательном движении вокруг оси
М
омент
инерции твёрдого
тела относительно какой-либо оси зависит
не только от массы,
формы и размеров тела, но также от
положения тела по отношению к этой оси.
Согласно теореме
Штейнера (теореме
Гюйгенса-Штейнера), момент
инерции тела J относительно
произвольной оси равен сумме момента
инерции этого
тела Jc относительно
оси, проходящей через центр
масс тела
параллельно рассматриваемой оси, и
произведения массы тела m на
квадрат расстояния d между
осями:
Ixz=Iyz=0 z-гл ось инерции тела
10 кол-во движ т и мех сис-мы. Элементарный и полный импульс силы
Кол-вом движения м т q наз векторная величина равная произведению массы на ее скорость
q=mv
Q=MVc (мех сис-мы)
ds=Fdt (элемент. Импульс)
S=(интеграл от 0 до t)Fdt-полный импульс
11 теорема о колич движ точки и мех сис-мы
