- •Самбуров н.В.
- •Результаты измерения температуры воздуха
- •Вопросы для обсуждения
- •Лабораторная работа № 2
- •Результаты измерения влажности воздуха
- •Правила работы с прибором
- •Вопросы для обсуждения
- •Лабораторная работа № 3 тема: «фотометрия. Определение освещенности»
- •Глоссарий
- •Вопросы для обсуждения
- •Лабораторная работа № 4 тема: «определение содержания вреднодействующих газов в воздухе животноводческих помещениий»
- •Глоссарий
- •Вопросы для обсуждения
- •Результаты исследований
- •Пример для расчета
- •Расчет площади сечения вытяжных труб, приточных каналов и их количество
- •Расчет вытяжных труб для часового объема вентиляции
- •Вопросы для обсуждения
- •Лабораторная работа № 6
- •Вопросы для обсуждения
- •Лабораторная работа № 7
- •Результаты исследований
- •Вопросы для обсуждения
- •Лабораторная работа № 8
- •Результаты исследований
- •Вопросы для обсуждения
- •Рубежный контроль (1 модуль).
- •Запись результатов исследования
- •Вопросы для обсуждения
- •Вопросы для обсуждения
- •Лабораторная работа № 12 тема: «гигиеническая оценка грубых кормов»
- •Глоссарий
- •Запись результатов исследования
- •Вопросы для обсуждения
- •Лабораторная работа № 13
- •Глоссарий
- •Результаты исследования
- •Вопросы для обсуждения
- •Лабораторная работа № 14 тема: «гигиеническая оценка мучнистых и комбинированных кормов»
- •Глоссарий
- •Запись результатов исследования
- •Вопросы для обсуждения
- •Лабораторная работа № 15 тема: «нормативная база для
- •Глоссарий
- •Вопросы для обсуждения
- •Лабораторная работа № 16
- •Вопросы для обсуждения
Вопросы для обсуждения
1. Назовите источники накопления влаги в воздухе помещений для животных, меры предупреждения и регулирования ее.
2. Как влияет влажность на физиологическое состояние животных?
3. Предельно допустимая влажность внутреннего воздуха в помещениях для содержания молодняка сельскохозяйственных животных, взрослых особей, птицы.
4. Какие приборы применяют для определения относительной влажности воздуха и на чем основан принцип работы этих приборов?
5. Что такое абсолютная влажность и как ее можно рассчитать при помощи психрометров Августа и Ассмана?
6. Что такое максимальная влажность воздуха и как ее можно определить?
7. Что такое точка росы?
8. Что такое дефицит насыщения?
9. Как влияет влажность на терморегуляцию у животных, загазованность помещений?
10. Гигиеническое значение для животных подвижности воздуха.
11. Как влияет подвижность воздуха на терморегуляцию у животных?
12. Для какой цели определяют скорость движения воздуха в животноводческих помещениях?
13. Какие меры применяют в целях предупреждения сквозняков в помещениях для сельскохозяйственных животных?
14. Как влияет подвижность воздуха на систему работы вентиляции?
15. Предельно допустимые скорости движения внутреннего воздуха для различных видов сельскохозяйственных животных и птицы.
16. Основной господствующий ветер в зимне-стойловый период в нашей зоне, меры предупреждения его воздействия на животноводческие здания.
17. Как с помощью кататермометра определить подвижность воздуха?
18. Как с помощью крыльчатого и чашечного анемометров определить скорость движения внутреннего и наружного воздуха?
19. Как по подвижности внутреннего воздуха можно определить качество работы естественной вентиляции?
20. Факторы, влияющие на охлаждающую способность воздуха.
Результаты измерений
|
Зона исследования |
Показатель |
Скорость движения воздуха, м/с | |||
|
T |
F |
H |
Q | ||
|
На высоте от пола: |
|
|
|
|
|
|
0,5 м |
|
|
|
|
|
|
1,2 м |
|
|
|
|
|
|
В среднем: |
|
|
|
|
|
Лабораторная работа № 3 тема: «фотометрия. Определение освещенности»
Цель: освоение методов определения естественной и искусственной освещенности животноводческих помещений, приобретение навыков в работе с люксметрами.
