- •Написать программу, в которой:
- •Написать программу, в которой:
- •Написать программу, в которой:
- •Написать программу, в которой:
- •Написать программу, в которой:
- •Написать программу, в которой:
- •Написать программу, в которой:
- •Написать программу, в которой:
- •Запрашивается отчество студента,
- •Написать программу, в которой:
- •Написать программу, в которой:
- •Требования к оформлению контрольных работ, курсовых работ и ргр
Задания по информатике для студентов заочников направления ЭЛЭТ
Номер варианта равен сумму трех последних цифр зачетной книжки.
Задания выполнить в виде блок-схем (MS WORD) и программ, написанных на языке ПАСКАЛЬ (АВС).
Распечатайте на бумажный носитель (по желанию) и продублируйте в электронном виде в один файл (MS WORD).
В конце документа, который Вы в данный момент читаете, Вы найдете титультный лист. С него начнете оформлять работу.
ВАРИАНТ №0
Задан двумерный массив А, состоящий из N строк и М столбцов, где N – число студентов, а М – число дисциплин. Вычислить, сколько студентов имеют оценку 4 по всем предметам, кроме одного. Примечание: массив А заполнен оценками студентов.
р(x) =
, для z[0;95],
hz = 1,5Написать программу, в которой:
запрашивается профессия студента-заочника,
сравнивается введенная информация со значением строковой переменной (заданным в программе),
выводится на экран сообщение (совпала или не совпала профессия).
Написать программу для нахождения площади параллелограмма по стороне и высоте.
Написать программу для нахождения значения переменной S по формуле:
________________________________________________________________________________
ВАРИАНТ №1
Дан массив А, состоящий из N элементов. Найти минимальный из элементов этого массива с нечетными индексами и максимальный из элементов с четными индексами.
f(x) =
, для x[-1;10],
hx
= 1Написать программу, в которой:
запрашивается фамилия студента,
сравнивается введенная информация со значением строковой переменной (заданным в программе),
выводится на экран сообщение (совпала или не совпала фамилия)
Написать программу для нахождения площади треугольника по формуле Герона.
Написать программу для нахождения значения переменной S по формуле:
________________________________________________________________________________
ВАРИАНТ №2
Дана матрица размерности M×N. Получить количество положительных, отрицательных и нулевых элементов матрицы. Заменить все большие 15 элементы матрицы числом 15.
f(t) =
, для t[-10;12],
ht
= 1Написать программу, в которой:
запрашивается номер варианта студента,
сравнивается введенная информация со значением строковой переменной (заданным в программе),
выводится на экран сообщение (совпал или не совпал номер).
Написать программу для нахождения площади равностороннего треугольника по известной стороне.
Написать программу для нахождения значения переменной S по формуле:
____________________________________________________________________________________
ВАРИАНТ №3
Задана матрица размерности M×N. Среди элементов каждой строки, отличных от заданного В, найти наибольший элемент и его номер. Число В вводится с клавиатуры.
F(z) =
, для z[-10;10],
hz
= 0,4Написать программу, в которой:
запрашивается год рождения студента,
сравнивается введенная информация со значением строковой переменной (заданным в программе),
выводится на экран сообщение (совпал или не совпал год).
Написать программу для нахождения площади равнобедренного треугольника по основанию и высоте.
Написать программу для нахождения значения переменной S по формуле:
________________________________________________________________________________
ВАРИАНТ №4
Следом квадратной матрицы порядка N называется сумма элементов, расположенных на главной диагонали. Дана квадратная матрица порядка N. Вычислить ее след.
f(x) =
, для x[0;20],
hx
= 0,4Написать программу, в которой:
запрашивается имя студента,
сравнивается введенная информация со значением строковой переменной (заданным в программе),
выводится на экран сообщение (совпало или не совпало имя).
Написать программу для нахождения объёма шара известного радиуса.
Написать программу для нахождения значения переменной S по формуле:
________________________________________________________________________________
ВАРИАНТ №5
Ввести с клавиатуры натуральное N, а также N вещественных чисел. Вычислить сумму только тех из них, которые находятся на отрезке [1,18] и не равны 15. Если таких чисел нет, выдать сообщение. Кроме того, каждое число, стоящее на нечетном месте в последовательности, утроить.
F(z) =
, для z[-10;10],
hz
= 0,5Написать программу, в которой:
запрашивается отчество студента,
сравнивается введенная информация со значением строковой переменной (заданным в программе),
выводится на экран сообщение (совпал или не совпало отчество)
Написать программу для нахождения площади круга известного радиуса.
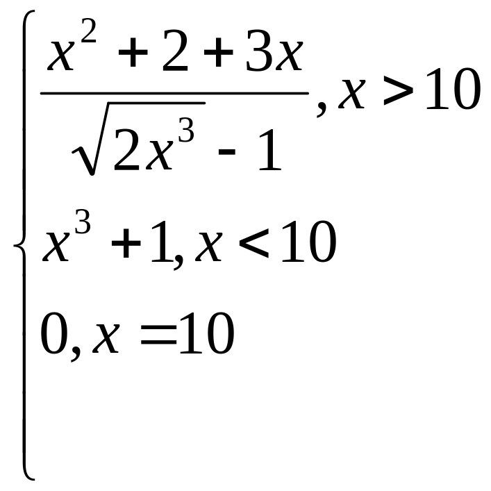
Написать программу для нахождения значения переменной S по формуле:
ВАРИАНТ №6
