- •2. Типовые дискретные сигналы
- •3.Дискретные экспоненциальные функции
- •4. Дискретное преобразование Фурье и его свойства
- •5. Циклическая и линейная свертка
- •6. Преобразование Хаара
- •7. Корреляция, вычисление прямым методом и с помощью дискретных преобразований
- •8. Алгоритм бпф с прореживанием по времени
- •10.Алгоритм бпф с прореживанием по частоте
- •9. Передаточная функция цф
- •11. Преобразование Уолша-Адамара и его свойства
- •12. Низкочастотная фильтрация изображений в пространственной области
- •13. Глобальные методы улучшения контраста полутоновых изображений
- •14. Линейные методы контрастирования изображений
- •15. Принципы и особенности пространственной фильтрации изображений
- •16. Улучшение качества бинарных изображений
- •17. Вычисление сверток при помощи дискретных преобразований
- •18. Обработка бинарных изображений на основе математической морфологии
- •19. Связность в изображениях
- •20. Глобальная бинаризация полутоновых изображений
- •21. Обработка полутоновых изображений на основе математической морфологи
- •22. Быстрое преобразование Уолша-Адамара
- •23. Классификация методов распознавания объектов изображений
- •24. Структурные методы распознавания объектов изображений
- •25. Фильтрация изображений в частотной области
- •26. Базовая структура анализатора спектра на основе дпф
- •27. Цифровые фильтры, их математическое описание, особенности рекурсивных и не рекурсивных
- •28. Основные шаги стандарта сжатия jpeg
- •29. Параметры анализаторов спектра
- •30. Нелинейные методы контрастирования изображений
1. Обобщенная схема цифровой обработки сигналов
2. Типовые дискретные сигналы
3. Дискретные экспоненциальные функции
4. Дискретное преобразование Фурье и его свойства
5. Циклическая и линейная свертка
6. Преобразование Хаара
7. Корреляция, вычисление прямым методом и с помощью дискретных преобразований
8. Алгоритм БПФ с прореживанием по времени
9. Передаточная функция ЦФ
10. Алгоритм БПФ с прореживанием по частоте
11. Преобразование Уолша-Адамара и его свойства
12. Низкочастотная фильтрация изображений в пространственной области
13. Глобальные методы улучшения контраста полутоновых изображений
14. Линейные методы контрастирования изображений
15. Принципы и особенности пространственной фильтрации изображений
16. Улучшение качества бинарных изображений
17. Вычисление сверток при помощи дискретных преобразований
18. Обработка бинарных изображений на основе математической морфологии
19. Связность в изображениях
20. Глобальная бинаризация полутоновых изображений
21. Обработка полутоновых изображений на основе математической морфологии
22. Быстрое преобразование Уолша-Адамара
23. Классификация методов распознавания объектов изображений
24. Структурные методы распознавания объектов изображений
25. Фильтрация изображений в частотной области
26. Базовая структура анализатора спектра на основе ДПФ
27. Цифровые фильтры, их математическое описание, особенности некурсивных и нерекурсивных
28. Основные шаги стандарта сжатия JPEG
29. Параметры анализаторов спектра
30. Нелинейные методы контрастирования изображений
Обобщенная схема цифровой обработки сигналов цепочка функциональных преобразований сигнала вида [11]: / / / / / А А Ц Ц Ц Ц А А А ⇒⇒⇒⇒ («аналог/аналог», «аналог/цифра», «цифра/цифра», «цифра/аналог», «аналог/аналог»реализуемых соответственно аналоговым фильтром нижних частот ФНЧ1, аналого-цифровым преобразователем АЦП, процессором ЦОС, цифроаналоговым преобразователем ЦАП и аналоговым фильтром нижних частот ФНЧ2.
2. Типовые дискретные сигналы
При исследовании линейных дискретных систем ряд дискретных сигналов используют в качестве испытательных воздействий; такие сигналы называют типовыми. К ним относятся: Цифровой единичный импульс
Задержанный цифровой единичный импульс
Цифровой единичный скачок
Задержанный цифровой единичный скачок
Дискретная экспонента,
Дискретный гармонический сигнал
где T – период дискретизации; A – амплитуда; ω – круговая частота, связанная с частотой ƒ коэффициентом пропорциональности 2π Дискретная косинусоида
в
результате замены непрерывного времени
дискретным (рис. 1.9)
s(nT) = s(n) = Acos(ωt) |t=nT = Acos(ωTn).
Дискретный комплексный гармонический сигнал
3.Дискретные экспоненциальные функции
В дискретном преобразовании Фурье используется система дискретных экс-
поненциальных функций (ДЭФ), которая определяется следующим выражением:
где
j
=
− 1
;
k
и
n
принимают
целочисленные значения (0,1,2,...,N
−
1)
.
Перменную k
отождествляют
с номером функции, а переменную n
—
с номером отсчета.
4. Дискретное преобразование Фурье и его свойства
прямое преобразование,
Обратноепреобразование
где {f (k)}- дискретный спектр
Спектр — это представление зависимости частот периодического сигнала.
Процесс фиксации параметров исходного аналогового сигнала через определенные равные интервалы времени называется дискретизацией
Свойства ДПФ
Периодичность.
f ( Nl ± k ) = f ( ±k ); s( Nl ± n ) = s( ±n ).
Связь с коэффициентами ряда Фурье
Если частота дискретизации выбрана в соответствии с теоремой Котельникова, то при дискретизации периодической аналоговой функций s( t ) ДПФ позволяет по выборкам s( n ) найти спектр f ( k ) ,который на интервале 0 ≤ k ≤ N − 1равен спектру исходной функции s( t ).
Линейность.
Инвариантность относительно сдвига по времени и частоте.
5.Теорема о свертке.
Теорема о свертке утверждает, что спектр свертки равен произведению спектров сворачиваемых последовательностей,
6. Теорема о корреляции.
Спектр корреляционной функции последовательностей равен роизведению их спектров, причем один из спектров берётся в комплексном сопряжении,
7. ДПФ вещественных последовательностей.
8. Равенство Парсеваля
энергия сигнала равна суммарной энергии спектральных компонент, т.е. энергия сигнала больше никуда не расходуется
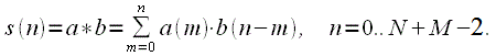
5. Циклическая и линейная свертка
Свертка – это математический способ комбинирования двух сигналов для формирования третьего сигнала
Линейной
сверткой сигналов
и
называется
дискретный сигнал вида:
|
(2) |
Циклическая
свертка определяется для периодических
последовательностей длины
N выражением
6. Преобразование Хаара
Преобразование Хаара можно рассматривать как процесс дискретизации исходного сигнала, при котором с переходом к следующей строке вдвое уменьшается щаг дискретизации.
прямое
преобразование
обратное
Для N=4
Для сигнала S=4 2,4,1,4
Обратное