План
1. Световые величины и единицы освещенности.
2. Фотометрия. Приборы для оценки освещенности: объективный люксметр.
3. Методика измерения освещенности люксметром.
4. Геометрическое нормирование естественной освещенности. Световой коэффициент (СК).
5. Светотехнический метод. Коэффициент естественной освещенности (КЕО).
6. Определение искусственной освещенности.
Глоссарий
Выучите определения следующих терминов и назначение приборов:
световой поток, сила света, освещенность, яркость освещения, коэффициент отражения, коэффициент пропускания, коэффициент поглощения, люксметр, световой коэффициент, коэффициент естественной освещенности.
Фотометрия. Это раздел оптики, который позволяет измерить силу света, естественную и искусственную освещенность и яркость. Единица измерения освещенности – люкс (лк).
Для фотометрии используют люксметры (фотометры) Ю-16, Ю-116. Объективный люксметр Ю-16 состоит из:
1. Светоприемника. Фотоэлемент, представляет собой очищенную от окислов железную пластинку, на которой нанесен слой селена, а сверх него тонкий полупрозрачный слой золота. Для защиты от воздействия внешних факторов сверху нанесен слой прозрачного лака. Фотоэлемент вмонтирован в прямоугольную оправу с ручкой.
2. Стрелочного гальванометра с градуированной шкалой. Отсчет производится в трех диапазонах: от 0 до 25 люксов; от 0 до 100 люксов и от 0 до 500 люксов. Гальванометр присоединяется к фотоэлементу гибким проводом.
Принцип действия люксметра основан на явлении фотоэлектрического эффекта. При воздействии света в селеновом слое фотоэлемента возникает поток электронов, создающий фототок в замкнутой цепи, который отклоняет стрелку гальванометра. Величина отклонения стрелки пропорциональна интенсивности освещения фотоэлемента.

Рисунок 13. Люксметр типа Ю-116
Методика определения. Люксметр устанавливают горизонтально на исследуемой освещенной поверхности. Приводят стрелку гальванометра в положение 0 с помощью корректора. Затем включают фотоэлемент в цепь и отмечают показания стрелки гальванометра. Если стрелка гальванометра выходит за пределы шкалы, то применяют светопоглощающую насадку, учитывая это при последующих расчетах освещенности.
Показания с прибора снимаются с учетом того, на какой из шкал находится переключатель. Окончив измерения, фотоэлемент отключают от гальванометра.
Естественную освещенность в помещениях измеряют в течение всего светового дня через каждые два часа 1-2 раза в неделю во все периоды года в зонах наибольшей, средней и минимальной освещенности у пола (на уровне нахождения животных, в каждом ряду стойл или станков и в центре здания): в коровниках замеры делают на полу и на высотах 1 и 1,6 м от пола. Уровень освещенности измеряют на расстоянии не ближе 1,2 м от окон, на уровне простенка; в свинарниках – на полу и на высоте 0,5 и 1,6 м от пола; в птичниках при напольном содержании – в торцах и в середине помещения на полу и на высоте 1,6 м от подстилки, а при клеточном содержании –в кормушках и на уровне наружного, среднего и верхнего ярусов батареи. Освещенность вне помещения измеряют при рассеянном свете не ближе 10 м от помещения.
Степень освещенности определяют 3 раза в сутки (10, 13 и 16 ч) на улице и в помещении одновременно.
Определение естественной освещенности. Естественная освещенность внутри помещений для животных и птицы нормируется двумя способами: геометрическим и светотехническим.
Геометрический способ основан на вычислении светового коэффициента (СК),т.е. отношения остекленной площади окон к площади пола, принимая первую величину за единицу. Способ прост, но не недостаточно точен, так как при одном и том, же СК не обеспечивается равномерная освещенность площади здания. СК имеет значение в строительном проектировании, но не может в достаточной степени характеризовать освещенность помещений естественным светом, поскольку она зависит не только от соотношения между световой поверхностью окон и пола, но также от состояния погоды, соотношения между размерами помещения, формы и конструкции световых проемов, их расположения над полом.
