- •Самбуров н.В.
- •Результаты измерения температуры воздуха
- •Вопросы для обсуждения
- •Лабораторная работа № 2
- •Результаты измерения влажности воздуха
- •Правила работы с прибором
- •Вопросы для обсуждения
- •Лабораторная работа № 3 тема: «фотометрия. Определение освещенности»
- •Глоссарий
- •Вопросы для обсуждения
- •Лабораторная работа № 4 тема: «определение содержания вреднодействующих газов в воздухе животноводческих помещениий»
- •Глоссарий
- •Вопросы для обсуждения
- •Результаты исследований
- •Пример для расчета
- •Расчет площади сечения вытяжных труб, приточных каналов и их количество
- •Расчет вытяжных труб для часового объема вентиляции
- •Вопросы для обсуждения
- •Лабораторная работа № 6
- •Вопросы для обсуждения
- •Лабораторная работа № 7
- •Результаты исследований
- •Вопросы для обсуждения
- •Лабораторная работа № 8
- •Результаты исследований
- •Вопросы для обсуждения
- •Рубежный контроль (1 модуль).
- •Запись результатов исследования
- •Вопросы для обсуждения
- •Вопросы для обсуждения
- •Лабораторная работа № 12 тема: «гигиеническая оценка грубых кормов»
- •Глоссарий
- •Запись результатов исследования
- •Вопросы для обсуждения
- •Лабораторная работа № 13
- •Глоссарий
- •Результаты исследования
- •Вопросы для обсуждения
- •Лабораторная работа № 14 тема: «гигиеническая оценка мучнистых и комбинированных кормов»
- •Глоссарий
- •Запись результатов исследования
- •Вопросы для обсуждения
- •Лабораторная работа № 15 тема: «нормативная база для
- •Глоссарий
- •Вопросы для обсуждения
- •Лабораторная работа № 16
- •Вопросы для обсуждения
Вопросы для обсуждения
1. Источники накопления углекислого газа в животноводческих помещениях.
2. Пути снижения уровня углекислого газа в воздухе животноводческих помещениях.
3. Как изменяется выделение углекислого газа животными и птицами при различных физиологических состояниях, физической нагрузке и ряде других факторов?
4. Какое влияние на организм оказывает повышение концентрации углекислого газа в воздухе?
5. Предельно допустимые концентрации углекислого газа в помещениях для животных и птиц.
6. Источники накопления аммиака в воздухе животноводческих помещений.
7. При каких условиях аммиак накапливается на ограждениях животноводческих помещений?
8. Почему аммиак хорошо растворим в воде?
9. Почему наибольшая концентрация аммиака наблюдается на высоте 0,8-1,0 м от пола?
10. Предельно допустимые концентрации (ПДК) аммиака в воздухе животноводческих помещений.
11. Как влияет аммиак на организм животных?
12. Почему аммиак называют мерилом санитарного состояния животноводческих помещений?
13. Источники накопления сероводорода в воздухе животноводческих помещений.
14. Действие сероводорода на организм животных.
15. Пути и методы снижения концентрации аммиака и сероводорода в воздухе помещений для животных и птицы
16. Предельно-допустимые концентрации (ПДК) сероводорода в воздухе животноводческих помещений.
17. Какие существуют методы определения содержания сероводорода в воздухе помещений?
18. Как предупредить накопление сероводорода в воздухе животноводческих помещений?
19. Как распределяется сероводород в животноводческих помещениях в зависимости от устройства канализации и вентиляции?
20. На каком принципе основано определение концентрации сероводорода газоанализатором УГ-2?
Результаты исследований
|
Зона исследования |
Помещение | ||
|
Концентрация СО2, % |
Концентрация NH3,
мг/м |
Концентрация H2Sмг/м | |
|
На высоте 0,5 м от пола 1,2 м 1,6 м |
|
|
|
Лабораторная работа № 5
ТЕМА: «РАСЧЕТ ВОЗДУХОБМЕНА ЖИВОТНОВОДЧЕСКИХ
ПОМЕЩЕНИЙ
Цель: освоение методов расчета воздухообмена.
План
1. Определение поступления в воздух помещения в течение 1 часа водяных паров и диоксида углерода.
2. Расчет часового объема вентиляции и кратности воздухообмена.
