- •Квадрат
- •Трапеция
- •Справочный материал
- •Действительные числа
- •Теорема синусов
- •Теорема косинусов
- •Квадраты и кубы натуральных чисел
- •Степени чисел 2 и 3
- •Свойства степеней
- •Свойства арифметических корней
- •Формулы сокращённого умножения
- •Площадь треугольника
- •Арифметическая прогрессия
- •Геометрическая прогрессия
- •Параллелограмм
l
O –
угол между диагоналями
l –
средняя линия трапеции
12
Квадрат
Трапеция
S
= lh =
.
МАТЕМАТИКА
Для учащихся 7 – 9 клСправочный материал
Натуральные числа
1,2,3,4,5,6,7,8,9,10,11,12,13,14,15,16,17,…
Целые числа
…-6,-5,-4,-3,-2,-1,0,1,2,3,4,5,6,….
Рациональные числа
Числа, которые можно представить в
виде дроби
Иррациональные числа
Числа, которые нельзя представить в
виде дроби
, m-целое, n-натуральное
Простые числа
Натуральные числа, которые имеют
только два делителя
2,3,5,7,11,13,17,19,23,29,31,37,…
5
, m-целое, n-натуральное
Действительные числа
Метод координат
1) Пусть А(х1;у1), В(х2;у2),
тогда координаты вектора
2) Пусть А(х1;у1), В(х2;у2),
тогда длина вектора
3) Пусть О(m;n)
– середина отрезка АВ
А(х1;у1), В(х2;у2),
тогда
m =
4) Пусть
5) х2 + у2 = R2
- уравнение окружности с центром в
точке (0;0) радиуса R.
6) (х – а)2 + (у-в)2 = R2
- уравнение окружности с центром в
точке (a;в) радиуса R.
7) ах +ву +с = 0 – уравнение прямой.
14
.
; n =
.
тогда
длина вектора
Площадь круга
Длина окружности
Соотношения между
сторонами и углами в прямоугольном
треугольнике
10
Теорема синусов
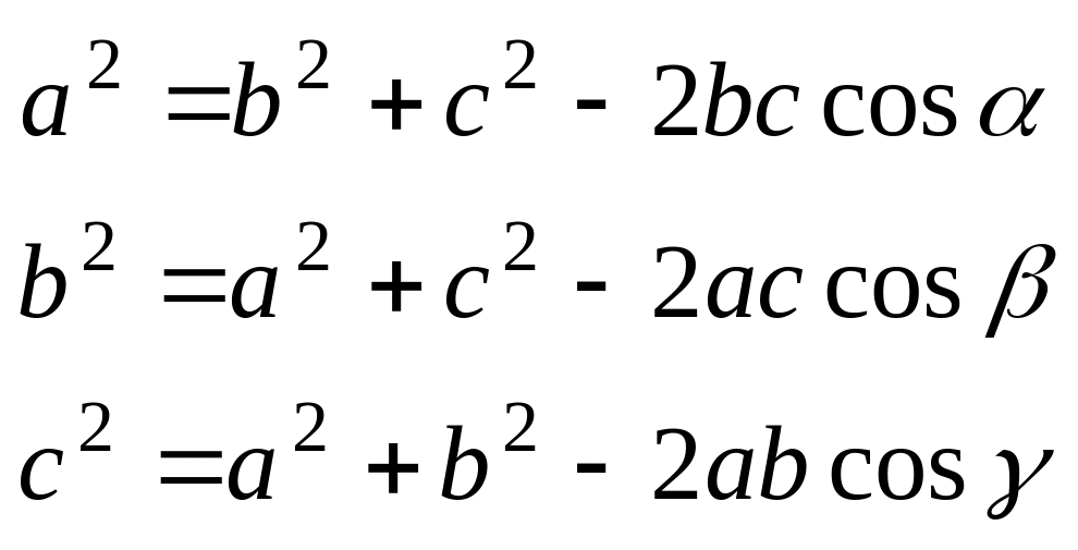
Теорема косинусов