Для вычисления СК площадь пола помещения делят на общую площадь остекленной поверхности окон.
Пример: Коровник на 200 коров. Размер помещения 69×18 м, количество окон -60, остекленная поверхность одного окна 0,8х1,0 м. Находим площадь коровника 69×18=1242 м2, суммарная остекленная поверхность окон (0,8×1,0)60=48 м2. СК будет равен:
![]()
Световой коэффициент -1:26.
Светотехнический способ нормирования естественной освещенности выражается коэффициентом естественной освещенности (КЕО). КЕО – это отношение горизонтальной освещенности в лк в данной точке внутри помещения к одновременной горизонтальной освещенности вне помещения, освещенной рассеянным светом небосвода. КЕО определяют по формуле:
![]()
где: Овн –освещенность внутри помещения, лк;
Онар –освещенность под открытым небом, лк.
Пример:
наружная освещенность (Онар)
в полдень равна 6000 лк, а освещенность
внутри помещения (Овн)-60
лк. Тогда
![]()
Расчет освещенности помещения производят путем умножения наружной освещенности на КЕО.
Пример: наружная освещенность (Онар) равна 5000 лк, КЕО равен 0,8 %, что составляет 0,008 наружной освещенности. Искомая освещенность равна 5000х0,008=40 лк.
Рассчитав освещенность для различных часов дня, и принимая во внимание назначение помещения, устанавливают, нужно ли и с какого времени дня дополнительно включать искусственное освещение для обеспечения требуемой освещенности.
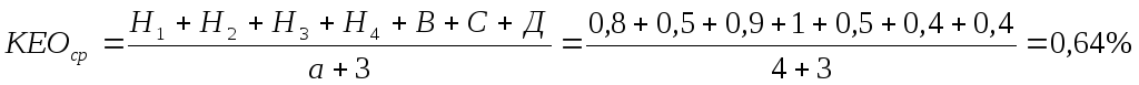
При определении фактической естественной освещенности в местах размещения животных установлено, что внутреннее оборудование помещения создает затемнение и значительно снижает освещенность внутри здания. Поэтому определяют среднее значение КЕО по формуле:
![]()
где: Н1, Н2, Н3, Н4 –среднее арифметическое зоны размещения животных в рядах, %; В –КЕО на полу в центре помещения, %; С- КЕО на высоте 1 м от пола в центре помещения, %; Д –КЕО на высоте 1,6 м от пола в центре помещения, %; а – количество рядов размещения животных в помещении; 3 –количество замеров КЕО в центре помещения.
Пример: допустим, что величина Н первого ряда стойл коровника равна 0,8, второго -0,5 %, третьего -0,9 %, четвертого -1,0 %, В -0,5 %,С -0,4 %, Д- 0,4 %, а -4, число замеров в центре помещения равно 3.
Подставляя цифровые значения в формулу, получаем:
![]()
Определение искусственной освещенности.
1. Подсчитывают число ламп в помещении и суммируют в ваттах их мощность.
2. Определяют площадь помещения, выраженную в квадратных метрах.
3. Разделив полученную величину на площадь помещения, получают удельную мощность ламп в ваттах на 1 м2.
4. Для определения освещенности в люксах умножают удельную мощность ламп на коэффициент (е), означающий количество люксов, которое дает удельная мощность, равная 1 ватту на 1 м2.
Мощность ламп Лампы накаливания Люминисцентные лампы
До 100 вт 2,0 6,5
100 вт и выше 2,5 8,0
Пример: площадь свинарника- маточника 720 м2, освещение осуществляется 25 лампами накаливания по 60 ватт, напряжение в сети 220 в.
Удельная мощность (25×60):720=2,1 Вт/м2.
Для перевода ватт в люксы удельную мощность умножаем на коэффициент 2,0. Следовательно освещенность в люксах будет равна: 2,1 Вт/м2×2,0=4,2 лк.
