- •Системы трёх линейных уравнений с тремя неизвестными имеют вид:
- •5, 6,7,8. Прямая на плоскости
- •9. Расстояние от данной точки до данной прямой
- •Угол между прямыми на плоскости
- •17.Векторное произведение векторов
- •18. Смешанное произведение трех векторов
- •Свойства предела последовательности. Общие свойства.
- •20. Предел функции
- •Свойства пределов функции
- •21. Непрерывность функции в точке.
- •2. Физический и геометрический смысл производной
- •1) Физический смысл производной.
- •2) Геометрический смысл производной.
- •Производные высших порядков
- •25. Действия с комплексными числами, заданных в алгебраической форме
- •26. 1.4.3. Тригонометрическая форма записи комплексных чисел
- •28. Неопределенный интеграл
- •30. Интегрирование путем подведения под знак дифференциала
- •33. Формула Ньютона — Лейбница.
- •38. Функции нескольких переменных
- •39. I числовые ряды
- •40. Функциональные ряды
- •42. Дифференциальные уравнения 1. Основные понятия
- •43. 2. Линейные дифференциальные уравнения первого порядка
- •45. Дифференциальные уравнения, допускающие понижение порядка
25. Действия с комплексными числами, заданных в алгебраической форме
Свойство
сложени: Сумма
двух комплексных чисел z1=a+bi и z2=c+di будет
комплексное число
вида z=z1+z2=
a+bi
+
c+di
=
a+c
+(b+d)i
Пример:
5+3i
+
3−i
=8+2i
Свойство вычитания: Разность двух комплексных чисел z1=a+bi и z2=c+di будет комплексное число вида z=z1−z2= a+bi − c+di = a−c +(b−d)i
Пример: . 5+3i − 3−i =2+4i
Свойство
умножения: Произведение
двух комплексных чисел z1=a+bi и z2=c+di будет
комплексное число
вида z=z1
z2=
a+bi
c+di
=
ac−bd
+(ad+bc)i
26. 1.4.3. Тригонометрическая форма записи комплексных чисел
Та запись комплексного
числа, которую мы использовали до сих
пор, называется алгебраической
формой записи комплексного числа.
Часто бывает удобна немного другая
форма записи комплексного числа.
Пусть
и
φ = arg z.
Тогда по определению аргумента имеем:
|
Отсюда получается
z = a + bi = r(cos φ + i sin φ). |
Такая форма называется тригонометрической формой записи комплексного числа. Как видно, для того, чтобы перейти от алгебраической формы записи комплексного числа к тригонометрической форме, нужно найти его модуль и один из аргументов.
27. Геометрическая интерпретация комплексного числа
Всякое комплексное число z = (x, y) можно изобразить как точку на плоскости с координатами x и y. Плоскость, на которой изображаются комплексные числа, называется комплексной плоскостью, при этом ось Ox называется действительной, а Oy - мнимой.
Расстояние r точки z от нулевой точки, т. е. число
называется модулем комплексного числа z и обозначается символом |z|.
Число
называем аргументом комплексного
числа z и
обозначаем символом θ =
arg z.
При заданном r углы,
отличающиеся на
,
соответствуют одному и тому же числу.
В этом случае записываем
называем главным
значением аргумента.
Числа r и θ называют полярными координатами комплексного числа z. В этом случае
z = (x, y) = (r cos θ, r sin θ) = r(cos θ + i sin θ)
называется тригонометрической формой комплексного числа.
Если z1 = (r1 cos θ1, r1 sin θ1), z2 = (r2 cos θ2, r2 sin θ2), то
z1z2 = (r1r2 cos(θ1 + θ2), r1r2 sin(θ1 + θ2)),
Для n-й степени числа z = (r cos θ, r sin θ) формула приобретает вид zn = (rn cos nθ, rn sin nθ).
При r = 1 соотношение приобретает вид zn = (cos nθ, sin nθ) и называется формулой Муавра.
Корень n-й степени из комплексного числа z имеет n различных значений, которые находятся по формуле
(1)
28. Неопределенный интеграл
Первообразная
Первообразной
функции f на
промежутке I называется
функция F,
такая, что
Неопределенный интеграл
где F - первообразная функции f (на промежутке); C - произвольная постоянная.
Основные свойства
1.
2.
3.
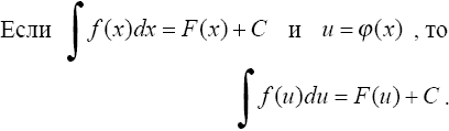
Если
то
4.
29. Таблица интегралов
В формулах ниже предполагается, что a, p (p ≠ 1), C - действительные постоянные, b - основание показательной функции (b ≠ 1, b > 0)
основные правила интегрирования функций.
I.
II.
III.
IV.
V.
VI.
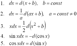
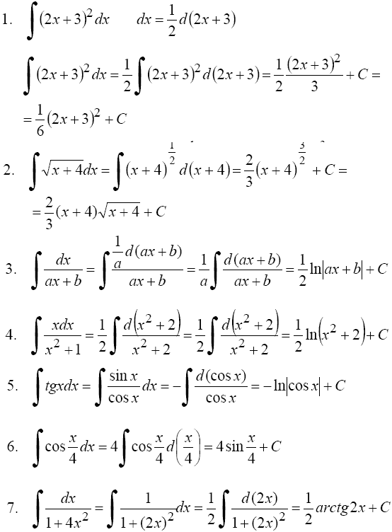
30. Интегрирование путем подведения под знак дифференциала
Необходимо иметь в виду простейшие преобразования дифференциала
В общем случае:
'(x)dx=d(x)
Пример
Найти
неопределенный интеграл
.
В
данном примере множитель
,
стоящий под знаком интеграла, есть
производная от выражения
,
стоящего в числителе, следовательно,
для нахождения интеграла воспользуемся
заменой:
,
.
Тогда:
.
Ответ:
.
31.
Интегрирование по частям |
|
Пусть u(x) и v(x) являются дифференцируемыми функциями. Дифференциал произведения функций u и vопределяется формулой
Проинтегрировав обе части этого выражения, получим
или, переставляя члены,
Это и есть формула интегрирования по частям. |
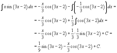
Пример 1 |
|
Вычислить
интеграл Решение. Используем
формулу интегрирования по частям Следовательно, |
32.
