- •Міністерство освіти і науки України
- •Пакет комплексних контрольних робіт
- •2.01 Вища математика
- •Еталонна відповідь
- •Комплексна контрольна робота
- •Комплексна контрольна робота
- •Комплексна контрольна робота
- •Комплексна контрольна робота
- •Комплексна контрольна робота
- •Комплексна контрольна робота
- •Комплексна контрольна робота
- •Комплексна контрольна робота
- •Комплексна контрольна робота
- •Комплексна контрольна робота
- •Комплексна контрольна робота
- •Комплексна контрольна робота
- •Комплексна контрольна робота
- •Комплексна контрольна робота
- •Комплексна контрольна робота
- •Комплексна контрольна робота
- •Комплексна контрольна робота
- •Комплексна контрольна робота
- •Комплексна контрольна робота
- •Комплексна контрольна робота
- •Комплексна контрольна робота
- •Комплексна контрольна робота
- •Комплексна контрольна робота
- •Комплексна контрольна робота
- •Комплексна контрольна робота
- •Комплексна контрольна робота
- •Комплексна контрольна робота
- •Комплексна контрольна робота
- •Комплексна контрольна робота
- •Комплексна контрольна робота
Міністерство освіти і науки України
МАРІУПОЛЬСЬКИЙ КОЛЕДЖ
ДЕРЖАВНОГО ВИЩОГО НАВЧАЛЬНОГО ЗАКЛАДУ
«ПРИАЗОВСЬКИЙ ДЕРЖАВНИЙ ТЕХНІЧНИЙ УНІВЕРСИТЕТ»
Пакет комплексних контрольних робіт
2.01 Вища математика
напрям підготовки 050202 «Автоматизація та комп’ютерно-інтегровані
технології»
спеціальність 5.05020201 «Монтаж, обслуговування засобів і систем автоматизації технологічного виробництва»
2016
Пакет комплексних контрольних робіт з нормативної дисципліни 2.01 «Вища математика» для студентів спеціальності 5. 05020201 «Монтаж, обслуговування засобів і систем автоматизації технологічного виробництва».
Розробила Карбан Н.В., викладач кваліфікаційної категорії «спеціаліст вищої категорії», старший викладач Маріупольського коледжу ДВНЗ «ПДТУ».
Рецензенти:
1. Краснопьоров Р.М. - викладач вищої категорії Маріупольського
коледжу ДВНЗ «ПДТУ»
2. Поліщук С.В. - викладач вищої категорії, голова циклової
комісії фізико-математичних дисциплін
Маріупольського електромеханічного технікуму
Розглянуто і схвалено
на засіданні циклової комісії
фізико-математичних
і природничих дисциплін
Протокол № 4 від 19.11.2015 р
Голова ЦК ______ Карбан Н.В.
Розглянуто і схвалено Рекомендовано
на засіданні циклової комісії методичною радою коледжу
автоматизації технологічних процесів Протокол № 3
Протокол № 4 від 07.12 .2015 р від «18» січня 2016 року
Голова ЦК ______ Т.М.Мартинова Голова МР ______І.Ф.Литвиненко
Еталонна відповідь
до комплексної контрольної роботи з з навчальної дисципліни «Вища математика» для студентів спеціальності 5. 05020201 «Монтаж, обслуговування засобів і систем автоматизації технологічного виробництва»
Варіант № 0
1.
Перевести комплексне число у тригонометричну
та показникові форми:
Розв'язання:
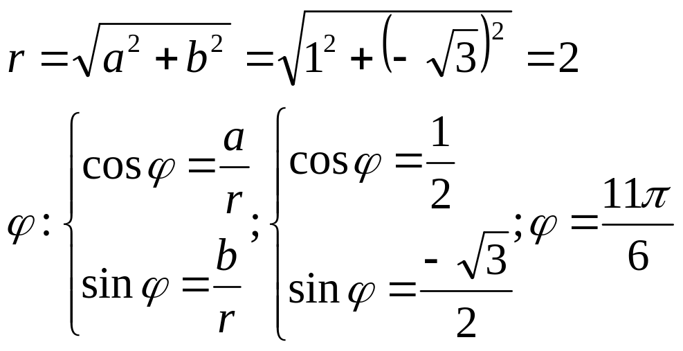
Алгебраїчна
форма комплексного числа:
,
тоді з умови
.
Тригонометрична
форма комплексного числа:
,
тоді знайдемо модуль та аргумент даного
комплексного числа:
,
отже,
.
Показникова
форма комплексного числа:
,
тоді
.
Відповідь:
2.
Розв’язати диференціальне рівняння
та знайти його частковий розв’язок, що
задовольняє початковим умовам:
,
якщо при
.
Розв'язання:
– загальний
розв’язок рівняння.
Використаємо
початкові умови:
.
Тоді
частинний розв’язок має вигляд:
.
Відповідь: .
3.
Закон руху тіла масою 2кг заданий формулою
.
Знайти силу, що примушує рухатися тіло протягом 1с.
Розв’язання: За ІІ законом Ньютона
тоді
Отже,
Відповідь: 48Н.
Маріупольський коледж ДВНЗ «ПДТУ»
ЦК фізико-математичних і природничих дисциплін
Дисципліна: Вища математика