3. Расчет воздухообмена на 1 ц массы животных (м3/ч).
4. Расчет площади сечения и количества вытяжных каналов (труб).
5. Расчет площади сечения и количества приточных каналов.
Глоссарий
Выучите определение следующих понятий и назначение устройств: воздухообмен, часовой объем вентиляции, норма воздухообмена, кратность воздухообмена, вытяжные (каналы) трубы, приточные каналы, побудительная (механическая) вентиляция.
Для поддержания оптимальных условий микроклимата в животноводческих помещениях естественного обмена воздуха недостаточно. Поэтому для определения количества воздуха, которое необходимо ввести в помещение, производят расчёт объёма искусственной вентиляции.
Уровень воздухообмена характеризуется часовым объемом вентиляции, нормой воздухообмена и кратностью воздухообмена.
Часовой объем вентиляции- количество воздуха, которое необходимо подать в помещение в течение 1 часа, м3/ч;
Норма воздухообмена - количество воздуха, которое необходимо подать в помещение в течение 1 часа на 1 ц (кг) живой массы животного или на 1 голову, м3/ч;
Кратность воздухообмена- отношение часового объема вентиляции к внутреннему объему помещения.
В животноводческих помещениях в каждый сезон года превалируют (теплота, водяные пары, газы), величина которых влияет на расчетный объем приточного воздуха. Расчет вентиляции проводится по тем продуктам, которые выделяют размещенные в помещении животные: по водяным парам, диоксиду углерода, свободному теплу. Проводят расчет по ноябрю или марту – самым неблагоприятным месяцам года, когда влажность наружного воздуха высокая и температура близка к нулю и нельзя проветривать помещения. В такие периоды необходим наибольший обмен воздуха.
Количество воздуха, подаваемого в животноводческие помещения, в холодный период года рассчитывают на удаление влаги с проверкой на углекислый газ, в теплый - на удаление теплоизбытков с проверкой на влажность.
Расчетное значение относительной влажности и концентрации вредных газов в воздухе помещений принимают по действующим зоогигиеническим нормативам, приведенным в соответствующих нормах технологического проектирования. Расчетную относительную влажность наружного воздуха определяют по справочным климатическим данным в расчетный сезон года для заданной зоны.
За основу расчётов объёма воздухообмена животноводческих помещений принимают:
1) количество углекислого газа в литрах, выделяемое всеми животными, находящимися в помещении, в течение 1 часа;
2) поступление в воздух помещения водяных паров в течение 1 часа;
3) поступление тепловыделений за 1 час;
4) потребность свежего воздуха на 1 ц массы животных (на 1 кг птицы) в 1 час;
5) потребность площади сечения вытяжных труб на каждое животное.
Объём вентиляции, рассчитанный по содержанию углекислоты, в большинстве случаев оказывается недостаточным для удаления образующихся в помещении паров воды. Поэтому такие расчёты лучше всего вести по влажности воздуха, так как в этом случае обмен воздуха почти всегда обеспечивает и нормальное содержание углекислого газа.
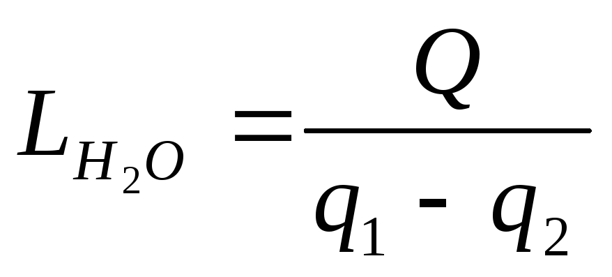
Определение объёма вентиляции по влажности. При этом исходят из нормативов температуры и влажности воздуха в помещениях для животных и учёта количества влаги, выделяемой животными в парообразном виде, а также испаряющийся с пола и других ограждений и поступающей в помещение вместе с наружным воздухом по формуле:
(1)
где L– количество воздуха
(м
),
которое необходимо удалять из помещения
за 1 час;Q– количество
влаги, выделяемой животными в парообразном
виде и испаряющейся с поверхности пола
(г/час);q1– абсолютная
влажность воздуха помещения (г/м
.),
при которой относительная влажность
остаётся в пределах норматива;q2– абсолютная влажность вводимого в
помещение атмосферного воздуха (г/м
).
